Сбор за спецводопользование-2014: заботливое разъяснение от Миндоходов
Письмо Миндоходов Украины от 29.01.14 г. № 2129/7/99-99-15-04-01-17
Дабы вооружить налогоплательщиков знаниями, Миндоходов выдало свежую порцию писем-разъяснений по администрированию отдельных налогов/сборов в 2014 году. Среди прочего циркуляр по сбору за спецводопользование.
По сути, налоговики напомнили азы!
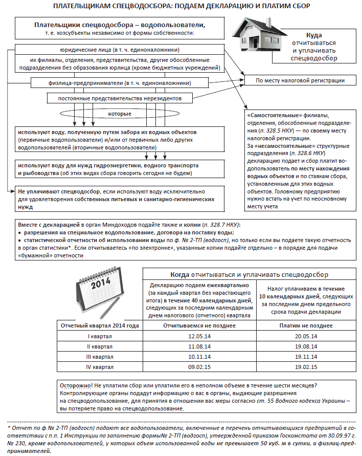
Плательщики сбора — водопользователи (первичные и вторичные). Подробнее об этом вы узнаете на следующей странице, изучив «спецводосборную» схему.
Важными документами для плательщиков являются разрешение на специспользование воды или договор на ее поставку.
Помните! Разрешение получают только первичные водопользователи (они берут воду непосредственно из водных объектов). В разрешениях они находят персональные лимиты использования воды. А для вторичных водопользователей таким разрешением являются установленный в разрешении первичного водопользователя лимит использования воды и договор на поставку воды (см. письмо Минприроды от 15.03.11 г. № 5515/16/10-11-МП// «БН», 2011, № 18, с. 8).
Учтите: если вы поставляете воду другим водопользователям и при этом не заключаете с ними договор на поставку, то уплачиваете сбор именно вы. Эта ситуация знакома арендодателям («полезности» на эту тему вы найдете в «БН», 2012, № 40, с. 30; лояльные разъяснения налоговиков по поводу уплаты сбора при использовании арендатором воды только для удовлетворения исключительно собственных питьевых и сангигиеннужд — в ОНК от 21.12.12 г. № 1180 // «БН», 2013, № 1, с. 5).
Исчисляем сбор исходя из фактических объемов использованной воды, которые определяем по данным измерительных приборов (счетчиков).
Важно: если счетчиков нет — ориентируемся на технологические данные (объем произведенной продукции, пропускная способность водопроводных труб и пр.). А если возможность установить счетчики есть, но по факту их нет, то уплатить сбор нужно в 2-кратном размере.
Еще один способ уплатить сбор в увеличенной сумме — использовать воду сверх установленных лимитов или вообще без разрешения (когда он нужен). Такой проступок карается уплатой сбора в 5-кратном размере.
Собрав все данные (объем использованной воды, лимиты, ставки), водопользователи сами рассчитывают сумму сбора, заполняют и подают декларацию — ежеквартально по месту налоговой регистрации (в общем случае). На сегодня действует форма декларации, утвержденная приказом Минфина от 21.12.12 г. № 1403 (а Миндоходов тем временем подготовило проект новой декларации — см. ниже).
Как вы помните, в 2013 году сложилась «двойственная» ситуация: налоговое обязательство в декларации нужно было отражать двумя строками, потому что повышенные ставки сбора заработали не с начала года, а с 4 января («БН», 2013, № 16, с. 37; № 40, с. 37).
Как будут обстоять дела в этом году? Пока ничего не слышно о законе, индексирующем ставки налогов, выраженные в абсолютном значении (в том числе спецводо- сбора). Но если вдруг он все-таки появится в I квартале, то вполне вероятно повторение прошлогодней истории с раздвоением ставок.
Еще один, но уже более вероятный, подарок будущего — новая форма декларации. Ее проект вы найдете по адресу http://minrd.gov.ua/diyalnist-/regulyatorna-politika-/regulyatorna-politika/2014-rik/63034.html.
По задумке авторов, новая форма декларации, как те Д’Артаньян и три мушкетера: одна за всех! Вместо трех отдельных деклараций (спецводосбора поверхностных и подземных вод, за специспользование воды для нужд гидро энергетики и водного транспорта) и перерасчетов к ним, Миндоходов разработало унифицированную форму декларации спецводосбора и три приложения к ней — для каждого водосбора. А в четвертом приложении закодировало водные объекты по типам и направлениям использования воды.
Кроме того, декларация заметно «похудеет», да и алгоритм расчета налогового обязательства станет намного проще: заполнили нужное приложение (которое тоже не давит своей громоздкостью), а потом перенесли цифры в декларацию.
Но не будем спешить. Все подробности мы с вами обсудим после того, как появится официальная версия декларации. →
