Возвратная финпомощь: «вернемся к нашим баранам»
Письмо Миндоходов Украины от 11.12.13 г. № 26953/7/99-99-19-03-02-17
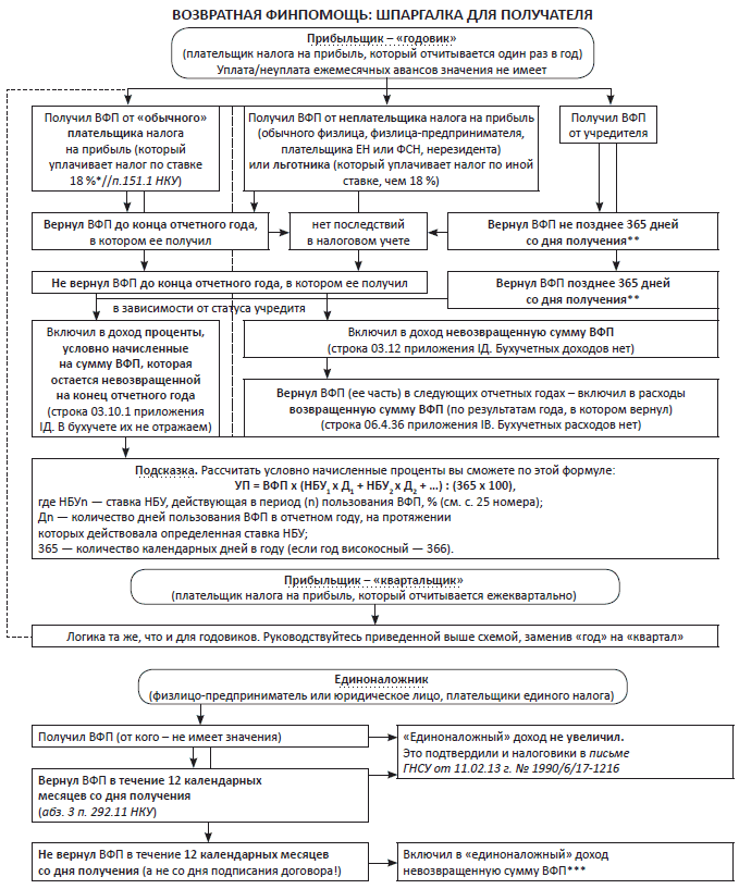
Получив возвратную финансовую помощь (ВФП), вы сразу отмечаете для себя отчетные даты, о которых нужно помнить. Для плательщиков налога на прибыль, которые отчитываются раз в год (без ежеквартальных деклараций), такая важная дата только одна — конец отчетного года. И комментируемое письмо — очередное тому доказательство.
Обратите внимание! Здесь речь идет о ВФП, полученной в 2013 году. И, к сожалению, налоговики ссылаются на старую редакцию п. 152.9 НКУ, где годовой отчетный период является базовым только для плательщиков авансовых взносов. Сегодня же (с 01.01.14 г.) отчетный (налоговый) период равен году для плательщиков, определенных в п. 57.1 НКУ, т. е. как для плательщиков, так и для неплательщиков ежемесячных авансов (Закон Украины от 24.10.13 г. № 657-VII // «БН», 2013, № 47, с. 34).
Напомним, что в письме от 25.11.13 г. № 15986/6/99-99-19-03-02-15 («БН», 2014, № 7, с. 9) Миндоходов обезопасило и неплательщиков ежемесячных авансов, получивших ВФП в 2013 году: они учитывают невозвращенную ВФП только по итогам года без ежеквартальных «поклонов».
В любом случае, вывод налоговиков из комментируемого письма справедлив для всех, у кого базовым является годовой отчетный период.
Итак, сумму ВФП, полученную от неплательщика налога на прибыль, показываем в налоговом учете (в декларации по налогу на прибыль), только если не вернули ее на конец отчетного года (п.п. 135.5.5 НКУ). То же самое касается и условно начисленных процентов на ВФП, полученную от плательщика налога на прибыль и не возвращенную на конец отчетного года (п.п. 135.5.4 НКУ). Поквартально в налоговом учете ничего отражать (начислять) не нужно.
Разобраться в деталях вам поможет схема на следующей странице этого номера.

* Подробнее об этом и других изменениях читайте в «БН», 2014, № 14, с. 4; № 15, с. 13, 15.
** Подробнее о ВФП, полученной от учредителя, читайте в «БН», 2012, № 25, с. 43; № 49, с. 31.
*** Интересный материал о других доходах единоналожника вы найдете в «БН», 2013, № 16, с. 17.
