Вперед в прошлое: НДС-возмещение облигациями внутреннего госзайма
Постановление КМУ от 21.05.14 г. № 139 «О выпуске облигаций внутреннего государственного займа для возмещения сумм налога на добавленную стоимость»
Плательщики НДС уже знают, что в процедуру бюджетного возмещения НДС внесли очередные поправки. Казначейским финвекселям, которые не прижились, придумали альтернативу — облигации внутреннего госзайма (далее — ОВГЗ, Закон № 1165-VII // «БН», 2014, № 14, с. 7).
«Отмашку» для старта ОВГЗ-кампании должен был дать КМУ, которому поручили утвердить порядок выпуска, оборота и погашения ОВГЗ для НДС-возмещения. Сегодня он это сделал.
Как всегда, новое — это хорошо забытое старое. А потому «бывалым» налогоплательщикам пригодится былой опыт — сегодняшний документ очень похож на постановление КМУ от 12.05.10 г. № 368. Хотя современные особенности все-таки есть.
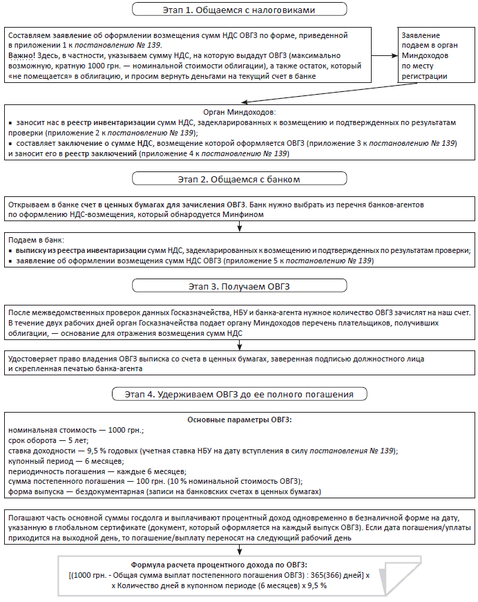
Важно! Облигации будут выдавать по добровольному желанию налогоплательщиков, у которых есть суммы бюджетного возмещения, (одновременно) задекларированные до 01.01.14 г., не возмещенные на день вступления в силу Закона о госбюджете на 2014 год (21.01.14 г., но правильнее говорить о 03.04.14 г. — дате вступления в силу Закона № 1165-VII) и подтвержденные по результатам проверок.
ОВГЗ выпустят в бездокументарной форме в виде записей на банковских счетах в ценных бумагах. Номинальная стоимость одной ОВГЗ — 1000 грн., срок оборота — 5 лет (каждые полгода погашается 10 % номинала — 100 грн.). Ставка доходности равна учетной ставке НБУ на дату вступления в силу постановления (9,5 % годовых). Процентный доход начисляют одновременно с выплатой дохода (формулу расчетов см. в схеме на с. 5). Выплачивают процентный доход одновременно с погашением части основной суммы долга: в безналичной форме на дату, указанную в глобальном сертификате.
Подробный алгоритм НДС-возмещения ОВГЗ вы найдете на с. 5. Учетные тонкости — в следующем номере нашей газеты.
Постановление вступило в силу с 27.05.14 г.
ПОЛУЧАЕМ НДС-ВОЗМЕЩЕНИЕ ОБЛИГАЦИЯМИ ВНУТРЕННЕГО ГОСУДАРСТВЕННОГО ЗАЙМА

