«Кто на новенького?», или Обновленные правила НДС-регистрации в схемах
Наконец! «Отставшие от жизни» правила НДС-регистрации налоговики «подтянули» до актуальных в настоящий момент норм НКУ. Приказом Миндоходов Украины от 16.01.14 г. № 26 переутверждено Положение о регистрации плательщиков НДС.
Статью-комментарий с анализом изменений (с. 12) вы наверняка уже прочитали. Здесь же обновленные правила вы сможете увидеть своими глазами в виде простых графических иллюстраций. А на с. 27 — 30 найдете «экспресс-пояснения» по наиболее востребованным вопросам НДС-регистрации.
Сергей ДЕЦЮРА, налоговый эксперт, s.detsyura@id.factor.ua
Что нового?
Итак, что мы имели?
«Устаревшее» Положение о регистрации плательщиков налога на добавленную стоимость, утвержденное приказом Минфина от 07.11.11 г. № 1394.
Что имеем теперь?
Положение о регистрации плательщиков налога на добавленную стоимость, утвержденное приказом Миндоходов от 16.01.14 г. № 26. Старый минфиновский документ утратил силу.
В новом Положении нашли свое отражение все значимые новшества: порядок предоставления извлечений и справок из такого реестра, механизм добровольной регистрации в качестве плательщика НДС без наличия каких-либо объемов налогооблагаемых операций, а также при регистрации бизнеса и т. п.
Положение имеет большой объем. Работать с ним достаточно неудобно. Поэтому, чтобы вы имели возможность рассмотреть все нужное вам буквально за секунды, в этой публикации в виде схем-рисунков проиллюстрируем обновленные правила регистрации плательщиков НДС. При- ведем:
• перечень лиц, которые могут быть плательщиками НДС (рис. 1);
• общие правила регистрации в качестве плательщика НДС (рис. 2, с. 20);
• правила регистрации в качестве плательщиков НДС единоналожников (рис. 3, с. 21);
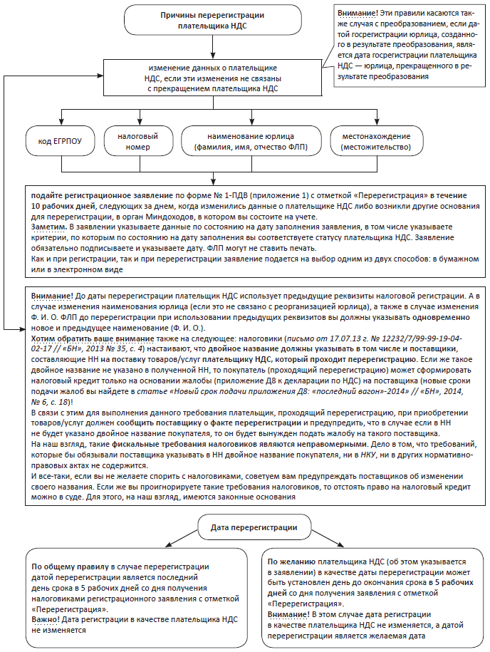
• порядок перерегистрации плательщика НДС (рис. 4, с. 22);
• правила аннулирования регистрации плательщика НДС (рис. 5, с. 23);
• порядок регистрации в качестве плательщика спецрежима по НДС (рис. 6, с. 24);
• механизм аннулирования регистрации плательщиков спецрежима по НДС (рис. 7, с. 25);
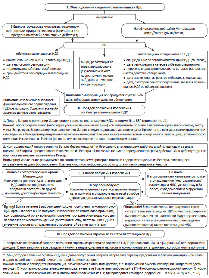
• алгоритм получения извлечений и справок из реестра плательщиков НДС (рис. 8, с. 26).

Рис. 1. Плательщики НДС

Рис. 2. Общие правила регистрации в качестве плательщика НДС

Рис. 3. Правила регистрации единоналожников в качестве плательщиков НДС

Рис. 4. Перерегистрация плательщика НДС: как это происходит?

Рис. 5. Аннулирование регистрации плательщика НДС: алгоритм проведения

Рис. 6. Порядок регистрация в качестве плательщика спецрежима по НДС

Рис. 7. Аннулирование регистрации плательщиков спецрежима по НДС

Рис. 8. Порядок получения извлечений и справок из реестра плательщиков НДС
