Ошибки по единому налогу: «найти и обезвредить»
Как гласит народная мудрость: «Не ошибается только тот, кто ничего не делает». Поэтому, если вы ненароком допустили ошибку, заполняя отчетность по единому налогу, не огорчайтесь и не паникуйте. По большому счету, ничего катастрофического не случилось. Любую допущенную в декларации ошибку можно исправить. Как это сделать — мы сейчас вам расскажем.
Сергей ДЕЦЮРА, налоговый эксперт, s.detsyura@id.factor.ua
Постулаты
Правила исправления
Обнаружили ошибку в заполненной отчетности?
Что ж, тогда вспоминайте общие правила исправления ошибок, описанные в ст. 50 НКУ. Они пригодятся в том числе и плательщикам ЕН (как юридическим, так и физическим лицам).
Чтобы минимизировать штрафы или вообще их избежать, плательщику ЕН следует самостоятельно исправить данные в ранее поданных декларациях!
Напомним. На сегодняшний день действуют две формы декларации по ЕН, утвержденные приказом МФУ от 21.12.11 г. № 1688 (о правилах их заполнения читайте в «БН», 2014, № 4, с. 12):
• Налоговая декларация плательщика единого налога — физического лица — предпринимателя (далее — Декларация ФЛП);
• Налоговая декларация плательщика единого налога — юридического лица (далее — Декларация юрлица).
Так вот, «самоисправиться» вы можете одним из следующих способов:

Важно! Этот способ применяют только тогда, когда ошибка выявлена в уже поданной налоговой декларации за отчетный период, но до окончания предельного срока ее подачи (за этот же отчетный период). Например, предельный срок подачи Декларации ФЛП за 2013 год заканчивается 3 марта (для группы 2). Декларация ФЛП подана 28 февраля. Если вы обнаружили в ней ошибку, то для ее исправления можете подать новую отчетную Декларацию ФЛП (с правильными данными) не позднее 3 марта.

Важно! Уточняющая декларация — не отдельная форма отчетности. Это обычная Декларация ФЛП или Декларация юрлица, где в поле 1 заглавной части стоит отметка «Х» в поле «Уточнююча».
При этом независимо от того, в каком периоде были допущены ошибки, исправления выполняют путем подачи Уточняющей декларации по той форме, которая действует на момент ее подачи (абз. 1 п. 50.1 НКУ).
Обратите внимание! В одной Уточняющей декларации можно исправить ошибку, допущенную только в одной ранее поданной декларации, т. е. за отдельный отчетный период, в котором допущена ошибка, следует подавать отдельную Уточняющую декларацию. Дело в том, что в Уточняющей декларации приводятся правильные данные (т. е. показатели с учетом проведенных исправлений) за уточняемый период.
Что же касается исправления ошибки, допущенной в ранее поданной Уточняющей декларации, то ее исправляют путем подачи еще одной Уточняющей декларации с исправленными показателями за тот же отчетный период.

Внимание! Исправлять ошибки с помощью СПОСОБОВ 2 и 3 следует:
1) с учетом сроков давности, определенных в ст. 102 НКУ, т. е. в течение 1095 дней, следующих за последним днем предельного срока подачи декларации, а если она была подана позднее — за днем ее фактической подачи.
Если же ошибка допущена в Уточняющей декларации, то 1095 дней будет отсчитываться со дня ее подачи в орган Миндоходов;
2) до начала проверки контролерами уточняемого периода.
Важно! Подавать Уточняющие декларации в период документальной проверки нельзя (п. 50.2 НКУ).
Штраф и пеня
Штраф за занижение. В случае если ошибка привела к занижению налогового обязательства, вам придется уплатить штраф. Размер штрафа зависит от способа исправления:
• 3 % — при исправлении через Уточняющую декларацию (СПОСОБ 2). Штраф следует уплатить до подачи такой декларации;
• 5 % — при исправлении через отчетную/новую отчетную декларацию (СПОСОБ 3). На размер штрафа увеличивается общая сумма налога к уплате за отчетный период.
Таким образом, с точки зрения минимизации размера наказания выгоднее исправлять ошибки через Уточняющую декларацию. Кроме того, этот способ поможет исправить ошибку в любое время, например, когда следует «подчистить» огрехи до начала проверки.
В то же время существуют и некоторые негативные моменты: штраф и пеню нужно уплатить до подачи такой декларации. Тогда как при уточнении через текущую декларацию это делается при уплате текущих обязательств.
Если ошибки не привели к занижению, то не имеет принципиального значения, какой способ исправления вы выберете. Хотя если к вам вскоре нагрянут проверяющие, а до окончания отчетного периода еще долго, то уместно исправиться через Уточняющую декларацию.
Напоминаем: при подаче декларации со статусом «звітна нова» штрафы, предусмотренные п. 50.1 НКУ (3 или 5 %), не применяются.
Пеня. Кроме штрафа, в случае занижения налогового обязательства следует также начислить пеню на сумму занижения за весь период занижения. Пеня начисляется на сумму налогового долга (без учета суммы пени) в размере 120 % годовых учетной ставки НБУ, действующей на день занижения (абз. 2 п. 129.4 НКУ).
Внимание! Пеню начисляете и уплачиваете и в случае самоисправления.
Рассчитать размер «самопени» можно, пользуясь такой формулой:
Сп = Сзан х Кзан : Кгод х УС х 1,2,
где Сп — сумма пени;
Сзан — заниженная сумма налогового обязательства. В Декларации ФЛП — это данные стр. 32, а в Декларации юрлица — данные стр. 11 (об этом см. на с. 41 и 46);
Кзан — количество календарных дней занижения.
Внимание! Отсчет количества дней занижения начинается с первого рабочего дня, следующего за днем окончания предельного срока уплаты налогового обязательства по декларации, показатели которой уточняются, до дня (включительно):
• при подаче Уточняющей декларации — фактической уплаты доначисленного обязательства;
• при исправлении в текущей декларации — предельного срока уплаты обязательства по итогам периода, в декларации за который исправляется ошибка;
Кгод — количество дней в календарном году;
УС — учетная ставка НБУ, действовавшая на день занижения налогового обязательства, % (с 13.08.13 г. ее размер составляет 6,5 %, также см. с. 25 номера);
1,2 — коэффициент, позволяющий рассчитать 120 % годовых учетной ставки НБУ.
Уплатить пеню при исправлении через Уточняющую декларацию следует до ее подачи, а если это делать через текущую — не позднее предельного срока уплаты ЕН, отраженного в декларации, в которой отражено исправление.
«Обезвредим» ошибки юрлиц
Способ исправления
Если ошибка привела к занижению и нет возможности исправиться через новую отчетную декларацию (см. с. 39), то с точки зрения минимизации размера штрафа и пени целесообразно использовать второй способ самоисправления — через уточняющую декларацию.
Еще этот способ привлекателен тем, что его можно применить в любой момент, не ожидая окончания текущего квартала, в котором можно задекларировать исправление ошибки.
Тем не менее, выбор — за вами!
«Обезвреживание» через Уточняющую декларацию
Чтобы исправить ошибку, используя Уточняющую декларацию, следует выполнить определенный набор действий.

Таблица 1. Заполнение показателей стр. 10 — 15, стр. 25 — 30 и стр. 37 — 42 Уточняющей декларации
| Код строки | Правила заполнения |
| 1 | 2 |
| 10 | Заполняем только в случае подачи Уточняющей декларации. Указываем сумму ЕН из Уточняемой декларации (из стр. 9, когда заполняете стр. 10, или из стр. 24, когда заполняете стр. 25, или из стр. 36, когда заполняете стр. 37) |
| 11 | Заполняем, если стр. 9 > стр. 10 (стр. 24 > стр. 25 или стр. 36 > стр. 37), т. е. ошибка привела к недоплате ЕН. В этом случае указываем разность стр. 9 - стр. 10, или стр. 24 - стр. 25, или стр. 36 - стр. 37. Если в результате уточнения получите переплату, (т. е. стр. 10 > стр. 9, или стр. 25 > стр. 24, или стр. 36 > стр. 37), то здесь проставляем прочерк (в электронной форме не заполняем). В таком случае заполняется строка 12 (27 и/или 39). Сумму недоплаты нужно уплатить до подачи Уточняющей декларации |
| 12 | Заполняем, если стр. 10 > стр. 9 (стр. 25 > стр. 24 или стр. 37 > стр. 36), т. е. ошибка привела к переплате ЕН. Указываем разность показателей стр. 10 и стр. 9, или стр. 25 и стр. 24, или стр. 37 и стр. 36. Если в результате уточнения получите недоплату (т. е. стр. 9 > стр. 10, или стр. 24 > стр. 25, или стр. 37 > стр. 36), то здесь проставляем прочерк (в электронной форме не заполняем) и заполняется стр. 11, или стр. 26, или стр. 38 |
| 13 | В этой строке указываем размер «самоштрафа». Рассчитываем его путем умножения суммы недоплаты (данные стр. 11 (26 и 38)) на размер штрафа (3 %). Если недоплаты не было, т. е. заполнена стр. 12 (27 и 39), то проставляем прочерк (в электронной форме не заполняем).Сумму штрафа следует уплатить до подачи Уточняющей декларации |
|
| Важно! 1. Эту строку заполняем только тогда, когда ошибки исправляем с помощью Уточняющей декларации и в результате исправления получена недоплата ЕН. 2. Исправляя ошибку через текущую Декларацию, эту строку не заполняйте. 3. Если недоплаты нет, а по результатам исправления получена переплата (заполнена стр. 12 (27 и 39)), в этой строке проставляем прочерк (в электронной форме не заполняем) |
| 14 | При исправлении через Уточняющую декларацию эта строка не заполняется. Ее заполняем только в случае исправления ошибки с помощью отчетной Декларации, когда выявлена недоплата ЕН |
| 15 | Указываем сумму пени, рассчитанной по формуле, приведенной на с. 40. Заполняем только при недоплате ЕН (заполнена стр. 11 (26 и 38)). Если недоплаты нет, а в результате исправления получена переплата ЕН (заполнена стр. 12 (27 и 39)), в этой строке проставляем прочерк (в электронной форме не заполняем). Внимание! Пеню следует уплатить вместе с доначисленным ЕН и начисленным штрафом до подачи Уточняющей декларации |
| Приложения | Графу, где указывается количество приложений для расчета налогового обязательства по налогу за прошлый(е) период(ы), не заполняете, поскольку при исправлении через Уточняющую декларацию приложения не подаются |

«Обезвреживание» через отчетную Декларацию
Алгоритм исправления ошибок, допущенных при исчислении ЕН юрлицом, в текущей декларации несколько отличается от правил исправления через Уточняющую декларацию.
Это отличие заключается в том, что при исправлении ошибки следует также заполнять Расчет налогового обязательства единого налога за уточняемый прошлый период (далее — Расчет ЕН), являющийся приложением к Декларации юрлица. Таким образом, сначала заполняется приложение (приложения, если исправляются ошибки нескольких периодов), в котором определяем результат уточнения и данные из которого переносим в Декларацию юрлица.
Сам механизм исправления ошибки сводится к следующим действиям:


Таблица 2. Заполнение показателей стр. 10 —15, стр. 25 — 30 и стр. 37 — 42 отчетной Декларации юрлица
| Код строки | Правила заполнения |
| 1 | 2 |
| 10 | Указываете прочерк (в электронной форме не заполняем). Дело в том, что эту строку используют только при исправление ошибок через Уточняющую декларацию |
| 11 | Указываем показатель строки 11 Расчета ЕН (недоплата). Внимание! Если одновременно исправляются несколько периодов и прилагаются несколько Расчетов, то здесь приводим сумму строк 11 из всех приложенных к декларации Расчетов ЕН. Порядок заполнения Расчета ЕН приведен на с. 42. Сумму недоплаты следует уплатить вместе с обязательством за текущий месяц одной платежкой — в течение 10 календарных дней после предельного срока подачи Декларации юрлица |
| 12 | Приводим показатель строки 12 Расчета ЕН (переплата). Внимание! Если одновременно исправляются несколько периодов и прилагаются несколько таких Расчетов, то здесь приводим сумму строк 12 из всех приложенных к декларации Расчетов ЕН. Сумму возникшей переплаты можно зачесть в счет будущих платежей или вернуть |
| Примечание! Сумы строк 11 и 12 Расчетов ЕН за все уточняемые периоды не свертываются, а приводятся развернуто. | |
| 13 | При исправлении через текущую Декларацию юрлица эта строка не заполняется. Ее используют только при исправлении через Уточняющую декларацию |
| 14 | В этой строке указываем размер «самоштрафа». Рассчитываем его путем умножения суммы недоплаты (данные стр. 11 (26 и 38)) на размер штрафа (5 %). Важно! 1. Заполняем только в случае, когда исправленная ошибка привила к недоплате ЕН. 2. Если недоплаты не было, т. е. заполнена строка 12 (27 и 39), то проставляете прочерк (в электронной форме не заполняем). 3. Сумму штрафа нужно уплатить вместе с обязательством за текущий месяц одной платежкой — в течение 10 календарных дней после предельного срока подачи Декларации юрлица |
| 15 | Указываем сумму пени, рассчитанной по формуле, приведенной на с. 40. Заполняем только при недоплате ЕН (заполнена стр. 11 (26 и 38)). Если недоплаты нет, а в результате исправления получена переплата ЕН (заполнена строка 12 (27 и 39)), в этой строке проставляем прочерк. Внимание! Пеню следует уплатить вместе с текущим обязательством, рассчитанным в отчетной Декларации юрлица |
| Приложения | Если исправляете ошибку не за один период, т. е. заполняете несколько Расчетов ЕН, то в этой графе следует указать количество Расчетов ЕН, приложенных к отчетной Декларации |

Пример
Единоналожник группы 4 (5 %) за I квартал 2014 года получил доход в сумме 125000,00 грн. и соответственно начислил и уплатил ЕН в сумме 6250,00 грн. 20 июня он обнаружил, что не учел доход в размере 10500,00 грн., из которого не был уплачен ЕН в сумме 525,00 грн.
Предприятие с целью минимизации расходов на уплату штрафа и пени приняло решение исправить ошибку, подав уточняющую Декларацию за I квартал 23 июня 2014 года. Штраф и пеню оно уплатило в день подачи отчета (рис. 1).
Внимание! Размер пени при подаче Уточняющей декларации составил:
Сп = 525,00 грн. х 34 к. дн. : 365 х х 6,5 % х 1,2 = 3,81 (грн.)
Рис. 1. Фрагмент заполнения Уточняющей декларации
«Обезвредим» ошибки ФЛП
Дилемма: исправлять или не исправлять?
Ошибки, допущенные ФЛП в Декларации, условно можно разделить на две категории:
1) ошибки, которые привели к занижению или завышению сумм ЕН, отраженных в Декларации ФЛП. Например, единоналожник группы 3 или 5 неправильно указал в Декларации ФЛП доход, что вылилось в недоплату ЕН.
Внимание! Такие ошибки ФЛП должны исправлять обязательно! Ведь если этим пренебречь, за вас это сделают налоговики.
Порядок исправления таких ошибок зависит от способа исправления: путем подачи Уточняющей декларации (отметка «Х» в графе «уточнююча» поля 1) или путем уточнения данных в текущей декларации (отметка «Х» в графе «звітна» или «звітна нова» в поле 1). В обоих случаях исправление показателей происходит с помощью раздела VIІ «Определение налоговых обязательств в связи с исправлением самостоятельно выявленных ошибок».
Подробно об исправлении ошибок через Уточняющую и отчетную Декларации ФЛП читайте далее;
2) ошибки, которые не приводят к занижению или завышению налоговых обязательств. Речь идет, в частности, о двух видах ошибок:
• неправильное отражение единоналожниками групп 1 и 2 суммы полученного дохода, не превышающего предельно допустимый размер дохода. Например, единоналожник группы 2 в Декларации ФЛП не указал доход в сумме 3000 грн. Но это не повлияло на сумму ЕН, подлежащего уплате в бюджет, поскольку предельный доход в результате такой ошибки превышен не был. А с дохода в пределах разрешенного объема (в 1 млн грн.) ЕН мы уплачиваем в фиксированном размере;
• ошибки, допущенные ФЛП всех групп в шапке декларации, не влияющие на действительность такой декларации, например: неправильно указаны численность работников, фамилия, имя, отчество предпринимателя, адрес проживания и т. п.
Внимание! Ошибки, которые не повлияли на расчеты с бюджетом, вы можете
либо:
1. Исправить. Делать это следует через Уточняющую декларацию. В этом случае в ней необходимо просто заполнить правильно все показатели (размер дохода либо указать правильные реквизиты шапки декларации). При этом раздел, предназначенный для исправления ошибок (раздел VIІ), заполнять не нужно, поскольку данных для его заполнения в таком случае не будет.
А чтобы у налоговиков не возникало дополнительных вопросов по поводу подачи такой Уточняющей декларации, вместе с ней советуем подать пояснительную записку;
либо:
2. Оставить все как есть, т. е. не осуществлять уточнения. Ведь такие ошибки не влияют на размер уплаченного обязательства по ЕН.
Заметим! Незадекларированную сумму дохода в таком случае лучше отразить в Декларации ФЛП, которая будет подана в следующих периодах отчетного года.
Какой из вариантов лучше, решать только вам.
Далее поговорим о способах исправления ошибок, которые привели к завышению или занижению налоговых обязательств.
Исправляем через Уточняющую декларацию
Если вы приняли решение самоисправиться через Уточняющую декларацию, то делать это нужно по следующему алгоритму:

Таблица 3. Заполнение ФЛП показателей раздела VII Декларации ФЛП
| Код строки | Правила заполнения |
| 30 | Указываем неправильно начисленный размер ЕН за уточняемый период. Его переносят из строки 29 Декларации ФЛП за период, за который исправляется ошибка. Важно! ФЛП групп 1 и 2 заполняют эту строку только в случае, когда допущенная ими ошибка привела к уплате ЕН по ставке 15 % |
| 31 | Указываем правильную сумму ЕН, которую нужно было бы уплатить по итогам исправляемого периода. Данные для заполнения этой строки берут из строки 29 Уточняющей декларации |
| 32 | Заполняем, если ошибка привела к занижению налогового обязательства (данные строки 31 > данных строки 30). Здесь отражаем положительное значение разности между размером правильно начисленного налогового обязательства (строка 31) и суммой налогового обязательства отчетного периода, данные которого уточняются (строка 30). Эту сумму следует уплатить до подачи Уточняющей декларации |
| 33 | Заполняем, если ошибка привела к завышению налогового обязательства (данные строки 30 > данных строки 31), т. е. отражаем положительное значение разности между суммой налогового обязательства отчетного периода, данные которого уточняются (строка 30), и суммой исправленного налогового обязательства (строка 31) |
| 34(1) | В этой строке указываем размер штрафа (при исправлении через уточняющую декларацию — «3 %»). Рассчитываем его путем умножения суммы недоплаты в бюджет (данные строки 32) на размер штрафа (3 %). Если недоплаты не было, т. е. заполнена строка 33 этого раздела, то проставляем прочерк (в электронном варианте ничего не ставим). Сумму штрафа следует уплатить до подачи Уточняющей декларации |
| 35(1) | Указываем сумму пени, размер которой рассчитан по формуле, приведенной на с. 40. Если недоплаты не было, т. е. заполнена строка 33 этого раздела, то проставляем прочерк (в электронном варианте ничего не ставим). Пеню следует также уплатить до подачи Уточняющей декларации. |
| (1) Все стоимостные показатели Уточняющей декларации, как и отчетной, ФЛП приводят в гривнях без копеек с округлением по общеустановленным правилам. Поэтому рассчитанный размер штрафа и пени следует также отражать в целых единицах без копеек. | |
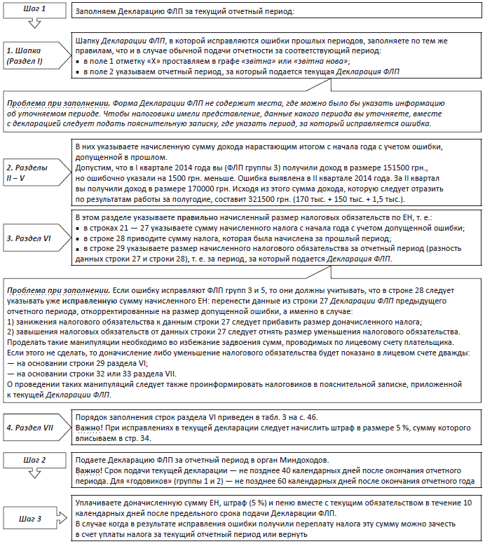
Уточнение через текущую Декларацию
Используя этот способ исправления ошибок, учитывайте: порядок заполнения Декларации ФЛП Миндоходов так и не утвердило, поэтому при исправлении ошибок в текущей декларации у предпринимателей возникает много проблем (подробно о них читайте далее). Поэтому советуем вам «самоисправляться» через Уточняющую декларацию.
Но если вы все-таки решили уточнить данные через текущую декларацию, то делать это нужно по следующей методике.

Пример
Единоналожник группы 3 (5 %) за I квартал 2014 года получил доход в сумме 150000,00 грн., соответственно начислил и уплатил ЕН в сумме 7500,00 грн. 23 июня ФЛП обнаружил, что не учел доход в размере 1500,00 грн., с которого не был уплачен ЕН в сумме 75,00 грн. За ІІ квартал ФЛП получил доход в размере 170000,00 грн.
Предприниматель принял решение исправить ошибку, подав 24 июня 2014 года уточняющую Декларацию ФЛП за I квартал, штраф и пеню уплатил в день подачи отчета (рис. 2).
Внимание! Размер пени при подаче Уточняющей декларации составил:
Сп = 75 грн. х 35 к. дн. : 365 х 6,5 % х 1,2 = 0,56 ≈ 1 (грн.).
Рис. 2. Фрагмент заполнения Уточняющей декларации
