ФІНЛІЗИНГ:
бухгалтерський облік
Фінансовий лізинг — досить поширена операція. Привабливість її, зокрема, полягає в такому: не маючи у своєму розпорядженні достатніх коштів, лізингоотримувач має можливість придбати дорогий об'єкт основних засобів, розплачуючись за нього на довготривалій основі.
Водночас облік таких операцій має певні нюанси. Оскільки тепер правила бухобліку значно впливають на облік податковий, вивчення обліку операцій фінансового лізингу почнемо з бухгалтерського обліку.
Влада КАРПОВА, консультант газети «Бухгалтерський тиждень»,
канд. екон. наук, сертифікований бухгалтер-практик (CAP)
Правові аспекти фінлізингу
Що належить до договорів фінлізингу
. Основними нормативними документами, що регламентують порядок укладення договорів фінлізингу, є Закон про фінлізинг, ЦКУ (ст. 806 — 809) і ст. 292 ГКУ. Крім того, «власні» визначення фінлізингу та критерії його відмінності від оперативного лізингу містяться в ПКУ та П(С)БО 14 «Оренда» . Договори фінлізингу в цих нормативних актах визначаються по-різному.Так, згідно з положеннями
ч. 1 ст. 806 ЦКУ і ч. 1 ст. 292 ГКУ існують два види договорів лізингу, за якими лізингодавець передає або зобов'язується передати лізингоотримувачу в користування майно, що належить лізингодавцю на праві власності, на певний строк і за встановлену плату, а саме:1)
прямий лізинг — договір, що передбачає передачу майна, придбаного лізингодавцем без попередньої домовленості з лізингоотримувачем;2)
непрямий лізинг — договір, відповідно до якого лізингодавець передає лізингоотримувачу майно, спеціально придбане ним у продавця (постачальника) відповідно до встановлених лізингоотримувачем специфікацій та умов.У
ст. 1 Закону про фінлізинг до фінлізингу віднесено тільки непрямий лізинг, а от у визначення фінлізингу (фіноренди) з п.п. 14.1.97 ПКУ і п. 4 П(С)БО 14 вписуються непрямий та прямий лізинг. У результаті виходить, що для податково-бухгалтерської класифікації стосовно фінлізингу не має значення, на яких умовах придбавався об’єкт, що передавався за договором, тоді як для юридичного розуміння фінлізингу ця умова є визначальною. Із цього випливають декілька важливих висновків.По-перше, якщо умови договору дозволяють віднести його до непрямого лізингу (об'єкт лізингу спеціально придбавається на замовлення лізингоотримувача), то при його укладенні слід звернути увагу на законодавчі обмеження статусу лізингодавця за такими договорами. Ним може виступати лише юридична особа (
ст. 4 Закону про фінлізинг), а власне послуги фінлізингу буде віднесено до фінансових (див. «Коли послуги за договорами фінлізингу вважаються фінансовими»).
|     		 Коли послуги за договорами фінлізингу вважаються фінансовими Витяг із Положення № 21 «1.3.1. Фінансова послуга з фінансового лізингу (послуга з фінансового лізингу) — операції з фінансовими активами, що полягають у придбанні юридичною особою (лізингодавцем) у власність речі у продавця (постачальника) відповідно до встановлених лізингоотримувачем специфікацій та умов і передачі цієї речі в користування лізингоотримувачу на певний строк не менше одного року за встановлену плату (лізингові платежі) на підставі договору фінансового лізингу».  |   	
Таким чином, лізингодавці за непрямими договорами фінлізингу зобов'язані зареєструватися в Держфінпослуг і подавати туди звітність. За недотримання цих вимог до лізингодавця-порушника може бути застосовано дуже серйозні санкції відповідно до
Закону про фінпослуги, зокрема штраф згідно з його п. 2 ч. 1 ст. 41 у розмірі до 17 тис. грн., але не більше одного відсотка від розміру статутного (пайового) капіталу юридичної особи — правопорушника (див. п. 3 листа Держфінпослуг від 14.03.08 р. № 2944/11-11). При цьому сам договір фінлізингу може бути визнано недійсним у судовому порядку, у тому числі за позовом податківців (див., наприклад, постанову Закарпатського окружного адміністративного суду від 04.12.09 р. № 2а-4341/08).По-друге, договори прямого лізингу, що відповідають установленим критеріям, у податковому та бухгалтерському обліку відображаються за правилами фінлізингових договорів. При цьому жодних обмежень щодо суб'єктного складу лізингодавців за такими договорами немає, тобто ними можуть виступати в тому числі й фізичні особи — суб'єкти підприємницької діяльності, не зареєстровані в Держфінпослуг.
Що можна передати у фінлізинг.
Виходячи з наведених у нормативних актах визначень фінлізингу об'єктом за таким договором можуть виступати лише основні фонди — див. ч. 1 ст. 3 Закону про фінлізинг, ч. 1 ст. 807 ЦКУ, ч. 3 ст. 292 ГКУ, п.п. 14.1.97 ПКУ (хоча в ПКУ терміна «основні фонди» немає, зате в п.п. 14.1.138 ПКУ є термін «основні засоби»). Тільки у П(С)БО 14 стосовно таких договорів ідеться про передачу необоротних активів, а в П(С)БО 7 використовується термін «основні засоби».А от у юридичному розумінні обмеження фінлізингових операцій «виробничими» об'єктами суперечить системному прочитанню законодавства, в якому встановлено заборону тільки на передачу у фінлізинг земельних ділянок, інших природних об'єктів, цілісних майнових комплексів підприємств та їх відокремлених структурних підрозділів (
ч. 2 ст. 3 Закону про фінлізинг, ч. 5 ст. 292 ГКУ, ч. 2 ст. 807 ЦКУ). Виходячи з цього, на нашу думку, для цілей юридичної класифікації, так само як і для бухоблікового трактування, правильніше ґрунтуватися на бухобліковому визначенні основних засобів з п. 4 П(С)БО 7 «Основні засоби» і відносити до таких об'єктів матеріальні активи з очікуваним строком експлуатації більше одного року, у тому числі ті, що використовуються для «невиробничих функцій».
Критерії визнання фінлізингу
Бухгалтерський облік операцій оренди (лізингу) регламентується
П(С)БО 14 «Оренда», у п. 4 якого наводяться критерії, за якими оренда визнається фінансовою (див. «Коли оренда вважається фінансовою в бухгалтерському обліку»).
|    		 Коли оренда вважається фінансовою в бухгалтерському обліку Витяг із П(С)БО 14 «Фінансова оренда — оренда, що передбачає передачу орендарю всіх ризиків та вигод, пов'язаних з правом користування та володіння активом. Оренда вважається фінансовою за наявності хоча б однієї з наведених нижче ознак: 1) орендар набуває права власності на орендований актив після закінчення строку оренди; 2) орендар має можливість та намір придбати об'єкт оренди за ціною, нижчою за його справедливу вартість на дату придбання; 3) строк оренди становить більшу частину строку корисного використання (експлуатації) об'єкта оренди; 4) теперішня вартість мінімальних орендних платежів з початку строку оренди дорівнює або перевищує справедливу вартість об'єкта оренди; 5) орендований актив має особливий характер, що дає змогу лише орендареві використовувати його без витрат на його модернізацію, модифікацію, дообладнання; 6) орендар може подовжити оренду активу за плату, значно нижчу за ринкову орендну плату; 7) оренда може бути припинена орендарем, який відшкодовує орендодавцю його втрати від припинення оренди; 8) доходи або втрати від змін справедливої вартості об’єкта оренди на кінець терміну оренди належать орендарю».  |   	
Основною ознакою, за якою оренда визнається фінансовою, є передача орендарю всіх ризиків та вигод, пов'язаних з правом користування та володіння активом. У
МСФЗ 17 «Оренда» — міжнародному прототипі П(С)БО 14 із цього приводу уточнюється, що ризики включають можливість виникнення збитків у зв'язку з простоями або технологічним застаріванням чи коливання дохідності у зв'язку зі зміною економічних умов. Вигоди пов'язані з очікуванням прибутку від операцій протягом строку економічної служби активу і доходу від підвищення вартості чи реалізації залишкової вартості. Інакше кажучи, це всі збитки та прибутки, що очікуються від використання активу.Визнання оренди фінансовою чи операційною не залежить безпосередньо від того, як її класифіковано в договорі лізингу*. Тут лише має значення, чи дотримуються зазначені в
п. 4 П(С)БО 14 критерії класифікації.* Про це прямо йдеться в п. 10 МСФЗ 17, відповідно до якого розподіл оренди на фінансову чи операційну залежить від змісту операції, а не від форми договору.
Для визнання оренди як фінансової достатньо наявності хоча б одного з наведених вище критеріїв, серед яких на окрему увагу заслуговує критерій «теперішньої** вартості мінімальних орендних платежів».
** Переклад цього терміна в різних джерелах відрізняється. Як синоніми наводяться також терміни «теперішня», «поточна» вартість.
Згідно з
п. 4 П(С)БО 14 до мінімальних орендних платежів (далі — МОП) належать платежі, що підлягають сплаті орендарем протягом строку оренди, за винятком вартості послуг та податків, що підлягають сплаті орендодавцю, а також непередбаченої орендної плати***, збільшені на суму гарантованої ліквідаційної вартості. Непередбачена орендна плата — частина орендної плати, яка не зафіксована конкретною сумою та розраховується із застосуванням показників інших, ніж строк оренди (обсяг продажу, рівень використання, індекс інфляції та цін, ринкові ставки відсотка тощо).***Виняток становлять ситуації, коли орендар має наміри придбати об'єкт за ціною нижчою, ніж його справедлива вартість на дату придбання, — тоді МОП складаються з мінімальної орендної плати за весь строк оренди та суми, яку необхідно сплатити за угодою на придбання об’єкта оренди (п. 4 П(С)БО 14).
Гарантована ліквідаційна вартість
:1) для орендаря — частина ліквідаційної вартості, яка гарантується до сплати орендарем або пов'язаною з ним стороною;
2) для орендодавця — частина ліквідаційної вартості, яка гарантується до сплати орендарем або незалежною третьою стороною, здатною за своїм фінансовим станом відповідати за гарантією.
Які саме послуги не включаються до складу МОП, у
П(С)БО 14, так само як і в МСФЗ 17, не уточнюється. Водночас із роз'яснень авторитетних фахівців**** можна зробити такі висновки про склад МОП (табл. 1):
Таблиця 1.
Складові МОП|   		   		 Уключається до МОП  |   		  		   		 Не включається до МОП  |   	
|   		  		 1. Сума, що відшкодовує частину вартості предмета   		лізингу (включаючи суму ПДВ, обчислену з вартості такого об’єкта)  |   		  		  		 1. Компенсація інших витрат лізингодавця, безпосередньо   		пов'язаних з виконанням договору лізингу (технічне обслуговування,   		страхування тощо)  |   	
**** Голов С. Ф., Костюченко В. М. Бухгалтерський облік та фінансова звітність за міжнародними стандартами. — Х.: Фактор, 2007. — С. 279.
Для цілей класифікації оренди потрібно знати теперішню вартість МОП, порядок розрахунку якої залежить від того, в якому періоді нараховуються орендні платежі.
1. МОП нараховуються на початку звітного періоду
(кварталу, року):  
де
ТВ МОПп — теперішня вартість МОП за умови їх нарахування на початку звітного періоду;МОП1
— сума МОП, що сплачується регулярно (ануїтет);n
— кількість періодів, за які сплачується орендна плата і нараховуються відсотки;i
— ставка відсотка для цього періоду.2. МОП нараховуються наприкінці звітного періоду
(кварталу, року):  
де
ТВ МОПк — теперішня вартість МОП за умови їх нарахування наприкінці звітного періоду.Як бачимо, теперішня вартість МОП — це не що інше, як дисконтована сума МОП.
Ставку відсотка (СВ) стосовно розрахунку нинішньої вартості МОП можна визначити за алгоритмом, наведеним на рисунку.
  
Як бачимо, за відсутності зазначення ставки відсотка в договорі вона може відрізнятися в орендаря та орендодавця. Тим часом
МСФЗ 17 заохочує використання погоджених між сторонами понять, тому бажано, щоб у договорі все-таки було наведено ставку відсотка, що використовується.МОП цікава не лише з точки зору класифікації оренди. Цю величину нам необхідно знати ще й для того, щоб правильно відобразити операції фінансової оренди на рахунках обліку
.Приклад 1.
За договором фінлізингу 01.01.10 р. в оренду було передано об'єкт основних засобів на таких умовах: строк оренди — 5 років або 20 кварталів; строк корисного використання — 6 років; загальна сума платежів, які має сплатити орендар, — 160 тис. грн. (8000 грн. на квартал); ліквідаційна вартість об’єкта дорівнює нулю, лізингові (орендні) платежі сплачуються щокварталу наприкінці кварталу.Теперішня вартість МОП у цьому випадку однакова для орендаря та орендодавця:
  
А от якби лізинговий платіж сплачувався на початку кварталу, то теперішня вартість МОП склала б:
  
Облік операцій фінлізингу в орендаря
Згідно з
п. 5 П(С)БО 14 орендар відображає в бухгалтерському обліку отриманий у фінансову оренду об'єкт одночасно як актив та зобов'язання за найменшою на початок строку оренди оцінкою:1) справедливою вартістю активу, або
2) теперішньою вартістю МОП.
Виходячи з цього орендарю мають бути відомі обидва показники. Справедлива вартість активу перевищує теперішню вартість МОП на суму негарантованої ліквідаційної вартості (частини ліквідаційної вартості об’єкта оренди, отримання якої орендодавцем не забезпечується або гарантується тільки пов'язаною з ним стороною). Такий висновок випливає з визначення орендної ставки відсотка в
п. 4 П(С)БО 14, відповідно до якого справедлива вартість об’єкта оренди на початок строку оренди дорівнює теперішній вартості МОП, розрахованій за цією ставкою, плюс негарантована ліквідаційна вартість.Найменша з цих сум відображається в обліку по кредиту
субрахунку 531 «Зобов'язання з фінансової оренди». У подальшому частина заборгованості, що класифікується як поточна (строк погашення якої припадає на наступні 12 місяців), переводиться на субрахунок 611 «Поточна заборгованість за довгостроковими зобов'язаннями в національній валюті» (Дт 531 — Кт 611).До первісної вартості об’єкта (Дт 15) в орендаря також уключаються:
1) понесені орендарем первісні витрати, пов'язані з придбанням і доставкою об’єкта (
п. 8 П(С)БО 7 «Основні засоби»), а саме:— суми, що сплачуються постачальникам та підрядникам за виконання будівельно-монтажних робіт (без непрямих податків);
— реєстраційні збори, державне мито й аналогічні платежі, що здійснюються у зв'язку з придбанням (отриманням) прав на об'єкт основних засобів;
— суми ввізного мита;
— суми непрямих податків у зв'язку з придбанням (створенням) основного засобу (якщо вони не відшкодовуються підприємству);
— витрати на страхування ризиків доставки основного засобу;
— витрати на транспортування, установлення, монтаж, налагодження об’єкта основних засобів;
— інші витрати, безпосередньо пов'язані з доведенням об’єкта основних засобів до стану, в якому він придатний для використання із запланованою метою;
2) витрати на поліпшення об’єкта фіноренди (модернізацію, модифікацію, добудовування, дообладнання, реконструкцію тощо), що спричинюють збільшення майбутніх економічних вигод, первісно очікуваних від його використання (
п. 6 П(С)БО 14).У момент уведення в експлуатацію об'єкт зараховується на відповідний субрахунок основних засобів (кореспонденція:
Дт 10 — Кт 15), і далі на нього нараховується амортизація за встановленим орендарем методом протягом періоду його очікуваного використання. Згідно з п. 7 П(С)БО 14 таким періодом є:— строк корисного використання об’єкта (якщо договором передбачено перехід права власності на актив до орендаря), або
— коротший з двох періодів — строк оренди або строк корисного використання об’єкта фінансової оренди (якщо переходу права власності на об'єкт фінансової оренди після закінчення строку оренди не передбачено).
Лізинговий платіж відображається в особливому порядку: його суму за звітний період слід розподілити на складові, що проводяться в обліку на різних субрахунках (табл. 2 на с. 41).
Для перевірки правильності розподілу складових лізингового платежу на відсоткові платежі та в погашення заборгованості з фіноренди слід визначити різницю між загальною сумою МОП за весь строк оренди і заборгованістю перед орендодавцем (сальдо
Кт 531 + Кт 611 на початок строку оренди). Цей показник становитиме суму відсотків за весь строк оренди, що відображається в орендаря у складі фінансових витрат.
Таблиця 2.
Бухгалтерський облік лізингового платежу в орендаря|   		   		 Складова частина платежу  |   		  		   		 Порядок розрахунку  |   		  		   		 Кореспонденція  |   	
|   		  		 1. Відсоткові платежі(1)  |   		  		  		 Сальдо (Кт 531 + Кт 611) х СВ  |   		  		  		 Дт 952 — Кт 684  |   	
|   		  		 2. Погашення заборгованості з фіноренди  |   		  		  		 Різниця між МОП та відсотковими платежами за звітний період  |   		  		  		 Дт 611 — Кт 311 (301)  |   	
|   		  		 3. Платежі, що не входять до МОП   |   		  		  		 Зазначаються в розшифровці лізингового платежу (рахунку) орендодавця  |   		  		  		 Дт 23, 91 — 94(1) — Кт 311 (301)  |   	
|   		  (1) На нашу думку, ці платежі підлягають відображенню на тих самих субрахунках, що й амортизація отриманого у фінлізинг об’єкта.  |   	||
Приклад 2.
Орендар отримав у фінлізинг обладнання на умовах, наведених у прикладі 1. Ліквідаційна вартість обладнання дорівнює нулю, справедлива вартість на дату отримання склала 119020 грн. (у тому числі ПДВ — 19836,67). Витрати на доставку та установлення обладнання в орендаря склали 12 тис. грн. з ПДВ. Амортизація нараховується прямолінійним методом.Оскільки теперішня вартість МОП (119020 грн.) дорівнює справедливій вартості обладнання (119020 грн.), то воно відображається в обліку в цьому розмірі.
Порядок розподілу лізингового платежу в обліку наведено в табл. 3.
Таблиця 3.
Порядок розподілу лізингового платежу в обліку орендаря, грн.|   		   		 Період  |   		  		   		 Сума лізингового платежу (МОП)  |   		  		   		 Залишок заборгованості з оренди на кінець періоду  |   	||
|   		   		 усього платіж  |   		  		   		 відсоткові платежі:  |   		  		   		 погашення зобов'язання з оренди  |   	||
|   		   		 1  |   		  		   		 2  |   		  		   		 3  |   		  		   		 4  |   		  		   		 5  |   	
|   		  		 —  |   		  		  		 —  |   		  		  		 —  |   		  		  		 —  |   		  		  		 119020  |   	
|   		  		 1  |   		  		  		 8000,00  |   		  		  		 3570,60  |   		  		  		 4429,40  |   		  		  		 114590,60  |   	
|   		  		 2  |   		  		  		 8000,00  |   		  		  		 3437,72  |   		  		  		 4562,28  |   		  		  		 110028,32  |   	
|   		  		 3  |   		  		  		 8000,00  |   		  		  		 3300,85  |   		  		  		 4699,15  |   		  		  		 105329,17  |   	
|   		  		 4  |   		  		  		 8000,00  |   		  		  		 3159,88  |   		  		  		 4840,12  |   		  		  		 100489,05  |   	
|   		  		 5  |   		  		  		 8000,00  |   		  		  		 3014,67  |   		  		  		 4985,33  |   		  		  		 95503,72  |   	
|   		  		 6  |   		  		  		 8000,00  |   		  		  		 2865,11  |   		  		  		 5134,89  |   		  		  		 90368,83  |   	
|   		  		 7  |   		  		  		 8000,00  |   		  		  		 2711,06  |   		  		  		 5288,94  |   		  		  		 85079,89  |   	
|   		  		 8  |   		  		  		 8000,00  |   		  		  		 2552,40  |   		  		  		 5447,60  |   		  		  		 79632,29  |   	
|   		  		 9  |   		  		  		 8000,00  |   		  		  		 2388,97  |   		  		  		 5611,03  |   		  		  		 74021,26  |   	
|   		  		 10  |   		  		  		 8000,00  |   		  		  		 2220,64  |   		  		  		 5779,36  |   		  		  		 68241,90  |   	
|   		  		 11  |   		  		  		 8000,00  |   		  		  		 2047,26  |   		  		  		 5952,74  |   		  		  		 62289,16  |   	
|   		  		 12  |   		  		  		 8000,00  |   		  		  		 1868,67  |   		  		  		 6131,33  |   		  		  		 56157,83  |   	
|   		  		 13  |   		  		  		 8000,00  |   		  		  		 1684,73  |   		  		  		 6315,27  |   		  		  		 49842,56  |   	
|   		  		 14  |   		  		  		 8000,00  |   		  		  		 1495,28  |   		  		  		 6504,72  |   		  		  		 43337,84  |   	
|   		  		 15  |   		  		  		 8000,00  |   		  		  		 1300,14  |   		  		  		 6699,86  |   		  		  		 36637,98  |   	
|   		  		 16  |   		  		  		 8000,00  |   		  		  		 1099,14  |   		  		  		 6900,86  |   		  		  		 29737,12  |   	
|   		  		 17  |   		  		  		 8000,00  |   		  		  		 892,11  |   		  		  		 7107,89  |   		  		  		 22629,23  |   	
|   		  		 18  |   		  		  		 8000,00  |   		  		  		 678,88  |   		  		  		 7321,12  |   		  		  		 15308,11  |   	
|   		  		 19  |   		  		  		 8000,00  |   		  		  		 459,24  |   		  		  		 7540,76  |   		  		  		 7767,35  |   	
|   		  		 20  |   		  		  		 8000,00  |   		  		  		 233,02  |   		  		  		 7766,98(1)  |   		  		  		 0,37(1)  |   	
|   		   		 Разом  |   		  		   		 160000,00  |   		  		   		 40980,37  |   		  		   		 119019,63(1)  |   		  		   		 0  |   	
|   		  (1) Цю суму необхідно погасити у складі платежу за останній період. Загальна сума МОП, спрямована на погашення заборгованості, становить 19020 грн., — теперішню вартість МОП.  |   	||||
Таблиця 4.
Бухгалтерський облік операцій фінлізингу в орендаря|   		   		 Господарська операція  |   		  		   		 Кореспондуючі рахунки  |   		  		   		 Сума,  |   	|
|   		   		 дебет  |   		  		   		 кредит  |   	||
|   		  		 1. Отримано послуги з доставки та установлення обладнання  |   		  		  		 152  |   		  		  		 631  |   		  		  		 10000,00  |   	
|   		  		 2. Відображено податковий кредит з ПДВ  |   		  		  		 641  |   		  		  		 631  |   		  		  		 2000,00  |   	
|   		  		 3. Оплачено послуги з доставки та установлення обладнання  |   		  		  		 631  |   		  		  		 311  |   		  		  		 12000,00  |   	
|   		  		 4. Оприбутковано обладнання від орендодавця (119020,00 - 19836,67)  |   		  		  		 152  |   		  		  		 531  |   		  		  		 99183,33  |   	
|   		  		 5. Відображено податковий кредит з ПДВ  |   		  		  		 641  |   		  		  		 531  |   		  		  		 19836,67  |   	
|   		  		 6. Переведено частину довгострокової заборгованості до складу поточної  |   		  		  		 531  |   		  		  		 611  |   		  		  		 18530,95(1)  |   	
|   		  		 7. Уведено обладнання в експлуатацію  |   		  		  		 104  |   		  		  		 152  |   		  		  		 129020,00  |   	
|   		  		 8. Відображено щомісячне нарахування зносу на обладнання  |   		  		  		 23  |   		  		  		 131  |   		  		  		 2150,33(2)  |   	
|   		  		 9. Нараховано та сплачено лізинговий платіж:  |   	|||
|   		  		 — у погашення зобов'язання з оренди  |   		  		  		 611  |   		  		  		 311  |   		  		  		 4429,40(3)  |   	
|   		  		 — відсоткові платежі  |   		  		  		 952  |   		  		  		 684  |   		  		  		 3570,60(4)  |   	
|   		  		 684  |   		  		  		 311  |   	||
|   		  (1) Розраховується за даними гр. 4 табл. 3: 4429,40 + 4562,28 + 4699,15 + 4840,12 = 18530,95 (грн.). (2) 129020 грн. : (5 років х 12 міс.) = 2150,33 грн. (3) Дані гр. 4 табл. 3. (4) Дані гр. 3 табл. 3.  |   	|||
Облік операцій фінлізингу в орендодавця
Види фінлізингу.
З позиції бухгалтерського обліку в орендодавця фіноренда поділяється на два види:1)
пряма фінансова оренда — оренда, відповідно до умов якої орендодавець (зазвичай лізингова компанія чи банк) за дорученням орендаря-клієнта придбаває за свій рахунок або за рахунок залучених коштів основні засоби в постачальника з метою подальшого надання їх у довгострокову оренду. У термінах ЦКУ це непрямий лізинг;2)
оренда типу продажу — передбачає продаж підприємством-виробником або дилером придбаного без попередньої домовленості з орендарем основного засобу шляхом передачі його в довгострокову оренду. У ЦКУ цей вид оренди визначається як прямий лізинг.Облік прямої фіноренди.
Для того щоб визначити МОП, орендодавцю необхідно знати:— справедливу вартість основного засобу, що передається у фіноренду;
— норму прибутковості на чисті інвестиції в оренду.
Тоді МОП за період можна розрахувати так:
1. МОП нараховуються на початку звітного періоду
(кварталу, року):  
де
СВ — справедлива вартість основного засобу, що передається у фіноренду;n — кількість періодів, за які сплачується орендна плата і нараховуються відсотки;
i — норма прибутковості на чисті інвестиції в оренду.
2. МОП нараховуються наприкінці звітного періоду
(кварталу, року):   
Зокрема, за даними прикладу 2 (справедлива вартість основного засобу становить 119020 грн.) за умови, що норма прибутковості на чисті інвестиції в оренду дорівнює 3 %, МОП за період на її основі можна визначити так:
  
Згідно з П(С)БО 14
орендодавець при передачі об’єкта у фіноренду в бухгалтерському обліку визнає дохід від реалізації активу в сумі МОП за вирахуванням відсоткових платежів. Отже, як і орендар, орендодавець має розподілити МОП дві складові:1) суму, що зараховується у зменшення заборгованості орендаря з оренди. На цю суму плюс негарантована ліквідаційна вартість об’єкта визнається дохід від реалізації активу. Якщо актив значився в орендодавця у складі основних засобів, перед передачею у фіноренду він переводиться до складу оборотних активів згідно з
П(С)БО 27«Необоротні активи, утримувані для продажу, та припинена діяльність». Кореспонденції:
Дт 377 «Розрахунки з іншими дебіторами»
— на суму поточної заборгованості орендаря;Дт 181 «Заборгованість за майно, передане у фіноренду»,
— на суму довгострокової заборгованості орендаря;Кт 712
;2) відсоткові платежі. У розмірі цієї суми у міру нарахування відсотків визнається фінансовий дохід:
Дт 373 «Розрахунки за нарахованими доходами» — Кт 732 «Відсотки одержані».За даними прикладу 2 операцію фіноренди в обліку орендодавця буде відображено так:
Таблиця 5.
Бухгалтерський операцій фіноренди в орендодавця|   		   		 Господарська операція  |   		  		   		 Кореспондуючі рахунки  |   		  		   		 Сума,  |   	|
|   		   		 дебет  |   		  		   		 кредит  |   	||
|   		  		 1. Придбано обладнання на замовлення орендаря  |   		  		  		 281  |   		  		  		 631  |   		  		  		 83333,33  |   	
|   		  		 2. Відображено податковий кредит з ПДВ  |   		  		  		 641  |   		  		  		 631  |   		  		  		 16666,67  |   	
|   		  		 3. Оплачено обладнання постачальнику  |   		  		  		 631  |   		  		  		 311  |   		  		  		 100000,00  |   	
|   		  		 4. Передано обладнання у фіноренду  |   		  		  		 181  |   		  		  		 712(1)  |   		  		  		 119020,00  |   	
|   		  		 5. Відображено податкові зобов'язання  |   		  		  		 712  |   		  		  		 641  |   		  		  		 19836,67  |   	
|   		  		 6. Уключено до витрат вартість об’єкта  |   		  		  		 943  |   		  		  		 281  |   		  		  		 83333,33  |   	
|   		  		 7. Частину довгострокової заборгованості переведено до складу поточної  |   		  		  		 377  |   		  		  		 181  |   		  		   		 18530,95(2)  |   	
|   		  		 8. Нараховано та отримано лізинговий платіж (МОП):  |   	|||
|   		  		 — у погашення заборгованості орендаря  |   		  		  		 311  |   		  		  		 377  |   		  		  		 4429,40  |   	
|   		  		 — відсоткові платежі  |   		  		  		 373  |   		  		  		 732  |   		  		  		 3570,60  |   	
|   		  		 311  |   		  		  		 373  |   	||
|   		  (1) Зауважимо, що Мінфін у листі від 25.07.08 р. № 31-34000-10-10/29072 дещо несподівано рекомендує відображати доходи від реалізації необоротних активів, утримуваних для продажу, по кредиту субрахунку 719 «Інші доходи від операційної діяльності», а собівартість таких активів — по дебету субрахунку 949 «Інші витрати операційної діяльності». (2) Розраховується за даними гр. 4 табл. 3: 4429,40 + 4562,28 + 4699,15 + 4840,12 = 18530,95 (грн.).  |   	|||
Облік оренди типу продажу.
Специфіка відображення операцій з такої оренди в обліку полягає в тому, що, по-перше, при визначенні доходу від передачі активу та дебіторської заборгованості орендаря порівнюються два показники:1) справедлива вартість об’єкта;
2) теперішня вартість МОП, обчислених за ринковою ставкою відсотка.
Дохід відображається за меншим із цих показників (
п. 13 П(С)БО 14). Таким чином, для аналізу ще потрібно знати ринкову ставку відсотка. Ця додаткова умова пов'язана з тим, що в міжнародній практиці інколи орендодавці штучно встановлюють низьку ставку відсотка, що може призвести до відображення зайвої частини загального доходу в момент продажу. Для уникнення цього в МСФЗ 17 передбачено, що в разі заниження ставок відсотка прибуток від реалізації активу обмежується сумою, обчисленою за ринковою ставкою відсотка.Так, якби виходячи з даних прикладу 2 ринкова ставка відсотка склала, скажімо, 16 %, то теперішня вартість МОП для орендодавця дорівнювала б:
  
І оскільки цей показник нижчий від справедливої вартості об’єкта (119020 грн.), то дохід від передачі активу у фіноренду відображався б виходячи з 113072 грн.
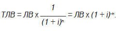
По-друге, на облік орендодавця впливає теперішня негарантована ліквідаційна вартість об’єкта, що відображається у складі дебіторської заборгованості орендодавця і водночас на цю суму зменшується собівартість переданого в оренду об’єкта.
Причому теперішня негарантована ліквідаційна вартість об’єкта (ТЛВ) у цьому випадку визначається за формулою теперішньої вартості однієї грошової одиниці:
  
Зокрема, якби за даними прикладу 2 негарантована ліквідаційна вартість об’єкта склала б 10 тис. грн., то на обліку орендодавця це позначилося б так:
  
 
Тоді дохід від передачі активу у фіноренду відображався б у розмірі 113072 - 4564 = 108508 (грн.).
Одночасно на суму ТЛВ було б зменшено витрати від реалізації обладнання кореспонденцією: Дт 377 — Кт 943 — 4564 грн.
Тим часом, у вітчизняних реаліях на ці нюанси, як правило, не звертають уваги. У всьому ж іншому порядок відображення операцій в обліку орендодавця аналогічний обліку операцій прямої фіноренди.
От і все, що ми сьогодні хотіли розповісти про фінлізинг (фіноренду). Разом з тим, ця тема є доволі складною та супроводжується безліччю нюансів. Тому, якщо у вас з'являться запитання — пишіть.
Документи і скорочення статті
ЦКУ
— Цивільний кодекс України від 16.01.03 р. № 435-IV.ГКУ
— Господарський кодекс України від 16.01.03 р. № 436-IV.ПКУ
— Податковий кодекс України від 02.12.10 р. № 2755-VI.Закон про фінлізинг
— Закон України «Про фінансовий лізинг» від 11.12.03 р. № 1381-IV.Закон про фінпослуги
— Закон України «Про фінансові послуги та державне регулювання ринків фінансових послуг» від 12.07.01 р. № 2664-III.Положення № 21
— Положення про надання послуг фінансового лізингу юридичними особами — суб'єктами господарювання, які за своїм правовим статусом не є фінансовими установами, затверджене розпорядженням Держфінпослуг від 22.01.04 р. № 21.МОП
— мінімальна сума орендних платежів.СП
— ставка відсотків.
                                    