Збір за спецводокористування-2014: дбайливе роз’яснення від Міндоходів
Лист Міндоходів України від 29.01.14 р. № 2129/7/99-99-15-04-01-17
Щоб озброїти платників податків знаннями, Міндоходів видало свіжу порцію листів-роз’яснень стосовно адміністрування окремих податків/зборів у 2014 році. Серед іншого — циркуляр щодо збору за спецводокористування.
По суті, податківці нагадали ази!
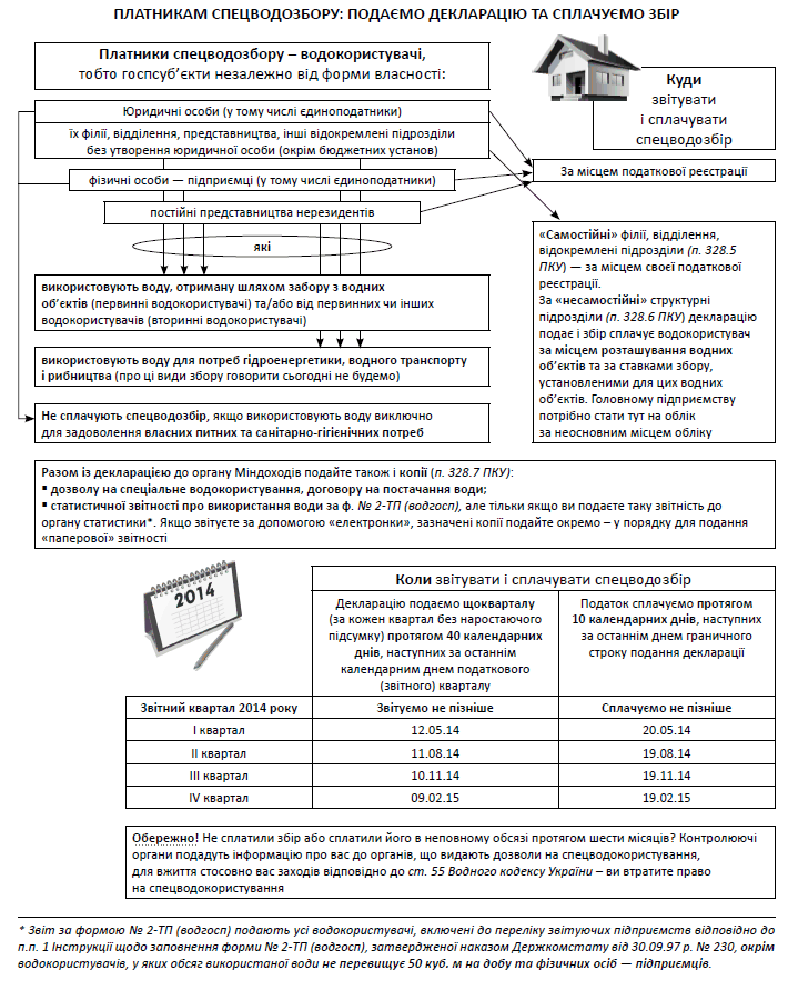
Платники збору — водокористувачі (первинні та вторинні). Докладніше про це ви дізнаєтеся на наступній сторінці, вивчивши «спецводозбірну» схему.
Важливим документом для платників є дозвіл на спецвикористання води або договір на її постачання.
Пам’ятайте! Дозвіл отримують лише первинні водокористувачі (вони беруть воду безпосередньо з водних об’єктів). У дозволах вони знаходять персональні ліміти використання води. А для вторинних водокористувачів таким дозволом є встановлений у дозволі первинного водокористувача ліміт використання води та договір на постачання води (див. лист Мінприроди від 15.03.11 р. № 5515/16/10-11-МП // «БТ», 2011, № 18, с. 8).
Майте на увазі: якщо ви поставляєте воду іншим водокористувачам і при цьому не укладаєте з ними договір на постачання, то сплачуєте збір саме ви. Ця ситуація знайома орендодавцям («корисності» щодо цієї теми ви знайдете у «БТ», 2012, № 40, с. 30; лояльні роз’яснення податківців із приводу сплати збору при використанні орендарем води лише для задоволення виключно власних питних і сангігієнпотреб — в УПК від 21.12.12 р. № 1180 // «БТ», 2013, № 1, с. 5).
Обчислюємо збір виходячи з фактичних обсягів використаної води, які визначаємо за даними вимірювальних приладів (лічильників).
Важливо: якщо лічильників немає — орієнтуємося на технологічні дані (обсяг виробленої продукції, пропускна спроможність водопровідних труб тощо). А якщо можливість установити лічильники є, але за фактом їх немає, то сплатити збір потрібно у 2-кратному розмірі.
Ще один спосіб наразитися на сплату збору в збільшеній сумі — використовувати воду понад установлені ліміти або взагалі без дозволу (коли він потрібний). Така провина карається сплатою збору в 5-кратному розмірі.
Зібравши всі дані (обсяг використаної води, ліміти, ставки), водокористувачі самостійно розраховують суму збору, заповнюють і подають декларацію — щокварталу за місцем податкової реєстрації (у загальному випадку). На сьогодні діє форма декларації, затверджена наказом Мінфіну від 21.12.12 р. № 1403 (а Міндоходів тим часом підготувало проект нової декларації — див. нижче).
Як ви пам’ятаєте, у 2013 році склалася «подвійна» ситуація: податкове зобов’язання в декларації потрібно було відображати двома рядками, тому що підвищені ставки збору запрацювали не з початку року, а з 4 січня («БТ», 2013, № 16, с. 37; № 40, с. 37).
Якою буде ситуація в цьому році? Поки нічого не чути про закон, що індексує ставки податків, виражені в абсолютному значенні (у тому числі спецводозбору). Але якщо раптом він усе-таки з’явиться у І кварталі, то цілком імовірним є повторення торішньої історії з «роздвоєнням» ставок.
Ще один, але вже імовірніший, подарунок майбутнього — нова форма декларації. Її проект ви знайдете за адресою: http://minrd.gov.ua/diyalnist-/regulyatorna-politika-/regulyatorna-politika/2014-rik/63034.html.
За задумом авторів, нова форма декларації — як ті д’Артаньян і три мушкетери: одна за всіх! Замість трьох окремих декларацій (спецводозбору поверхневих та підземних вод, за спецвикористання води для потреб гідроенергетики та водного транспорту) і перерахунків до них Міндоходів розробило уніфіковану форму декларації спецводозбору і три додатки до неї — для кожного водозбору. А в четвертому додатку воно закодувало водні об’єкти за типами та напрямками використання води.
Крім того, декларація помітно «схудне», та й алгоритм розрахунку податкового зобов’язання стане набагато простішим: заповнили потрібний додаток (який теж не бентежить своєю громіздкістю), а потім перенесли цифри до декларації.
Але не квапитимося. Усі подробиці ми з вами обговоримо після того, як з’явиться офіційна версія декларації. →

