Один Порядок на двоих: новые «старые» правила админобжалования налоговых и таможенных решений
Приказ Министерства доходов и сборов Украины от 25.12.13 г. № 848
«Об утверждении Порядка оформления и подачи жалоб налогоплательщиками и их рассмотрения органами доходов и сборов»
Получили «письмо счастья» от миндоходовцев и не согласны с ним? Можете обжаловать это решение в админсуде или в вышестоящем органе Миндоходов. Последний вариант именуется административным обжалова- нием.
Теперь правила админобжалования решений налоговых органов вы сможете найти в новом Порядке, утвержденном комментируемым приказом. Причем этот Порядок един для обжалования налоговых и таможенных решений*.
* Порядок обжалования ЕВС-решений налоговиков вы найдете в «БН», 2013, № 40, с. 21.
Соответственно канет в Лету Порядок оформления, подачи налогоплательщиками жалоб на денежные обязательства, определенные таможенными органами, и их рассмотрения Гостаможслужбой Украины от 18.04.11 г. № 315, а вместе с ним и Положение о порядке подачи и рассмотрения жалоб плательщиков налогов органами госналогслужбы от 19.11.12 г. № 1203.
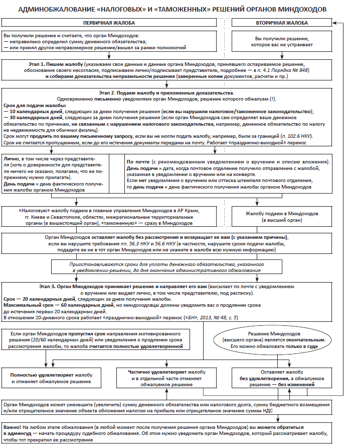
Внимание! По сути, процедура админобжалования не изменилась. Напомним, в налоговой части она определена в ст. 56 НКУ, схематическую интерпретацию которой мы презентовали вам в «БН», 2013, № 48, с. 6. Теперь же на с. 5 этого номера представляем вашему вниманию обновленный и дополненный алгоритм по мотивам нового Порядка.
Помните! Админобжаловать нельзя:
— денежные обязательства, которые определили вы сами (а не налоговики);
— решения налоговиков, которые вы уже обжаловали в админсуде.
Порядок вступает в силу со дня опубликования (предположительно с 07.02.14 г.). На день подготовки номера не опубликован.

