«Хто на новенького?», або Оновлені правила ПДВ-реєстрації у схемах
Нарешті! «Відсталі від життя» правила ПДВ-реєстрації податківці «підтягнули» до акутальних нині норм ПКУ. Наказом Міндоходів України від 16.01.14 р. № 26 перезатверджено Положення про реєстрацію платників ПДВ.
Статтю-коментар з аналізом змін (с. 12) ви напевно вже прочитали. Тут же оновлені правила ви зможете побачити на власні очі у вигляді простих графічних ілюстрацій. А на сторінках 27-30 знайдете «експрес-пояснення» щодо найбільш актуальних питань ПДВ-реєстрації.
Сергій ДЕЦЮРА, податковий експерт, s.detsyura@id.factor.ua
Що нового?
Тож що ми мали?
«Застаріле» Положення про реєстрацію платників податку на додану вартість, затверджене наказом Мінфіну від 07.11.11 р. № 1394.
Що маємо тепер?
Положення про реєстрацію платників податку на додану вартість, затверджене наказом Міндоходів від 16.01.14 р. № 26. Старий мінфінівський документ втратив чинність.
У новому Положенні знайшли своє відображення всі значимі нововведення: порядок надання витягу та довідок із такого реєстру, механізм добровільної реєстрації платником ПДВ без наявності будь-яких обсягів оподатковуваних операцій, а також під час реєстрації бізнесу тощо.
Положення має великий об’єм. Процювати з ним досить незручно. Тож щоб ви мали змогу «угледіти» все вам потрібне за секунди, у цій публікації у вигляді схем-малюнків проілюструємо оновлені правила реєстрації платників ПДВ. А саме наведемо:
— перелік осіб, які можуть бути платником ПДВ (рис. 1);
— загальні правила реєстрації платником ПДВ (рис. 2, с. 20);
— правила реєстрації платником ПДВ єдиноподатників (рис. 3, с. 21);
— порядок перереєстрації платника ПДВ (рис. 4, с. 22);
— правила анулювання реєстрації платника ПДВ (рис. 5, с. 23);
— порядок реєстрації платником спецрежиму з ПДВ (рис. 6, с. 24);
— механізм анулювання реєстрації платників спецрежиму з ПДВ (рис. 7, с. 25);
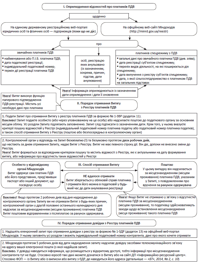
— алгоритм отримання витягів і довідок з реєстру платників ПДВ (рис. 8, с. 26).

Рис. 1. Платники ПДВ

Рис. 2. Загальні правила реєстрації платником ПДВ

Рис. 3. Правила реєстрації єдиноподатника платником ПДВ

Рис. 4. Перереєстрація платника ПДВ: як це відбувається?

Рис. 5. Анулювання реєстрації платника ПДВ: алгоритм проведення

Рис. 6. Порядок реєстрації платником спецрежиму з ПДВ

Рис. 7. Анулювання реєстрації платників спецрежиму з ПДВ

Рис. 8. Порядок отримання витягів і довідок з реєстру платників ПДВ
