КМУ трохи підкоригував Порядок компенсації роботодавцям витрат у розмірі єдиного внеску на загальнообов’язкове державне соціальне страхування, затверджений постановою КМУ від 15.04.13 р. № 347 (далі — Порядок № 347). Нагадаємо: ідеться про компенсацію за працевлаштування зареєстрованих безробітних на нові робочі місця.
Що ж змінилося?
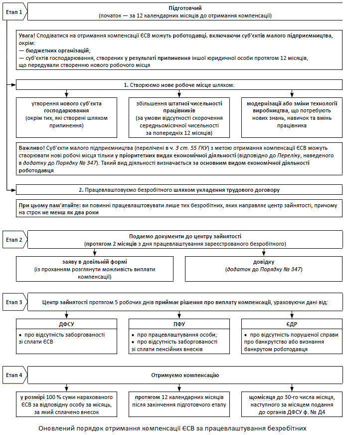
1. Дія Порядку № 347 тепер не поширюється на бюджетні установи.
2. Мало працевлаштувати безробітного на нове робоче місце у пріоритетному виді економічної діяльності. Потрібно, щоб у роботодавця такий (пріоритетний) вид діяльності був основним видом діяльності, на підставі якого йому встановлюється розмір ЄСВ. До речі, перелік пріоритетних видів діяльності викладено в новій редакції (додаток до Порядку № 347).
Увага! Таке нововведення стосується тільки суб’єктів малого підприємництва. Саме для них діє «пріоритетна» особливість.
3. Робочі місця, створені шляхом утворення нового суб’єкта господарювання (окрім тих, які створені шляхом припинення), вважатимуться новими тільки протягом 12 місяців з моменту створення нового підприємства.
4. Зазначено, що під збільшенням штатної чисельності у звітному періоді (для тих роботодавців, які для створення нових робочих місць обрали такий шлях) потрібно розуміти:
• юридичним особам — збільшення складу працівників, яких прийнято на умовах трудового договору, порівняно з попереднім звітним періодом. Але за умови, що кількість вакансій залишається незмінною або збільшується;
• ФОП та самозайнятим особам — збільшення чисельності найманих працівників, які працюють на умовах зареєстрованих трудових договорів (за винятком строкових).
При цьому головною умовою визнання новим робочого місця, створеного шляхом збільшення штатної чисельності працівників, є відсутність скорочення середньомісячної чисельності за попередні 12 місяців.
Увага! Для того щоб підтвердити виконання цієї вимоги, необхідно порівняти середньоспискову чисельність працівників за місяць, в якому створено нове робоче місце, із середнім значенням середньоспискової чисельності працівників за 12 місяців, що передують місяцю створення нового робочого місця.
Нагадаємо, що такий показник визначають згідно з Інструкцією зі статистики кількості працівників, затвердженою наказом Держкомстату від 28.09.05 р. № 286. А у звітності відображають у таблиці 1 форми № Д4 (докладніше див. «БТ», 2013, № 5, с. 24).
5. Установлено новий строк отримання роботодавцем компенсації ЄСВ.
Тепер центр зайнятості буде перераховувати кошти на рахунок роботодавця не до 30-го числа наступного за звітним місяця (як було раніше), а до 30-го числа місяця, наступного за місяцем подання до органів ДФСУ місячного звіту за ф. № Д4. Та ще й за умови підтвердження даних Державного реєстру загальнообов’язкового державного соціального страхування щодо зарплати працівника, з якої сплачений єдиний внесок.
6. Змінено форму довідки, що подається роботодавцем після працевлаштування безробітного на нове робоче місце. Її просто доповнили даними про відсоток ЄСВ, що нараховується роботодавцем.
7. Зазнав зміни і Перелік пріоритетних видів економічної діяльності для створення нових робочих місць суб’єктами малого підприємництва (далі — Перелік). Його доповнили такими видами діяльності, як медична і стоматологічна практика, виробництво одягу, вирощування насіннєвих та кісточкових фруктів тощо.
Для більшої наочності оновлений порядок отримання компенсації ЄСВ ми відобразили на рисунку на с. 6.
Постанова, що коментується, набирає чинності з дня свого офіційного опублікування.

