Поворотна фіндопомога: «повернемося до наших баранів»
Лист Міндоходів України від 11.12.13 р. № 26953/7/99-99-19-03-02-17
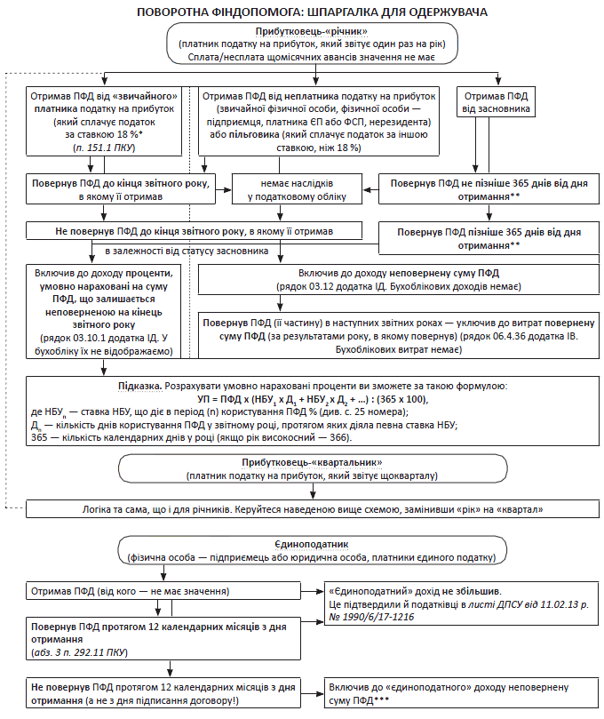
Отримавши поворотну фінансову допомогу (ПФД), ви одразу визначаєте для себе звітні дати, про які потрібно пам’ятати. Для платників податку на прибуток, які звітують раз на рік (без щоквартальних декларацій), такою важливою датою є лише одна — кінець звітного року. І лист, що коментується, — черговий доказ цього.
Зверніть увагу! Тут ідеться про ПФД, отриману в 2013 році. І, на жаль, податківці посилаються на стару редакцію п. 152.9 ПКУ, де річний звітний період є базовим тільки для платників авансових внесків. Сьогодні ж (з 01.01.14 р.) звітний (податковий) період дорівнює року для платників, визначених у п. 57.1 ПКУ, тобто як для платників, так і для неплатників щомісячних авансів (Закон України від 24.10.13 р. № 657-VII // «БТ», 2013, № 47, с. 34 ).
Нагадаємо, що в листі від 25.11.13 р. № 15986/6/99-99-19-03-02-15 («БТ», 2014, № 7, с. 9) Міндоходів убезпечило і неплатників щомісячних авансів, які отримали ПФД у 2013 році: вони враховують неповернену ПФД тільки за підсумками року без щоквартальних «ухилів».
У будь-якому випадку висновок податківців із листа, що коментується, є справедливим для всіх, у кого базовим є річний звітний період.
Отже, суму ПФД, отриману від неплатника податку на прибуток, показуємо в податковому обліку (у декларації з податку на прибуток), тільки якщо не повернули її на кінець звітного року (п.п. 135.5.5 ПКУ). Те саме стосується й умовно нарахованих процентів на ПФД, отриману від платника податку на прибуток та не повернену на кінець звітного року (п.п. 135.5.4 ПКУ). Поквартально в податковому обліку нічого відображати (нараховувати) не потрібно.
Розібратися в деталях вам допоможе схема на наступній сторінці цього номера.

* Докладніше про це та інші зміни читайте у «БТ», 2014, № 14, с. 4; № 15, с. 13, 15.
** Докладніше про ПФД, отриманої від засновника читайте у «БТ», 2012, № 25, с. 43; № 49, с. 31.
*** Цікавий матеріал про інші доходи єдиноподатника ви знайдете у «БТ», 2013, № 16, с. 17.
