ФИНЛИЗИНГ:
бухгалтерский учет
Финансовый лизинг — достаточно распространенная операция. Его привлекательность, в частности, состоит в том, что, не располагая достаточными средствами, лизингополучатель имеет возможность приобрести дорогостоящий объект основных средств, расплачиваясь за него на долговременной основе.
В то же время учет таких операций имеет ряд нюансов. Учитывая, что теперь правила бухучета оказывают немалое влияние на учет налоговый, изучение учета операций финансового лизинга начнем с бухгалтерского учета.
Влада КАРПОВА, консультант газеты «Бухгалтерская неделя», канд. экон. наук,
сертифицированный бухгалтер-практик (CAP)
Правовые аспекты финлизинга
Что относится к договорам финлизинга
. Основными нормативными документами, регламентирующими порядок заключения договоров финлизинга, являются Закон о финлизинге, ГКУ (ст. 806 — 809) и ст. 292 ХКУ. Кроме того, «собственные» определения финлизинга и критерии его отличия от оперативного лизинга содержатся в НКУ и П(С)БУ 14 «Аренда». Договоры финлизинга в этих нормативных актах определяются по-разному.Так, согласно положениям
ч. 1 ст. 806 ГКУ и ч. 1 ст. 292 ХКУ существует два вида договоров лизинга, по которым лизингодатель передает или обязуется передать лизингополучателю в пользование имущество, принадлежащее лизингодателю на праве собственности на определенный срок и за установленную плату, а именно:1)
прямой лизинг — договор, предусматривающий передачу имущества, приобретенного лизингодателем без предварительной договоренности с лизингополучателем;2)
непрямой лизинг — договор, в соответствии с которым лизингодатель передает лизингополучателю имущество, специально приобретенное им у продавца (поставщика) в соответствии с установленными лизингополучателем спецификациями и условиями.В
ст. 1 Закона о финлизинге к финлизингу отнесен лишь непрямой лизинг, а вот в определение финлизинга (финаренды) из п.п. 14.1.97 НКУ и п. 4 П(С)БУ 14 вписываются непрямой и прямой лизинги. В итоге получается, что для налогово-бухгалтерской классификации применительно к финлизингу не имеет значения, на каких условиях приобретался передаваемый по договору объект, в то время как для юридического понимания финлизинга данное условие является определяющим. Из этого следует несколько важных выводов.Во-первых, если условия договора позволяют его отнести к непрямому лизингу (объект лизинга специально приобретается по заказу лизингополучателя), то при его заключении следует обратить внимание на законодательные ограничения статуса лизингодателя по таким договорам. Им может выступать только юридическое лицо (
ст. 4 Закона о финлизинге), а сами услуги финлизинга будут отнесены к финансовым (см. «Когда услуги по договорам финлизинга считаются финансовыми»).
| Когда услуги по договорам финлизинга считаются финансовыми Извлечение из Положения № 21 «1.3.1. Финансовая услуга по финансовому лизингу (услуга по финансовому лизингу) — операции с финансовыми активами, заключающиеся в приобретении юридическим лицом (лизингодателем) в собственность вещи у продавца (поставщика) в соответствии с установленными лизингополучателем спецификациями и условиями и передаче этой вещи в пользование лизингополучателю на определенный срок не менее одного года за установленную плату (лизинговые платежи) на основании договора финансового лизинга». |
Таким образом, лизингодатели по непрямым договорам финлизинга обязаны зарегистрироваться в Госфинуслуг и предоставлять туда отчетность. За несоблюдение этих требований к лизингодателю-нарушителю могут быть применены весьма серьезные санкции по
Закону о финуслугах, в частности штраф по его п. 2 ч. 1 ст. 41 в размере до 17 тыс. грн., но не более одного процента от размера уставного (паевого) капитала юридического лица — правонарушителя (см. п. 3 письма Госфинуслуг от 14.03.08 г. № 2944/11-11). При этом сам договор финлизинга может быть признан недействительным в судебном порядке, в том числе по иску налоговиков (см., к примеру, постановление Закарпатского окружного административного суда от 04.12.09 г. № 2а-4341/08).Во-вторых, договоры прямого лизинга, соответствующие установленным критериям, в налоговом и бухгалтерском учете отражаются по правилам финлизинговых договоров. При этом никаких ограничений по субъектному составу лизингодателей в отношении таких договоров нет, т. е. ими могут выступать в том числе и физические лица — субъекты предпринимательской деятельности, не зарегистрированные в Госфинуслуг.
Что можно передать в финлизинг.
Исходя из приведенных в нормативных актах определений финлизинга объектом по такому договору могут выступать лишь основные фонды (см. ч. 1 ст. 3 Закона о финлизинге, ч. 1 ст. 807 ГКУ, ч. 3 ст. 292 ХКУ, п.п. 14.1.97 НКУ (хотя в НКУ термина «основные фонды» нет, зато в п.п. 14.1.138 НКУ есть термин «основные средства»). Только в П(С)БУ 14 применительно к таким договорам речь идет о передаче необоротных активов, а в П(С)БУ 7 используется термин «основные средства».А вот в юридическом понимании ограничение финлизинговых операций «производственными» объектами противоречит системному прочтению законодательства, в котором установлен запрет лишь на передачу в финлизинг земельных участков, других природных объектов, целостных имущественных комплексов предприятий и их обособленных структурных подразделений (
ч. 2 ст. 3 Закона о финлизинге, ч. 5 ст. 292 ХКУ, ч. 2 ст. 807 ГКУ). Исходя из этого, по нашему мнению, для целей юридической классификации, равно как и для бухучетной трактовки, правильнее основываться на бухучетном определении основных средств из п. 4 П(С)БУ 7 «Основные средства» и относить к таким объектам материальные активы с ожидаемым сроком эксплуатации более одного года, в том числе используемые для «непроизводственных функций».
Критерии признания финлизинга
Бухгалтерский учет операций аренды (лизинга) регламентируется
П(С)БУ 14 «Аренда», в п. 4 которого приводятся критерии, по которым аренда признается финансовой (см. «Когда аренда считается финансовой в бухгалтерском учете»).
| Когда аренда считается финансовой в бухгалтерском учете Извлечение из П(С)БУ 14 «Финансовая аренда — аренда, предусматривающая передачу арендатору всех рисков и выгод, связанных с правом пользования и владения активом. Аренда считается финансовой при наличии хотя бы одного из нижеприведенных признаков: 1) арендатор приобретает право собственности на арендованный актив по окончании срока аренды; 2) арендатор имеет возможность и намерение приобрести объект аренды по цене ниже его справедливой стоимости на дату приобретения; 3) срок аренды составляет большую часть срока полезного использования (эксплуатации) объекта аренды; 4) нынешняя стоимость минимальных арендных платежей с начала срока аренды равна или превышает справедливую стоимость объекта аренды; 5) арендованный актив имеет особый характер, что дает возможность только арендатору использовать его без расходов на его модернизацию, модификацию, дооборудование; 6) арендатор может продлить аренду актива за плату значительно ниже рыночной арендной платы; 7) аренда может быть прекращена арендатором, возмещающим арендодателю его потери от прекращения аренды; 8) доходы или потери от изменений справедливой стоимости объекта аренды на конец срока аренды принадлежат арендатору». |
Основным признаком, по которому аренда признается финансовой, является передача арендатору всех рисков и выгод, связанных с правом пользования и владения активом. В МСФО 17 «Аренда», международном прототипе П(С)БУ 14, по этому поводу уточняется, что риски включают возможность возникновения убытков в связи с простоями или технологическим устареванием или колебания доходности в связи с изменением экономических условий. Выгоды связаны с ожиданием прибыли от операций на протяжении срока экономической службы актива и дохода от повышения стоимости или реализации остаточной стоимости. Иными словами, это все убытки и прибыли, которые ожидаются от использования актива.
Признание аренды финансовой или операционной не зависит напрямую от того, как она классифицирована в договоре лизинга*. Здесь лишь имеет значение, соблюдаются указанные в
п. 4 П(С)БУ 14 критерии классификации или нет.* Об этом прямо говорится в п. 10 МСФО 17, в соответствии с которым разделение аренды на финансовую или операционную зависит от содержания операции, а не от формы договора.
Для признания аренды в качестве финансовой достаточно наличия хотя бы одного из вышеприведенных критериев, из которых отдельного внимания заслуживает критерий «настоящей** стоимости минимальных арендных платежей».
** Перевод данного термина в различных источниках различается. В качестве синонимов приводятся также термины «нынешняя», «текущая» стоимость.
Согласно
п. 4 П(С)БУ 14 к минимальным арендным платежам (далее — МАП) относятся платежи, подлежащие уплате арендатором в течение срока аренды, за исключением стоимости услуг и налогов, подлежащих уплате арендодателю, а также непредвиденной арендной платы***, увеличенные на сумму гарантированной ликвидационной стоимости. Непредвиденная арендная плата — часть арендной платы, которая не зафиксирована конкретной суммой и рассчитывается с применением показателей иных, чем срок аренды (объем продажи, уровень использования, индекс инфляции и цен, рыночные ставки процента и т. п.).***Исключение составляют ситуации, когда арендатор имеет намерения приобрести объект по цене, ниже чем его справедливая стоимость на дату приобретения — тогда МАП состоят из минимальной арендной платы за весь срок аренды и суммы, которую необходимо уплатить по соглашению на приобретение объекта аренды (п. 4 П(С)БУ 14).
Гарантированная ликвидационная стоимость
:1) для арендатора — часть ликвидационной стоимости, гарантируемая к уплате арендатором или связанной с ним стороной;
2) для арендодателя — часть ликвидационной стоимости, гарантируемая к уплате арендатором или независимой третьей стороной, способной по своему финансовому состоянию отвечать по гарантии.
Какие именно услуги не включаются в состав МАП, в
П(С)БУ 14, равно как и в МСФО 17, не уточняется. Вместе с тем из разъяснений авторитетных специалистов**** можно сделать следующие выводы о составе МАП (табл. 1):
Таблица 1.
Составляющие МАП| Включается в МАП | Не включается в МАП |
| 1. Сумма, возмещающая часть стоимости предмета лизинга (включая сумму НДС, исчисленную со стоимости такого объекта) | 1. Компенсация иных расходов лизингодателя, непосредственно связанных с выполнением договора лизинга (техническое обслуживание, страхование и т. п.) |
**** Голов С. Ф., Костюченко В. Н.
Бухгалтерский учет и финансовая отчетность по международным стандартам. — Х.: Фактор, 2007. — С. 279.
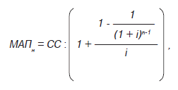
Для целей классификации аренды следует знать настоящую стоимость МАП, порядок расчета которой зависит от того, в каком периоде начисляются арендные платежи.
1. МАП начисляются в начале отчетного периода
(квартала, года): 
где
НС МАПН — настоящая стоимость МАП при условии их начисления в начале отчетного периода;МАП1
— сумма МАП, которая уплачивается регулярно (аннуитет);n
— количество периодов, за которые уплачивается арендная плата и начисляются проценты;i
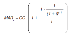
— ставка процента для данного периода.2. МАП начисляются в конце отчетного периода
(квартала, года):Как видим, настоящая стоимость МАП — это не что иное, как дисконтированная сумма МА.
Ставку процента (СП) применительно к расчету нынешней стоимости МАП можно определить по алгоритму, приведенному на рисунке.

где
НС МАПК — настоящая стоимость МАП при условии их начисления в конце отчетного периода.

Как видим, в отсутствие указания ставки процента в договоре она может отличаться у арендатора и арендодателя. Между тем
МСФО 17 поощряет использование согласованных между сторонами понятий, поэтому желательно, чтобы в договоре все же была приведена используемая ставка процента.МАП интересна не только с точки зрения классификации аренды. Эту величину нам необходимо знать еще и для того, чтобы правильно отразить операции финансовой аренды на счетах учета.
Пример 1.
По договору финлизинга 01.01.10 г. в аренду был передан объект основных средств на таких условиях: срок аренды — 5 лет, или 20 кварталов; срок полезного использования — 6 лет; общая сумма платежей, которые должен уплатить арендатор, — 160 тыс. грн. (8000 грн. в квартал); ликвидационная стоимость объекта равна нулю, лизинговые (арендные) платежи уплачиваются ежеквартально в конце квартала.Настоящая стоимость МАП в данном случае равна для арендатора и арендодателя:

А вот если бы лизинговый платеж уплачивался в начале квартала, то настоящая стоимость МАП составила бы:

Учет операций финлизинга у арендатора
Согласно
п. 5 П(С)БУ 14 арендатор отражает в бухгалтерском учете полученный в финансовую аренду объект одновременно как актив и обязательство по наименьшей на начало срока аренды оценке:1) справедливой стоимости актива, либо
2) настоящей стоимости МАП.
Исходя из этого арендатору должны быть известны оба данных показателя. Справедливая стоимость актива превышает настоящую стоимость МАП на сумму негарантированной ликвидационной стоимости (части ликвидационной стоимости объекта аренды, получение которой арендодателем не обеспечивается или гарантируется лишь связанной с ним стороной). Такой вывод следует из определения арендной ставки процента в
п. 4 П(С)БУ 14, в соответствии с которым справедливая стоимость объекта аренды на начало срока аренды равна настоящей стоимости МАП, рассчитанной по данной ставке, плюс негарантированная ликвидационная стоимость.Наименьшая из этих сумм отражается в учете по кредиту
субсчета 531 «Обязательства по финансовой аренде». В последующем часть задолженности, классифицируемой как текущая (срок погашения которой приходится на последующие 12 месяцев), переводится на субсчет 611 «Текущая задолженность по долгосрочным обязательствам в национальной валюте» (Дт 531 — Кт 611).В первоначальную стоимость объекта (Дт 15) у арендатора также включаются:
1) понесенные арендатором первоначальные расходы, связанные с приобретением и доставкой объекта (
п. 8 П(С)БУ 7 «Основные средства»), а именно:— суммы, уплачиваемые поставщикам и подрядчикам за выполнение строительно-монтажных работ (без непрямых налогов);
— регистрационные сборы, государственная пошлина и аналогичные платежи, осуществляемые в связи с приобретением (получением) прав на объект основных средств;
— суммы ввозной пошлины;
— суммы непрямых налогов в связи с приобретением (созданием) основного средства (если они не возмещаются предприятию);
— расходы по страхованию рисков доставки основного средства;
— расходы на транспортировку, установку, монтаж, наладку объекта основных средств;
— другие расходы, непосредственно связанные с доведением объекта основных средств до состояния, в котором он пригоден для использования с запланированной целью;
2) расходы на улучшение объекта финаренды (модернизация, модификация, достройка, дооборудование, реконструкция и т. п.), приводящие к увеличению будущих экономических выгод, которые первоначально ожидались от его использования (
п. 6 П(С)БУ 14).В момент ввода в эксплуатацию объект зачисляется на соответствующий субсчет основных средств (корреспонденция:
Дт 10 — Кт 15) и далее на него начисляется амортизация по установленному арендатором методу в течение периода его ожидаемого использования. Согласно п. 7 П(С)БУ 14 таким периодом являются:— срок полезного использования объекта (если договором предусмотрен переход права собственности на актив к арендатору), либо
— более короткий из двух периодов — срок аренды или срок полезного использования объекта финансовой аренды (если переход права собственности на объект финансовой аренды по окончании срока аренды не предусмотрен).
Лизинговый платеж отражается в особом порядке: его сумму за отчетный период следует разделить на составляющие, которые проводятся в учете на разных субсчетах (табл. 2 на с. 41).
Таблица 2.
Бухгалтерский учет лизингового платежа у арендатора| Составляющая платежа | Порядок расчета | Корреспонденция |
| 1. Процентные платежи(1) | Сальдо (Кт 531 + Кт 611) х СП | Дт 952 — Кт 684 |
| 2. Погашение задолженности по финаренде | Разница между МАП и процентными платежами за отчетный период | Дт 611 — Кт 311 (301) |
| 3. Платежи, не входящие в МАП (см. табл. 1 на с. 38) | Указываются в расшифровке лизингового платежа (в счете) арендодателя | Дт 23, 91 — 94(1) — Кт 311 (301) |
| (1) По нашему мнению, эти платежи подлежат отражению на тех же субсчетах, что и амортизация полученного в финлизинг объекта. | ||
Для проверки правильности распределения составляющих лизингового платежа на процентные платежи и в погашение задолженности по финаренде следует определить разницу между общей суммой МАП за весь срок аренды и задолженностью перед арендодателем (сальдо
Кт 531 + Кт 611 на начало срока аренды). Этот показатель будет составлять сумму процентов за весь срок аренды, который отражается у арендатора в составе финансовых расходов.Пример 2.
Арендатор получил в финлизинг оборудование на условиях, приведенных в примере 1. Ликвидационная стоимость оборудования равна нулю. Справедливая стоимость оборудования на дату получения составила 119020 грн. (в том числе НДС — 19836,67). Расходы на доставку и установку оборудования у арендатора составили 12 тыс. грн. с НДС. Амортизация начисляется прямолинейным методом.Поскольку настоящая стоимость МАП (119020 грн.) равна справедливой стоимости оборудования (119020 грн.), то оно отражается в учете в этом размере.
Порядок распределения лизингового платежа в учете приведен в табл. 3.
Таблица 3.
Порядок распределения лизингового платежа в учете арендатора, грн.| Период | Сумма лизингового платежа (МАП) | Остаток задолженности | ||
| всего платеж | процентные платежи: | погашение обязательства по аренде | ||
| 1 | 2 | 3 | 4 | 5 |
| — | — | — | — | 119020 |
| 1 | 8000,00 | 3570,60 | 4429,40 | 114590,60 |
| 2 | 8000,00 | 3437,72 | 4562,28 | 110028,32 |
| 3 | 8000,00 | 3300,85 | 4699,15 | 105329,17 |
| 4 | 8000,00 | 3159,88 | 4840,12 | 100489,05 |
| 5 | 8000,00 | 3014,67 | 4985,33 | 95503,72 |
| 6 | 8000,00 | 2865,11 | 5134,89 | 90368,83 |
| 7 | 8000,00 | 2711,06 | 5288,94 | 85079,89 |
| 8 | 8000,00 | 2552,40 | 5447,60 | 79632,29 |
| 9 | 8000,00 | 2388,97 | 5611,03 | 74021,26 |
| 10 | 8000,00 | 2220,64 | 5779,36 | 68241,90 |
| 11 | 8000,00 | 2047,26 | 5952,74 | 62289,16 |
| 12 | 8000,00 | 1868,67 | 6131,33 | 56157,83 |
| 13 | 8000,00 | 1684,73 | 6315,27 | 49842,56 |
| 14 | 8000,00 | 1495,28 | 6504,72 | 43337,84 |
| 15 | 8000,00 | 1300,14 | 6699,86 | 36637,98 |
| 16 | 8000,00 | 1099,14 | 6900,86 | 29737,12 |
| 17 | 8000,00 | 892,11 | 7107,89 | 22629,23 |
| 18 | 8000,00 | 678,88 | 7321,12 | 15308,11 |
| 19 | 8000,00 | 459,24 | 7540,76 | 7767,35 |
| 20 | 8000,00 | 233,02 | 7766,98(1) | 0,37(1) |
| Итого | 160000,00 | 40980,37 | 119019,63(1) | 0 |
| (1) Эту сумм необходимо погасить в составе платежа за последний период. Общая сумма МАП, направленная на погашение задолженности, составит 19020 грн. — настоящей стоимости МАП. | ||||
Таблица 4.
Бухгалтерский операций финлизинга у арендатора| Хозяйственная операция | Корреспондирующие счета | Сумма, грн. | |
| дебет | кредит | ||
| 1. Получены услуги на доставку и установку оборудования | 152 | 631 | 10000,00 |
| 2. Отражен налоговый кредит по НДС | 641 | 631 | 2000,00 |
| 3. Оплачены услуги на доставку и установку оборудования | 631 | 311 | 12000,00 |
| 4. Оприходовано оборудование от арендодателя | 152 | 531 | 99183,33 |
| 5. Отражен налоговый кредит по НДС | 641 | 531 | 19836,67 |
| 6. Переведена часть долгосрочной задолженности в состав текущей | 531 | 611 | 18530,95 (1) |
| 7. Введено оборудование в эксплуатацию | 104 | 152 | 129020,00 |
| 8. Начисляется износ на оборудование (ежемесячно) | 23 | 131 | 2150,33(2) |
| 9. Начислен и уплачен лизинговый платеж: | |||
| — в погашение обязательства по аренде | 611 | 311 | 4429,40(3) |
| — процентные платежи | 952 | 684 | 3570,60(4) |
| 684 | 311 | ||
| (1) Рассчитывается по данным гр. 4 табл.3: 4429,40 + 4562,28 + 4699,15 + 4840,12 = 18530,95 (грн.). (2) 129020 грн. : (5 лет х 12 мес.) = 2150,33 грн. (3) Данные гр. 4 табл. 3. (4) Данные гр. 3 табл. 3. | |||
Учет операций финлизинга у арендодателя
Виды финлизинга.
С позиции бухгалтерского учета у арендодателя финаренда подразделяется на два вида:1)
прямая финансовая аренда — аренда, в соответствии с условиями которой арендодатель (обычно лизинговая компания или банк) по поручению арендатора-клиента приобретает за свой счет или за счет привлеченных средств основные средства у поставщика с целью дальнейшего предоставления их в долгосрочную аренду. В терминах ГКУ это непрямой лизинг;2)
аренда типа продажи — предусматривает продажу предприятием-производителем или дилером приобретенного без предварительной договоренности с арендатором основного средства путем передачи его в долгосрочную аренду. В ГКУ этот вид аренды определяется как прямой лизинг.Учет прямой финаренды.
Для того чтобы определить МАП, арендодателю необходимо знать:— справедливую стоимость основного средства, передаваемого в финаренду;
— норму прибыльности на чистые инвестиции в аренду.
Тогда МАП за период можно рассчитать так:
1. МАП начисляются в начале отчетного периода
(квартала, года): 
2. МАП начисляются в конце отчетного периода (
квартала, года): 
В частности, по данным примера 2 (справедливая стоимость основного средства составляет 119020 грн.), при условии, что норма прибыльности на чистые инвестиции в аренду составляет 3 %, МАП за период на ее основе можно определить так:

Согласно П(С)БУ 14 арендодатель при передаче объекта в финаренду в бухгалтерском учете признает доход от реализации актива в сумме МАП за вычетом процентных платежей. То есть, как и арендатор, арендодатель должен разделить МАП на две составляющие:
1) сумму, которая засчитывается в уменьшение задолженности арендатора по аренде. На эту сумму плюс негарантированную ликвидационную стоимость объекта признается доход от реализации актива. Если актив числился у арендодателя в составе основных средств, перед передачей в финаренду он переводится в состав оборотных активов согласно П(С)БУ 27 «Необоротные активы, удерживаемые для продажи, и прекращенная деятельность». Корреспонденции:
Дт 377 «Расчеты с прочими дебиторами»
— на сумму текущей задолженности арендатора;Дт 181 «Задолженность за имущество, переданное в финаренду»
— на сумму долгосрочной задолженности арендатора;Кт 712;
2) процентные платежи. В размере данной суммы по мере начисления процентов признается финансовый доход:
Дт 373 «Расчеты по начисленным доходам» — Кт 732 «Проценты полученные».По данным примера 2, операция финаренды в учете арендодателя отразится так:
Таблица 5.
Бухгалтерский операций финаренды у арендодателя| Хозяйственная операция | Корреспондирующие счета | Сумма, грн. | |
| дебет | кредит | ||
| 1. Приобретено оборудование по заказу арендатора | 281 | 631 | 83333,33 |
| 2. Отражен налоговый кредит по НДС | 641 | 631 | 16666,67 |
| 3. Оплачено оборудование поставщику | 631 | 311 | 100000,00 |
| 4. Передано оборудование в финаренду | 181 | 712(1) | 119020,00 |
| 5. Отражены налоговые обязательства по НДС | 712 | 641 | 19836,67 |
| 6. Включена в расходы стоимость объекта | 943 | 281 | 83333,33 |
| 7. Часть долгосрочной задолженности переведена в состав текущей | 377 | 181 | 18530,95 (2) |
| 8. Начислен и получен лизинговый платеж (МАП): | |||
| — в погашение задолженности арендатора | 311 | 377 | 4429,40 |
| — процентные платежи | 373 | 732 | 3570,60 |
| 311 | 373 | ||
| (1) Заметим, что Минфин, в письме от 25.07.08 г. № 31-34000-10-10/29072 несколько неожиданно рекомендует доходы от реализации необоротных активов, удерживаемых для продажи, отражать по кредиту субсчета 719 «Прочие доходы от операционной деятельности», а себестоимость таких активов — по дебету субсчета 949 «Прочие расходы операционной деятельности». (2) Рассчитывается по данным гр. 4 табл. 3: 4429,40 + 4562,28 + 4699,15 + 4840,12 = 18530,95 (грн.). | |||
Учет аренды типа продажи.
Специфика отражения операций по такой аренде в учете состоит в том, что, во-первых, при определении дохода от передачи актива и дебиторской задолженности арендатора сравниваются два показателя:1) справедливая стоимости объекта;
2) настоящая стоимость МАП, исчисленных по рыночной ставке процента.
Доход отражается по меньшему из данных показателей (
п. 13 П(С)БУ 14).Таким образом, для анализа следует еще знать рыночную ставку процента. Это допусловие связано с тем, что в международной практике иногда арендодатели искусственно устанавливают низкую ставку процента, что может привести к отражению излишней части общего дохода в момент продажи. Чтобы этого избежать, в МСФО 17 предусмотрено, что в случае занижения ставок процента прибыль от реализации актива ограничивается суммой, исчисленной по рыночной ставке процента.
Так, если бы исходя из данных примера № 2 рыночная ставка процента составила скажем, 16 %, то нынешняя стоимость МАП для арендодателя была бы равна:

И поскольку этот показатель ниже справедливой стоимости объекта (119020 грн.), то доход от передачи актива в финаренду отражался бы исходя из 113072 грн.
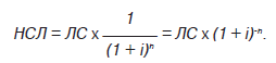
Во-вторых, на учет арендодателя влияет нынешняя негарантированная ликвидационная стоимость объекта, которая отражается в составе дебиторской задолженности арендодателя и одновременно на эту сумму уменьшается себестоимость переданного в аренду объекта.
Причем нынешняя негарантированная ликвидационная стоимость объекта (НЛC) в данном случае определяется по формуле нынешней стоимости одной денежной единицы:

В частности, если бы по данным примера № 2 негарантированная ликвидационная стоимость объекта составила бы 10 тыс. грн., то на учете арендодателя это отразилось бы так:
Тогда доход от передачи актива в финаренду отражался бы в размере: 113072 - 4564 = 108508 (грн.).
Одновременно на сумму НЛС были бы уменьшены расходы от реализации оборудования, корреспонденция: Дт 377 — Кт 943 — 4564 грн.
Между тем в отечественных реалиях на данные нюансы, как правило, внимания не обращают. В остальном же порядок отражения операций в учете арендодателя аналогичен учету операций прямой финаренды.
Вот и все, что мы сегодня хотели рассказать о финлизинге (финаренде). Между тем эта тема сложная и сопровождается множеством нюансов. Поэтому если у Вас появятся вопросы — пишите.
Документы и сокращения статьи
ГКУ
— Гражданский кодекс Украины от 16.01.03 г. № 435-IV.ХКУ
— Хозяйственный кодекс Украины от 16.01.03 г. № 436-IV.НКУ
— Налоговый кодекс Украины от 02.12.10 г. № 2755-VI.Закон о финлизинге
— Закон Украины «О финансовом лизинге» от 11.12.03 г. № 1381-IV.Закон о финуслугах
— Закон Украины «О финансовых услугах и государственном регулировании рынков финансовых услуг» от 12.07.01 г. № 2664-III.Положение № 21
— Положение о предоставлении услуг финансового лизинга юридическими лицами — субъектами хозяйствования, которые по своему правовому статусу не являются финансовыми учреждениями, утвержденное распоряжением Госфинуслуг от 22.01.04 г. № 21.МАП
— минимальная сумма арендных платежей.СП
— ставка процента.
