РРО: правила игры-2014
Начало этого года принесло много новшеств в сфере использования РРО. Тут вам и обязательное использование только тех РРО, которые обеспечивают передачу электронной информации в налоговые органы, и обновленные правила использования кассовых аппаратов. Все эти изменения внесли некоторое смятение в правила использования РРО.
Сейчас мы его прогоним.
Сергей ДЕЦЮРА, налоговый эксперт, s.detsyura@id.factor.ua
Организация расчетов
Выбор модели РРО
Необходимость применения РРО предусмотрена Законом об РРО. Согласно его требованиям юрлица (их филиалы, отделения, другие обособленные подразделения), как и ФЛП, осуществляющие операции по расчетам в наличной и/или в безналичной форме (с применением платежных карточек, платежных чеков, жетонов и т. п.) при продаже товаров (предоставлении услуг) в сфере торговли, общественного питания и услуг, должны применять зарегистрированные, опломбированные в установленном порядке и переведенные в фискальный режим работы РРО.
Внимание! В Законе об РРО содержатся исключения из этого правила. Так, в частности:
• в ст. 9 приведен перечень случаев, когда вообще не нужно использовать РРО. Здесь и проведение расчетов в кассе «счастливчиков»-юрлиц из п. 1 ст. 9 (при осуществлении торговли продукцией собственного производства и предоставлении услуг предприятиями, учреждениями и организациями всех форм собственности, кроме предприятий торговли и общественного питания), и расчеты ФЛП-единоналожников всех групп (1 — 3, 5) , и расчеты лиц, являющихся владельцами льготного торгового патента (кроме продажи подакцизных товаров), и т. п.;
• в ст. 10 содержится «спасительная» норма, позволяющая субъектам хозяйствования, которые занимаются видами деятельности, перечисленными в Перечне № 1336, осуществлять расчетные операции без применения РРО, но с использованием РК и КУРО.
Чтобы начать пользоваться РРО, нужно приобрести «правильную» его модель. На сегодняшний день существуют разные по техническим характеристикам и выполняемым функциям модели РРО. Поэтому, выбирая РРО, следует четко понимать, какими функциями он должен обладать. Например, если вы планируете торговать в помещении, то уместно будет приобрести стационарный РРО, а если же торговля происходит в киосках, на рынке или на объектах передвижной торговли, то выгоднее использовать портативный РРО, небольшие размеры которого не будут мешать проведению расчетов и т. п.
Выбирая модель РРО, субъектам хозяйствования необходимо дать ответ на ряд вопросов.
1. Внесена ли выбранная модель РРО в Госреестр РРО и соответствует ли программное обеспечение конструкторско-технологической и программной документации производителя (ст. 12 Закона об РРО)? Если выбранный РРО не внесен в Госреестр РРО или имеются проблемы с программным обеспечением, то использовать его на территории Украины нельзя. При использовании такого РРО в хозяйственной деятельности вас могут привлечь к ответственности, предусмотренной ст. 17, 19 и 24 Закона об РРО, и админответственности согласно ст. 1551 КоАП.
Важно! Все модели РРО, содержащиеся в Госреестре РРО, на сегодняшний день позволяют передавать контрольно-отчетную информацию в налоговые органы по проводным или беспроводным каналам связи* (абз. 2 и 3 п. 7 ст. 3 Закона об РРО). Передача такой информации, как всем известно, происходит через модемы (внешние или встроенные в РРО) в зависимости от модели кассового агрегата. Если РРО передает информацию контролерам через внешний модем, то приобрести его можно как в комплекте с РРО, так и отдельно. Каких-либо особенных требований к модему не установлено. Главное, чтобы модель приобретенного к РРО модема соответствовала модели, указанной в Госреестре РРО.
* Подробно см. консультации в «БН», 2013, № 21, с. 44, № 28, с. 13; 2014, № 2, с. 6.
2. Соответствует ли выбранная модель РРО сфере, где она будет использоваться? Напоминаем, что для реализации отдельных видов товаров нужно использовать соответствующие модели РРО. Информацию об области применения РРО можно найти в графе 8 Госреестра РРО (п. 2 подразд. 2 разд. ІІ Порядка применения РРО). Несоблюдение этого требования может стать причиной принудительного снятия с регистрации РРО.
Кроме того, в случае несоблюдения сферы назначения РРО распечатываемый на нем документ не считается расчетным (п. 2.1 Положения № 614). Это грозит штрафом согласно п. 1 ст. 17 Закона об РРО — до 500 % стоимости проданных товаров, предоставленных услуг.
3. Подлежит ли выбранная модель РРО первичной регистрации в налоговых органах? Чтобы узнать о возможности и сроке первичной регистрации отдельной модели РРО, нужно в Госреестре РРО обратить внимание на то, в какой раздел включен такой РРО.
Модели РРО, разрешенные к первичной регистрации, размещены в I разделе.
4. Какой срок службы РРО* предусмотрен технической документацией (это требование актуально, когда будет приобретаться бывший в употреблении РРО)? В общем случае срок службы РРО должен устанавливаться производителем. Но если производитель этого не сделал, то в таком случае срок составляет 7 лет с момента ввода в эксплуатацию, но не более 9 лет с даты выпуска (п. 1.5 Порядка № 11). Если модель РРО используется дольше этого срока, то она не может считаться РРО для целей Закона об РРО, поэтому ее использование недопустимо и может привести к негативным последствиям (штраф согласно п. 1 ст. 17 Закона об РРО).
* Срок службы РРО – срок, в течение которого производитель (поставщик) гарантирует работоспособность РРО, в том числе комплектующих изделий и его составных частей, сохранность информации в фискальной памяти при условии соблюдения пользователем требований эксплуатационных документов (п. 3 подразд. 1 разд. ІІ Порядка применения РРО).
Правила приобретения РРО
Приобретая РРО, помните: продавец РРО обязан в вашем присутствии (п. 10 Порядка № 601):
• проверить наличие эксплуатационных документов и целостность пломб производителя, соответствие его комплектности эксплуатационным документам;
• сделать запись в паспорте (формуляре) о дате продажи и скрепить ее своей подписью и штампом.
После выполнения таких процедур продавец выдает вам документы, удостоверяющие факт покупки выбранной модели РРО и содержащие перечень ЦСО, которые заключили с производителем (поставщиком) этой модели РРО договор о техническом обслуживании и ремонте.
Еще раз напоминаем: если РРО не имеет встроенного модема для передачи информации о работе РРО в органы Миндоходов, вам придется также приобрести внешний модем, который можно использовать с таким РРО. Модель модема определена в Госреестре РРО.
После приобретения РРО субъект хозяйствования осуществляет его регистрацию в налоговом органе.
Порядок регистрации РРО
Чтобы использовать приобретенный РРО в своей хоздеятельности, вы должны его зарегистрировать. Делать это в общем случае следует в органе Миндоходов по вашему основному месту учета в качестве налогоплательщика.
При этом если вы являетесь плательщиком налога на прибыль (кроме случаев консолидированной уплаты этого налога) и имеете сеть обособленных филиалов (представительств), которые поставлены на налоговый учет в местных органах Миндоходов и самостоятельно уплачивают налог на прибыль, то регистрировать РРО можно по местонахождению обособленных подразделений.
Важная деталь. Если приобретенный РРО вы планируете использовать в хозяйственной единице (магазине, кафе и т. п.), расположенной на иной административной территории, чем субъект хозяйствования, то отдельно ставить такой РРО на учет по месту использования не нужно. На сегодняшний день такое требование в Порядке применения РРО отсутствует. Хотя, как и раньше, существует привязка местонахождения РРО к объекту, в котором он используется. Информацию о том, где вы собираетесь использовать РРО, вы указываете в заявлении на регистрацию РРО.
Перед тем, как регистрировать РРО, следует заключить договор с ЦСО, который входит в перечень ЦСО, заключивших с производителем (поставщиком) РРО договор о техобслуживании и ремонте РРО. Такой перечень вы получаете у продавца РРО (см. с. 38).
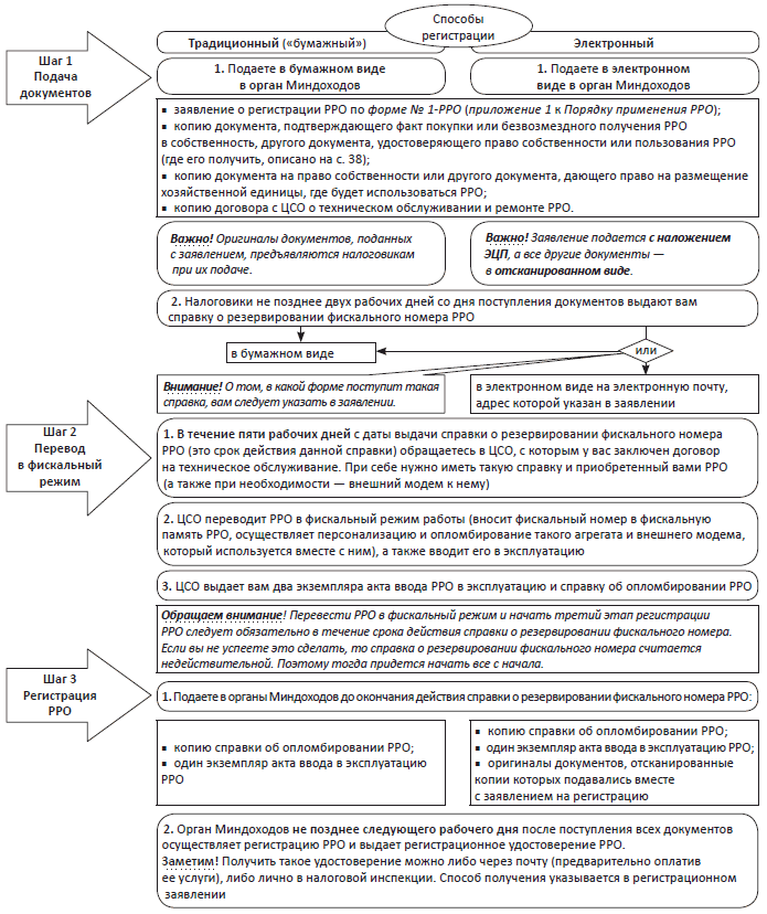
Регистрируют РРО в порядке, определенном в подразд. 2 разд. ІІ Порядка применения РРО (см. рис. 1).

Рис. 1. Алгоритм регистрации РРО
Регистрация КУРО на РРО
На месте продажи субъект хозяйствования, кроме РРО, должен обязательно иметь КУРО, которая будет использоваться вместе с таким РРО. Форма такой КУРО приведена в приложении 1 к Порядку применения КУРО (об уступках налоговиков узнайте из комментария «Регистрируем КУРО в Миндоходов: можно старые, но со «свежими» дописками» // «БН», 2014, № 20, с. 9 ). В этой КУРО будут отражаться данные об осуществленных субъектом хозяйствования за день расчетных операциях. Заполняют ее на основании распечатанных и подклеенных к ней ежедневных отчетов (Z-отчетов).
Предостерегаем: без записи такой информации в КУРО наличные, проведенные через РРО, не считаются оприходованными (нюансы по этому поводу найдете в «БН», 2014, № 21, с. 7).
Чтобы вы могли использовать КУРО, ее следует надлежащим образом зарегистрировать (п. 1 подразд. 1 разд. ІІ Порядка применения КУРО). Осуществлять регистрацию КУРО на РРО согласно требованиям п. 8 подразд. 1 разд. ІІ Порядка применения КУРО нужно одновременно с регистрацией РРО. В то же время, на наш взгляд, сделать это нереально. Дело в том, что в заявлении на регистрацию КУРО (приложение 3 к Порядку регистрации КУРО), которое подают для регистрации КУРО, обязательно следует указать данные об РРО, с которым она должна использоваться, а именно фискальный номер РРО, получаемый только после регистрации РРО (см. с. 39). Поэтому, по нашему мнению, регистрация КУРО происходит не одновременно, а сразу после регистрации РРО.
Регистрировать КУРО следует по месту регистрации РРО (подробнее об этом — на с. 38). Сам процесс регистрации происходит в такой последовательности:
Этап 1. Подготовительный. На этом этапе происходит подготовка КУРО к регистрации, а именно: ответственный работник предприятия:
• прошнуровывает КУРО;
• последовательно пронумеровывает ее страницы;
• устанавливает средства контроля, чтобы исключить возможность расшнуровывания КУРО либо изъятия ее листов без нарушения целостности средства контроля;
• указывает на титульной странице КУРО информацию о субъекте хозяйствования, количество листов, номер установленного средства контроля, данные об РРО, с которым будет использоваться КУРО (модификация, заводской и фискальный номера, версия программного обеспечения). Если с РРО используется внешний модем, то на титульной странице КУРО проставляют также его модель и заводской номер.
Этап 2. Подача документов. После подготовки КУРО работник субъекта хозяйствования подает в органы Миндоходов:
• заявление о регистрации КУРО по ф. № 1-КУРО (приложение 3 к Порядку применения КУРО). Регистрационное заявление подписывается руководителем субъекта хозяйствования либо ФЛП с указанием даты его подачи.
Внимание! Подать заявление можно по выбору в бумажной или в электронной форме. Чтобы подать заявление в электронной форме, необходимо, чтобы вы были включены в систему подачи налоговых документов в электронном виде;
• КУРО, которая будет использоваться с РРО.
Важно! КУРО подаете обязательно в бумажном виде.
Этап 3. Регистрация КУРО. Регистрируют КУРО не позднее 2 рабочих дней со дня получения регистрационного заявления (п. 11 подразд. 1 разд. ІІ Порядка применения КУРО).
О том, что ваша КУРО зарегистрирована, вы можете узнать на веб-портале Миндоходов. Здесь налоговики размещают ежедекадно данные о фискальных номерах зарегистрированных КУРО с указанием наименования субъекта хозяйствования (фамилии, имени, отчества — ФЛП), даты регистрации КУРО (при регистрации первой КУРО она соответствует дате регистрации РРО), а также номера последней КУРО, зарегистрированной таким субъектом хозяйствования (если КУРО регистрируется не впервые).
Если КУРО зарегистрирована, то орган Миндоходов должен выдать вам зарегистрированную КУРО, на титульной странице которой будут «красоваться» фискальный номер КУРО (он состоит из фискального номера РРО и буквы «р») и наименование органа Миндоходов, которым осуществлена регистрация КУРО.
Вместе с КУРО субъект хозяйствования должен зарегистрировать и РК, которую он будет использовать в случае выхода из строя РРО либо отключения электроэнергии. Правила регистрации РК подобны правилам регистрации КУРО.
Сначала необходимо заполнить регистрационную страницу РК, а именно: указать информацию о субъекте хозяйствования и установить средство контроля. После этого РК вместе с заявлением на ее регистрацию подаете в органы Миндоходов одновременно с подачей документов для регистрации КУРО.
Проведение расчетов через РРО
Программирование РРО
Чтобы проводить расчеты через РРО, необходимо сначала запрограммировать РРО (п. 11 ст. 3 Закона об РРО). Программировать нужно только наименование и цену реализуемого товара (услуги). Предпринимать такие действия можно самостоятельно либо с привлечением специалистов ЦСО.
В целом суть программирования сводится к тому, что каждому виду товара, предназначенного для продажи, присваивается код (штрих-код), с помощью которого (при вводе вручную или сканировании с упаковки) можно определить его название и цену для заполнения чека РРО.
Важно! Программировать наименование товара следует так, чтобы название товара отражало его потребительские признаки и давало возможность однозначно его идентифицировать (п. 1 Положения № 614).
Кроме того, программируя РРО, вы должны также наладить надлежащий учет количества реализованных товаров через РРО. Запрограммировать РРО нужно таким образом, чтобы в чеке было отражено количество товара, который был продан покупателю.
Предостерегаем: в случае проведения расчетов через РРО без использования режима предварительного программирования на вас (на предприятие, ФЛП) могут наложить штраф согласно п. 6 ст. 17 Закона об РРО в размере 85 грн. и по ст. 1551 КоАП в следующем размере: на «реализатора» — 34–85 грн., на виновное должностное лицо — 85 – 170 грн.
Алгоритм проведения расчетов
После того как РРО приобретен, зарегистрирован и запрограммирован, его можно смело использовать. «Управлять» РРО при осуществлении кассовых операций будет специально нанятое лицо — кассир. У ФЛП, не использующего наемный труд, эти функции может выполнять сам предприниматель.
Работу кассира на РРО в течение дня можно подразделить на три основных этапа. Операции, выполняемые кассиром, при этом показаны на рис. 2 (с. 42).

Рис. 2. Порядок действий кассира при работе с РРО
Следует помнить! На рабочем месте кассира (т. е. возле РРО) должны находиться (п. 2, п. 6 подразд. 4 разд. ІІ Порядка применения КУРО и п. 4 разд. ІІІ Порядка применения РРО):
• КУРО, зарегистрированная в налоговом органе на РРО, с подклеенными фискальными отчетными чеками (Z-отчетами);
• регистрационное удостоверение на РРО и последняя справка об опломбировании РРО либо их копии.
Также в хозяйственной единице должны храниться:
• последняя надлежащим образом законченная КУРО (это требование не распространяется на транспортные средства, объекты выездной торговли и передвижной торговой сети);
• текущая и последняя использованная расчетные книжки (применявшиеся в период ремонта РРО либо отключения электроэнергии).
Предостерегаем: в случае невыполнения ежедневной распечатки Z-отчета или его несохранности в КУРО вам может грозить штраф в сумме 340 грн. (п. 4 ст. 17 Закона об РРО).
Также не следует забывать о штрафе за нераспечатку контрольной ленты/несоздание ее в электронной форме или ее несохранность в течение 3 лет — 170 грн. (п. 5 ст. 17 Закона об РРО).
Подача отчетности
Субъекты хозяйствования еще с 01.01.13 г. должны были подавать в налоговые органы вместо бумажной электронную отчетность о работе РРО. Делать это планировалось путем передачи копий расчетных документов и фискальных отчетных чеков/информации об объеме расчетных операций или об объеме операций по купле-продаже иностранной валюты, содержащейся в фискальной памяти, по проводным или беспроводным каналам связи* (абз. 2 и 3 п. 7 ст. 3 Закона об РРО).
* Подробнее см. консультации в «БН», 2013, № 21, с. 44, № 26, с. 13, № 28, с. 13.
Однако из-за технической невозможности принимать такую информацию, а также введения ответственности за невыполнение таких требований (штраф в сумме 170 грн.) только с 01.01.14 г. многие до начала текущего года подавали отчетность об использовании РРО в бумажном виде.
Только с начала 2014 года вместо бумажного отчета все (!) субъекты хозяйствования, использующие РРО, должны предоставлять информацию о его работе в электронном виде (рис. 3, с. 43).

Рис. 3. Передача данных в органы Миндоходов по проводным и беспроводным каналам связи
* С 01.01.15 г. именно такую информацию должны будут предоставлять почти все пользователи РРО (об объеме операций «отчитываться» будут только электронные таксометры, автоматы по продаже товаров (услуг) и «валютные» РРО).
Заметим! Передача информации о работе РРО в электронном виде происходит без участия субъекта хозяйствования. Все операции современный кассовый аппарат осуществляет самостоятельно.
Для того чтобы РРО самостоятельно отчитывался за проведенные на нем расчеты, субъект хозяйствования должен не только легализовать свой РРО (зарегистрировать), но и подключить РРО (его модем) через Интернет к эквайеру (естественно, на основании заключенного со своим провайдером договора). Сам механизм передачи информации от РРО в органы Миндоходов изображен на рис. 4 (с. 44)
Как видим, передачу очередной порции отчетной информации инициирует сам РРО, модем обеспечивает соединение РРО с эквайером, который после необходимых проверок и манипуляций в системе хранения и сбора данных РРО (СХСД) передает информацию в систему учета данных РРО (СУД). Если процесс передачи успешно завершен, то в СУД формируется команда, переданная по всей цепочке назад на РРО (и модем), которая позволяет стереть уже переданную порцию информации из памяти модема. При возникновении сбоя на каком-либо участке пути «обиженный» элемент системы, не получивший достоверную порцию отчетной информации (например, эквайер), дает команду предыдущему элементу повторить операцию — вплоть до ее успешного завершения. РРО обеспечивает индикацию состояния процесса передачи. Если в определенный момент передача невозможна вследствие загруженности канала, система выберет другой момент.
Схема I. Передача данных РРО с КЛЭФ

Рис. 4. Схемы передачи информации о работе РРО в электронном виде
Форс-мажорные операции
Сроки работы без РРО
Иногда по не зависящим от субъекта хозяйствования причинам (форс-мажор) приходится осуществлять расчеты без использования РРО. Речь идет о трех случаях:
• отключение электроэнергии;
• поломка РРО;
• отключение Интернета.
При наступлении первых двух форс-мажорных ситуаций проводить расчеты нужно с использованием КУРО и РК или зарегистрированного резервного РРО.
В то же время при возникновении таких форс-мажорных ситуаций нужно учитывать следующее:
1. При отключении электроэнергии пользоваться КУРО и РК можно не более 72 часов или 7 рабочих дней (ст. 5 Закона об РРО). Это ограничение нужно понимать так: использовать КУРО и РК при отключении электроэнергии можно суммарно не более 72 часов, но если эти 72 часа «растягиваются» более чем на 7 рабочих дней, то не больше 7 дней.
Например, торговая точка работает по 8 часов в день. Согласно первому ограничению она может работать 9 дней (72 часа : 8 часов). Но учитывая второе ограничение (7 дней), работать без РРО разрешено только 7 дней (несмотря на то, что 72 часа еще не истекли: 8 часов х 7 дней = 56 часов).
В случае если электроэнергию отключили более чем на 72 часа или 7 дней, необходимо прекратить реализацию товаров (работ, услуг) за наличные до возобновления электроснабжения. В таком случае реализовывать товары можно только по безналичному расчету.
2. При выходе из строя РРО предельный срок, на который следует ориентироваться для использования РК и КУРО (резервного РРО), не установлен. Поэтому, на первый взгляд, в этом случае можно использовать КУРО и РК до тех пор, пока такой РРО не отремонтируют.
Хотя для ЦСО такой срок установлен (ст. 14 Закона об РРО и п. 18 Порядка опломбирования РРО): сервисный центр обязан обеспечивать возобновление работы РРО, вышедшего из строя, в течение 72 часов.
Важно! Налоговики настаивают, что и на этот случай для субъекта хозяйствования распространяется 72-часовое ограничение. Таким образом, после окончания этого времени следует прекратить реализацию товаров (работ, услуг) за наличные.
3. Если же речь идет об отключении Интернета, то сначала (в течение 72 часов или до переполнения памяти модема) никаких особенностей при проведении расчетов не возникает. Таким образом, при исчезновении соединения с Интернетом вы, как и раньше, продолжаете использовать свой РРО в привычном режиме.
В то же время, если соединение с Интернетом отсутствует более 72 часов, или в момент переполнения памяти модема контрольно-отчетной информацией (только для РРО, печатающих бумажную контрольную ленту) проведение расчетов придется приостановить. Дело в том, что при достижении указанных выше пределов работа РРО будет заблокирована (п.п. 3.1.2 Требований № 1057).
Такая блокировка произойдет в связи с тем, что РРО не будет иметь возможности автоматически передать информацию о работе РРО в контролирующие органы. А если информацию передать не удается, то и расчеты осуществлять нельзя.
Когда соединение будет восстановлено и отчетные данные будут переданы, РРО будет разблокирован.
Важно! После установки отремонтированного (резервного) РРО или возобновления поставки электроэнергии необходимо провести через РРО суммы расчетов за время работы с использованием РК, а также в соответствии с контрольной лентой (в случае обнуления оперативной памяти) — за время работы, предшествовавшее выходу РРО из строя или отключению электроэнергии, отдельно по каждой ставке налога на добавленную стоимость, после чего следует выполнить Z-отчет. При необходимости выполняется операция «служебное внесение» на сумму наличных, хранящуюся на месте проведения расчетов.
Следует знать! После возобновления нормальной работы РРО отчетные данные будут переданы в органы Миндоходов в электронном виде. Поэтому никакой необходимости в подаче бумажной РРО-отчетности о работе в «проблемный» период не возникает.
Также налоговики говорят о том, что в упомянутый выше 72-часовой срок действует освобождение от штрафов за неподачу электронной РРО-информации (консультация из категории 109.20 ЗIР Миндоходов).
Расчеты при отключении электроэнергии и выходе из строя РРО
Исчез свет. На период временного, но не более 72 часов (7 рабочих дней) отключения электроэнергии расчеты осуществляются только с использованием КУРО и РК. В этом случае кассир действует в последовательности, показанной на рис. 5 (с. 46).

Рис. 5. Алгоритм действия кассира при отключении электроэнергии
Вышел из строя РРО. При выходе из строя РРО можно осуществлять расчеты двумя способами:
1. С использованием КУРО и РК. Порядок проведения расчетов с использованием КУРО и РК при выходе из строя РРО подобен порядку действий при отключении электроэнергии, но имеет свои особенности. Алгоритм действия кассира приведен на рис. 6 (см. ниже).
2. С использованием соответствующим образом зарегистрированного резервного РРО и КУРО на него. Использование при выходе из строя основного РРО резервного очень удобно, поскольку не требует от кассира использования ручных средств расчета (РК и РКв). Дело в том, что расчеты с покупателями происходят в обычном порядке через резервный РРО. Хотя все равно есть некоторые особенности. В этом случае кассир действует так:
1. После поломки РРО до начала расчетных операций следует подсчитать сумму выручки, находящуюся в ящике РРО (сумму выручки, полученной за день до поломки РРО и отраженной в контрольной ленте, и сумму разменной монеты).
2. Включить резервный РРО (который должен быть надлежащим образом зарегистрирован).
3. Операцией «Служебное внесение» внести сумму наличных, которая переносится в ящик резервного РРО из ящика поломанного РРО.
4. Расчетные операции через резервный РРО проводятся в привычном режиме. Данные из распечатанного Z-отчета вносятся в КУРО, зарегистрированную на резервный РРО.
5. После возобновления работы РРО подсчитать сумму наличных в ящике резервного РРО и с использованием операции «Служебная выдача» передать ее в ящик отремонтированного РРО либо в кассу.
6. Распечатать Z-отчет на резервном РРО, на основании которого заполняется раздел 2 КУРО, зарегистрированной на такой резервный РРО.
7. Операцией «Служебное внесение» внести сумму наличных, перемещаемую из ящика резервного РРО в ящик отремонтированного РРО.
8. Провести расчетные операции через отремонтированный РРО. Z-отчет печатается в обычном режиме (в день возобновления работы — за период с начала проведения первой расчетной операции).
Раздел 4 КУРО заполняют так, как и при использовании РК (см. ниже).

Рис. 6. Алгоритм действия кассира при выходе из строя РРО
Выводы
-
При выборе модели РРО следует ориентироваться на нужды самого субъекта хозяйствования и на раздел I Реестра РРО.
-
Регистрируя РРО, не забывайте о регистрации КУРО и РК, которые будут с ним использоваться в различных форс-мажорных ситуациях: при отключении электроэнергии, поломке РРО.
-
Отчетность о работе РРО подается исключительно в электронном виде. При этом ее подача на сегодняшний день не зависит от субъекта хозяйствования, поскольку кассовый аппарат самостоятельно выполняет все необходимые операции для передачи такой информации контролерам.
-
Передача информации о работе РРО происходит ежедневно. Если по каким-либо причинам (отключен свет, «упал» Интернет и т. п.) передать информацию в электронном виде не удалось, паниковать и подавать бумажную отчетность не нужно. Дело в том, что после исправления всех неполадок РРО самостоятельно осуществит передачу таких данных в органы Миндоходов. Кроме того, наказывать вас за несвоевременную (ежедневную) подачу отчетности не будут.
Документы и сокращения Темы
Закон об РРО — Закон Украины «О применении регистраторов расчетных операций в сфере торговли, общественного питания и услуг» в редакции от 01.06.2000 г. № 1776-III.
Порядок применения РРО — Порядок регистрации и применения регистраторов расчетных операций, применяемых для регистрации расчетных операций за товары (услуги), утвержденный приказом Миндоходов от 28.08.13 г. № 417.
Порядок применения КУРО — Порядок регистрации и ведения расчетных книг, книг учета расчетных операций, утвержденный приказом Миндоходов от 28.08.13 г. № 417.
Положение № 614 — Положение о форме и содержании расчетных документов, утвержденное приказом ГНАУ от 01.12.2000 г. № 614.
Порядок № 11 — Порядок доработки электронных контрольно-кассовых аппаратов, утвержденный решением Государственной комиссии по вопросам внедрения электронных систем и средств контроля и управления товарным и денежным обращением при КМУ от 30.11.99 г. № 11.
Порядок № 601 — Порядок технического обслуживания и ремонта регистраторов расчетных операций, утвержденный постановлением КМУ от 12.05.04 г. № 601.
Порядок № 417 — Порядок опломбирования регистраторов расчетных операций, утвержденный приказом Миндоходов от 28.08.13 г. № 417.
Перечень № 1336 — Перечень отдельных форм и условий проведения деятельности в сфере торговли, общественного питания и услуг, которым разрешено проводить расчетные операции без применения регистраторов расчетных операций с использованием расчетных книг и книг учета расчетных операций, утвержденный постановлением КМУ от 23.08.2000 г. № 1336.
Требования № 1057 — Требования по созданию контрольной ленты в электронной форме в регистраторах расчетных операций и модемах для передачи данных, утвержденные приказом МФУ от 08.10.12 г. № 1057.
Госреестр РРО — ГГосударственный реестр регистраторов расчетных операций, утвержденный приказом Миндоходов от 03.03.14 г. № 169.
РРО — регистратор расчетных операций.
КУРО — книга учета расчетных операций.
РК — расчетная книга.
РКв — расчетная квитанция.
ФЛП — физическое лицо — предприниматель.
