Покупаем РРО
Рынок кассовых аппаратов сегодня изобилует разнообразными моделями и модификациями, которые различаются техническими характеристиками и выполняемыми функциями. Поэтому субъекту хозяйствования не составит труда подобрать аппарат, который подойдет ему больше всего. Единственное, что нужно учесть, — это финансовые возможности, способ торговли (стационарный или передвижной), включена ли модель в Госреестр (см. табл. 1 и 2).
Таблица 1. Как выбрать РРО
Шаг 1. Определяемся, какой нужен РРО: стационарный или портативный | Если вы планируете торговать в помещении, то нужно выбрать стационарный РРО, подходящий именно вам. А если торговля происходит не в стационарном помещении, например, товары доставляет курьер, то вам подойдет только портативный РРО |
Шаг 2. Выясняем, соответствует ли выбранная модель основным требованиям к РРО | Законодатель выдвигает ряд требований, которым должен соответствовать используемый РРО. Основные требования к используемому РРО такие: 1) модель должна быть включена в Государственный реестр РРО (далее — Госреестр) (подробнее см. ниже); 2) модель РРО должна обеспечивать передачу контрольно-отчетной информации органу ГФСУ в электронном виде; 3) модель РРО должна соответствовать установленным фискальным и техническим требованиям; 4) выбранная модель РРО должна соответствовать сфере, где ее будут использовать; 5) не истек срок службы РРО |
Таблица 2. Как проверить наличие модели РРО в Госреестре
Вопрос | Ответ |
Что представляет собой Госреестр? | Это перечень моделей РРО и их модификаций, которые ( ст. 2 Закона об РРО): • имеют подтверждение соответствия требованиям действующих государственных технических регламентов и стандартов согласно Закону № 2406; • отвечают требованиям нормативных актов Украины; • разрешены для применения в соответствующей сфере |
Из чего состоит Госреестр? | В нем вы найдете два раздела: в первом указаны модели РРО, разрешенные к первичной регистрации в органах ГФСУ. Во втором — модели, которые регистрировать запрещено. РРО из раздела II можно использовать, если они были зарегистрированы до того, как перекочевали из раздела I в раздел II Госреестра. Но только до тех пор, пока они не будут исключены и из раздела II. Зарегистрировать РРО, не указанный в разделе I действующего Госреестра, нельзя ( п. 2 разд. II Порядка № 417-1) |
Какую информацию можно найти в Госреестре? | В него внесены такие сведения о моделях и их модификациях: • название; • версия внутреннего программного обеспечения; • наименование и местонахождение заявителя и производителя; • срок первичной регистрации в органах ГФСУ; • дата и номер решения о включении в Госреестр; • сфера применения. На сегодняшний день действующим является Госреестр, утвержденный приказом ГФСУ от 27.04.15 г. № 302. Найти его можно по ссылке http://sfs.gov.ua/dovidniki--reestri--perelik/reestri/94957.html (наш комментарий к новой «версии» Госреестра см. в «БН», 2015, № 18-19, с. 6) |
Что делать, если РРО был включен в Госреестр, но потом стал запрещен к использованию? | Госреестр довольно часто обновляется. И может случиться так, что из нового Госреестра используемый вами РРО был исключен (его нет ни в разделе I, ни в разделе II), т. е. стал запрещенным к использованию. Придется заменить устаревший РРО на другой, разрешенный к первичной регистрации аппарат. Если вы этого не сделаете — вероятны штрафы |
Что представляет собой срок первичной регистрации модели в ГФСУ? | В графе 6 раздела I таблицы Госреестра указан срок первичной регистрации модели в ГФСУ. Это предельный срок, до окончания которого принимаются к регистрации новые РРО, которые еще не были в эксплуатации. В новом Госреестре он может быть продлен. Если же этого не произойдет, после завершения указанного срока соответствующая модель РРО переместится в раздел II Госреестра или же будет вовсе исключена из Госреестра. В обоих случаях зарегистрировать ее в органах ГФСУ будет невозможно |
Как выбрать РРО, который способен передавать контрольно-отчетную информацию в электронном виде? | Согласно п. 7 ст. 3 Закона об РРО субъекты хозяйствования, использующие РРО (кроме электронных таксометров, автоматов по продаже товаров (услуг) и РРО для купли-продажи инвалюты)*, обязаны предоставлять электронные копии расчетных документов и фискальных отчетных чеков РРО в органы ГФСУ по проводным или беспроводным каналам связи. Таким образом, РРО должен обеспечить выполнение этих функций. Чтобы не попасть впросак, нужно ориентироваться исключительно на действующий Госреестр. В нем указаны только те модели, которые способны передавать контрольно-отчетную информацию в ГФСУ в электронном виде. Если вы приобретете РРО, не наделенный такой способностью (не указанный в Госреестре), орган ГФСУ его попросту не зарегистрирует |
Как выбрать модель, которая бы соответствовала сфере ее использования? | Действительно, не все модели, приведенные в Госреестре, подойдут для использования в той сфере деятельности, которую осуществляет ваше предприятие. Но не стоит переживать. Госреестр сам дает подсказки, в какой сфере можно использовать каждую модель РРО (графа 8 таблицы Госреестра). Большинство из них пригодны одновременно для торговли, общественного питания и сферы услуг. Отдельной группой «Специализированные электронные контрольно-кассовые аппараты для автозаправочных станций (АЗС)» идут РРО, которые, помимо торговли, общепита и сферы услуг, можно использовать и на автозаправочных станциях. Есть в Госреестре также аппараты, предназначенные для более узкой сферы применения (например, РРО модели СПЕККА-00 можно применять только в сфере услуг). Если субъект хозяйствования использует РРО в не соответствующей ему сфере, документы, выдаваемые таким РРО, не считаются расчетными ( п. 2.1 Положения № 614). Поэтому будьте крайне внимательны при выборе модели РРО |
Как определяется срок службы РРО? | Срок службы РРО устанавливает производитель. Это срок, в течение которого производитель (поставщик) гарантирует работоспособность РРО, в том числе комплектующих изделий и его составных частей, сохранность информации в фискальной памяти при условии соблюдения пользователем требований эксплуатационных документов ( п. 3 разд. I Порядка № 417-1). Если такой срок производителем (поставщиком) не установлен, он будет составлять 7 лет с момента ввода РРО в эксплуатацию, но не более 9 лет с даты его выпуска (разъяснение в категории 109.11 ЗIР ГФСУ). Кроме того, такой же срок службы необходимо применять и в случае, когда срок службы, установленный производителем (поставщиком), превышает 9 лет (разъяснение в категории 109.11 ЗIР ГФСУ). Предполагается, что после истечения 9-летнего срока службы повышается риск выхода РРО из строя и, соответственно, потери информации, содержащейся в фискальной памяти такого аппарата. Поэтому использовать РРО дольше 9 лет с даты его выпуска нельзя. По истечении срока службы РРО его регистрация отменяется. Все это нужно учесть при покупке б/у аппаратов |
* Эти аппараты должны уметь передавать органам ГФСУ по проводным или беспроводным каналам связи только информацию об объеме расчетных операций. | |
Передача контрольно-отчетной информации
С 01.01.15 г. все РРО (кроме электронных таксометров, автоматов по продаже товаров (услуг) и РРО по инвалюте) должны обеспечивать передачу налоговикам электронных копий расчетных документов и фискальных отчетных чеков, содержащихся на контрольной ленте. Более того, с этой даты первичной регистрации подлежат только те РРО, которые создают контрольную ленту в электронном виде (а также электронные таксометры, торговые автоматы, РРО по инвалюте).
Обратите внимание: передача информации о работе РРО в электронном виде происходит без участия субъекта хозяйствования. Все операции современный кассовый аппарат осуществляет самостоятельно.
Для того чтобы РРО самостоятельно отчитывался за проведенные на нем расчеты, нужно не только легализовать свой РРО (зарегистрировать), но и подключить РРО (его модем) через Интернет к эквайеру (естественно, на основании заключенного со своим провайдером договора).
Упрощенно предоставление органам ГФСУ контрольно-отчетной информации в электронном виде выглядит так:
1. Передачу очередной порции отчетной информации инициирует сам РРО.
2. Набор данных средствами модуля безопасности SAM защищается от подмены, модификации и просмотра.
3. Модем обеспечивает соединение РРО с эквайером и передает защищенный набор данных.
4. Эквайер после необходимых проверок передает информацию в систему учета данных РРО (далее — СУД). Информация хранится в базе данных эквайера до получения подтверждения от СУД об успешном приеме данных.
5. Эквайер направляет РРО (или модему) подтверждение о получении и успешном сохранении набора данных.
6. РРО принимает подтверждение и сохраняет его.
7. Если процесс передачи успешно завершен, то в СУД формируется набор команд, которые передаются по всей цепочке назад на РРО (модем).
При возникновении сбоя на каком-либо участке пути «обиженный» элемент системы, не получивший достоверную порцию отчетной информации (например, эквайер), дает команду предыдущему элементу повторить операцию — вплоть до ее успешного завершения. РРО обеспечивает индикацию состояния процесса передачи. Если в определенный момент передача невозможна вследствие загруженности канала, система выберет для этого другое время.
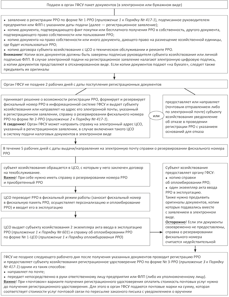
Регистрируем РРО
Первое, что нужно сделать после приобретения РРО, — заключить договор с центром сервисного обслуживания (далее — ЦСО). Без этого поставить РРО на учет вы не сможете. ЦСО — это субъект хозяйствования, который по договору с поставщиком предоставляет услуги по вводу в эксплуатацию, техническому обслуживанию, гарантийному и послегарантийному ремонту РРО. Он станет вашим помощником на многие годы, поэтому подойдите к его выбору ответственно. Помните: заключать договор следует только с тем ЦСО, который входит в перечень ЦСО, заключивших с производителем (поставщиком) РРО договор о техническом обслуживании и ремонте соответствующей модели РРО. Такой перечень субъект хозяйствования получает во время приобретения РРО от продавца.
Общий порядок действий, которые нужно предпринять при регистрации РРО, представим на схеме (см. на с. 26).

Общий порядок регистрации РРО
Документы Шпаргалки бухгалтера
Закон № 2406—Закон Украины «О подтверждении соответствия» от 17.05.01 г. № 2406-III.
Порядок № 417-1—Порядок регистрации и применения регистраторов расчетных операций, применяемых для регистрации расчетных операций за товары (услуги), утвержденный приказом Министерства доходов и сборов Украины от 28.08.2013 г. № 417.
Положение № 614—Положение о форме и содержании расчетных документов, утвержденное приказом Государственной налоговой администрации Украины от 01.12.2000 г. № 614.
Порядок № 601—Порядок технического обслуживания и ремонта регистраторов расчетных операций, утвержденный постановлением Кабинета Министров Украины от 12.05.2004 г. № 601.
Порядок опломбирования РРО—Порядок опломбирования регистраторов расчетных операций, утвержденный приказом Министерства доходов и сборов Украины от 28.08.2013 г. № 417.
