КМУ немного подкорректировал Порядок компенсации работодателям расходов в размере единого взноса на общеобязательное государственное социальное страхование, утвержденный постановлением КМУ от 15.04.13 г. № 347 (далее — Порядок № 347). Напомним, речь идет о компенсации за трудоустройство зарегистрированных безработных на новые рабочие места.
Что же изменилось?
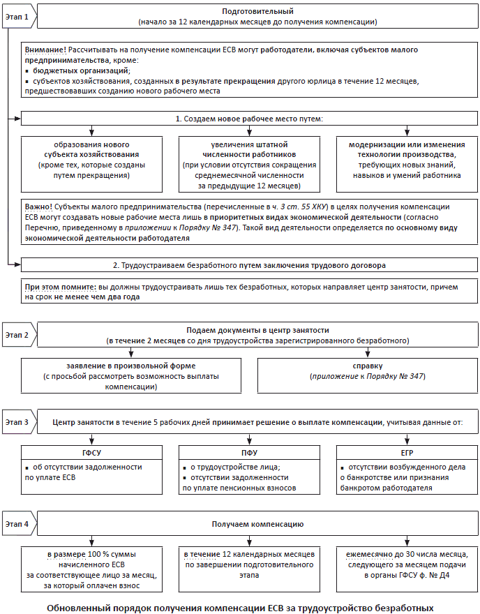
1. Действие Порядка № 347 теперь не распространяется на бюджетные учреждения.
2. Мало трудоустроить безработного на новое рабочее место в приоритетном виде экономической деятельности. Нужно, чтобы у работодателя такой (приоритетный) вид деятельности был основным видом деятельности, по которому ему устанавливается размер ЕСВ. К слову, перечень приоритетных видов деятельности изложен в новой редакции (приложение к Порядку № 347).
Внимание. Такое нововведение касается лишь субъектов малого предпринимательства. Именно для них действует «приоритетная» особенность.
3. Рабочие места, которые созданы путем образования нового субъекта хозяйствования (кроме тех, которые образованы путем прекращения), будут считаться новыми лишь в течение 12 месяцев с момента образования нового предприятия.
4. Указано, что под увеличением штатной численности в отчетном периоде (для тех работодателей, которые для создания новых рабочих мест выбрали такой путь) следует понимать:
• юрлицам — увеличение состава работников, которые приняты на условиях трудового договора, по сравнению с предыдущим отчетным периодом. Но с условием — что количество вакансий остается неизменным или же увеличивается;
• ФЛП и самозанятым лицам — увеличение численности наемных работников, работающих на условиях зарегистрированных трудовых договоров (за исключением срочных).
При этом главным условием признания новым рабочего места, созданного путем увеличения штатной численности работников, является отсутствие сокращения среднемесячной численности за предыдущие 12 месяцев.
Внимание! Для того, чтобы подтвердить выполнение данного требования, необходимо сравнить среднесписочную численность работников за месяц, в котором создано новое рабочее место, со средним значением среднесписочной численности работников за 12 месяцев, предшествующих месяцу создания нового рабочего места.
Напомним, что такой показатель определяют согласно Инструкции по статистике количества работников, утвержденной приказом Госкомстата от 28.09.05 г. № 286. А в отчетности отражают в таблице 1 формы № Д4 (подробнее см. «БН», 2013, № 5, с. 24).
5. Установлен новый срок получения работодателем компенсации ЕСВ.
Теперь центр занятости будет перечислять средства на счет работодателя не до 30 числа следующего за отчетным месяца (как было раньше), а до 30 числа месяца, следующего за месяцем предоставления в органы ГФСУ месячного отчета по ф. № Д4. Да еще при условии подтверждения данных Государственного реестра общеобязательного государственного социального страхования относительно зарплаты работника, с которой уплачен единый взнос.
6. Изменена форма справки, подаваемой работодателем после трудоустройства безработного на новое рабочее место. Ее просто дополнили данными о проценте ЕСВ, который начисляет работодатель.
7. Претерпел изменения и Перечень приоритетных видов экономической деятельности для создания новых рабочих мест субъектами малого предпринимательства (далее — Перечень). Его дополнили такие виды деятельности, как медицинская и стоматологическая практика, производство одежды, выращивание семечковых и косточковых фруктов и т. д.
Для большей наглядности «обновленный» порядок получения компенсации ЕСВ мы отразили на рисунке на с. 6.
Комментируемое постановление вступает в силу со дня его официального опубликования.

