Неправомерная НСЛ:
  Порядок информирования работодателей новый — правила старые
Приказ Миндоходов Украины от 27.01.14 г. № 86
«Об утверждении Порядка информирования работодателей налогоплательщика о наличии нарушений применения налоговой социальной льготы, лишении налогоплательщика или о восстановлении его права на налоговую социальную льготу и формы Уведомления о наличии нарушений»
Налоговики не дают о себе забыть. Одним из напоминаний может стать Уведомление о нарушении применения налоговой социальной льготы (НСЛ). Форма такого Уведомления и путь его следования от органа Миндоходов к работодателю прописаны в комментируемом Порядке.
Порядок — «творение рук» Миндоходов и практически идентичен аналогичному Порядку, утвержденному приказом Минфина от 07.03.13 г. № 384. Разве что «органы ГНС» заменили на «органы доходов и сборов». Так что процедура уведомления осталась прежней.
Что делать, если вы получили Уведомление? А делать нужно следующее:
• прекратить применять НСЛ к зарплате работника (работников), если он нарушил правила;
• проверить, не допустил ли ошибку бухгалтер при составлении Налогового расчета по ф. № 1ДФ, указав неверную информацию о применении НСЛ.
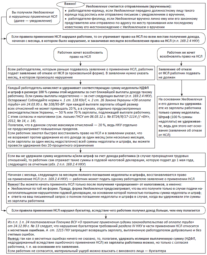
Что делать дальше, вы узнаете из схемы на с. 5.
Для справки. НСЛ можно применять к зарплате работника только по одному месту работы (п.п. 169.2.1 НКУ) и нельзя применять к зарплате, которую он получает в отчетном налоговом месяце одновременно со стипендией, денежным или имущественным (вещевым) обеспечением учащихся, студентов, аспирантов, ординаторов, адъюнктов, военнослужащих, выплачиваемыми из бюджета (п.п. 169.2.3 НКУ).
Приказ вступает в силу со дня опубликования (предположительно — с 14.03.14 г.). На день подготовки номера не опубликован.
НАРУШЕНИЕ ПРАВИЛ ПРИМЕНЕНИЯ НСЛ:   
ПОЛУЧАЕМ   УВЕДОМЛЕНИЕ И ИСПРАВЛЯЕМ ОШИБКУ
  
 
                                    
 
                 
                 
                         
                        