Электронные проверки: «колеса» к новому сервису
Приказ Миндоходов Украины от 31.12.13 г. № 898 «Об утверждении форматов и Порядка подачи документов в электронной форме для проведения электронной проверки»
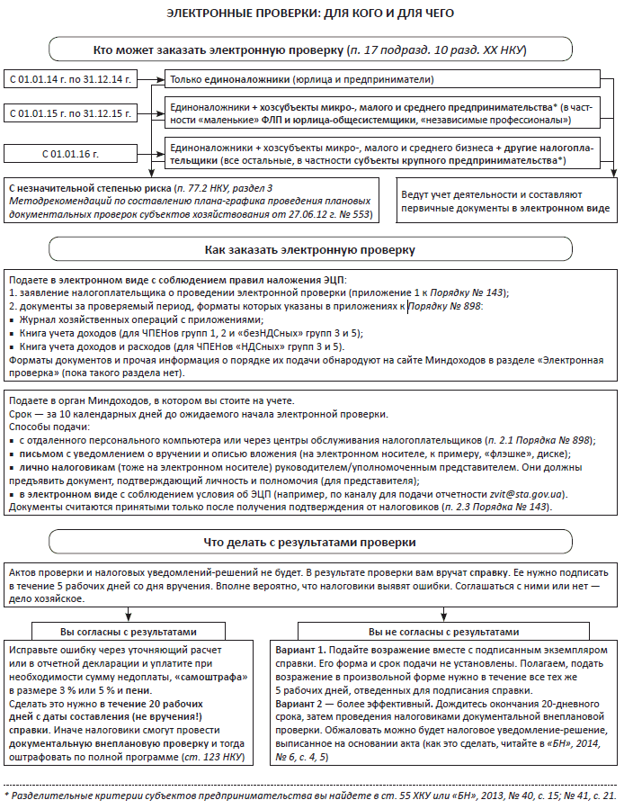
С начала 2014 года налогоплательщикам стал доступен еще один удобный сервис — документальные невыездные внеплановые электронные проверки (далее — электронные проверки)*. Главное, что об этом нужно знать, — электронные проверки являются делом добровольным. Да и к тому же налоговики по их результатам не смогут доначислить налоговые обязательства и оштрафовать. Единственный грозящий штраф — «самоштраф» за исправление ошибки через уточняющую или отчетную декларацию (3 или 5 % // п. 50.1 НКУ). Если, конечно, вы успеете самоисправиться в отведенные сроки и налоговики не постучаться к вам с «реальной» документальной внеплановой проверкой (см. схему на с. 6).
* Такой подарок налогоплательщикам сделал Закон Украины от 20.11.12 г. № 5503-VI // «БН», 2013, № 2, с. 30.
Здесь, как всегда, не обошлось без «но».
Первое «но»: электронные проверки весь 2014 год доступны только единоналожникам (и то не всем — см. схему на с. 6) с последующим ежегодным расширением круга «счастливчиков».
Второе «но»: практическую реализацию процесса тормозили нормативные недоработки. Так, чтобы заказать электронную проверку, нужно подать заявление (п. 75.1.2 НКУ). Его форму и порядок подачи Миндоходов уже утвердило приказом от 03.06.13 г. № 143 («БН», 2013, № 32, с. 14). Второй пункт — подать электронные документы, связанные с исчислением и уплатой налогов и сборов. Утвердить формат и порядок подачи таких документов поручили Миндоходов (п. 85.2 НКУ).
Именно это поручение налоговики и выполнили комментируемым приказом.
Теперь мы знаем, что вместе с заявлением на проведение электронной проверки нужно подать следующие документы за период, который вы предлагаете проверить налоговикам:
• Журнал хозяйственных операций. Причем он предназначен как для юрлиц, так и для физлиц-предпринимателей;
• два приложения к журналу: Справочник видов первичных документов и Справочник классификатора элементов аналитического учета;
• Книгу учета доходов (для ФЛП — единоналожников групп 1 и 2 и «безНДСных» групп 3 и 5) или Книгу учета доходов и расходов (ФЛП — единоналожников групп 3 и 5, уплачивающих НДС).
И сразу вопрос. Заполнение Журнала хозяйственных операций неразрывно связано с ведением бухучета. Но ФЛП, как известно, его не ведут. Как им тогда заполнять этот Журнал?
«Захотят — заполнят», — очевидно так думали авторы комментируемого приказа.
Но тогда уже возникает другой вопрос: зачем это тем же ФЛП на ЕН нужно? Для которых, например, актуален лишь учет доходов. То есть стоит ли «овчинка выделки»?
Думается, не стоит.
Интересно также, что для Книги учета доходов и расходов предпринимателя-общесистемщика места в комментируемом приказе не нашлось**. Хотя для них этот вопрос весь 2014 год не актуален. И возможно, немного позже мы услышим пояснения от налоговиков.
** Напомним, в новый год ФЛП-общесистемщики шагнули с новой формой Книги УРД. Подробнее об этом вы можете прочесть в «БН», 2013, № 42, с. 4; № 43, с. 42; № 46, с. 37; 2014, № 6, с. 39.
Важно! Главные учетные регистры для ФЛП-единоналожников — Книга учета доходов/Книга учета доходов и расходов, утвержденные приказом Минфина от 15.12.11 г. № 1637. К сожалению, пока эти Книги можно вести только в бумажном виде. Но Миндоходов уже подготовило новые формы Книг и порядки их ведения (http://minrd.gov.ua/diyalnist-/regulyatorna-politika-/regulyatorna-politika/2013-rik/125495.html). Эти «новинки», наконец, позволят модернизировать процесс и вести Книги в электронном виде. К тому же в комментируемом приказе приведены уже новые формы единоналожных Книг.
Приказ вступает в силу со дня опубликования (предположительно с 07.03.14 г.). На день подготовки номера не опубликован.
