Большинство обязанностей бухгалтер по зарплате выполняет без напоминания (настолько они являются привычными и каждодневными). А вот годовой перерасчет зарплаты и НДФЛ ему приходится делать не настолько часто. Освежить в памяти алгоритм годового перерасчета — наша задача.
Итак, давайте вспомним его основные моменты*.
* Подробнее о проведении годового перерасчета читайте в «ОТ», 2013, № 23, с. 14.
Законодатель обязал всех работодателей проводить годовой перерасчет зарплаты и НДФЛ в последний месяц налогового года. То есть за 2014 год такой перерасчет необходимо провести в декабре.
Цель перерасчета — работодатель проверяет, правильно ли он удерживал в каждом месяце НДФЛ с зарплаты.
Правила перерасчета НДФЛ установлены п. 169.4 НКУ, хотя конкретный алгоритм его проведения в нем не прописан ☹. Остается лишь опираться на разъяснения налоговиков.
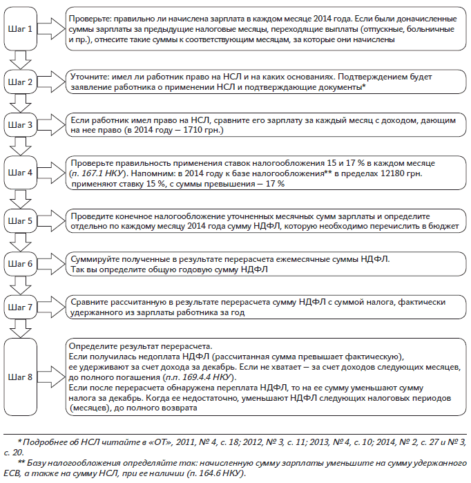
Напомним агоритм перерасчета (см. схему на с. 23).
Важно! Перерасчету подлежат только те выплаты, которые в понимании НКУ относятся к заработной плате.
Понять какие именно виды выплат относят к зарплате, — поможет Инструкция № 5. Кроме того, в целях удержания НДФЛ к зарплате приравнивают и больничные (абзац третий п.п. 169.4.1 НКУ).
Закрепить полученную информацию поможет условный числовой пример.
Пример. Работнику организации (налоговый номер — 2888888888) установлен должностной оклад в размере 1700,00 грн. Он имеет право на обычную НСЛ — 609,00 грн. С 7 июля по 5 августа 2014 года работник находился в отпуске продолжительностью 30 календарных дней. Отпускные общей суммой были выплачены в июле 2014 года. Сумма отпускных составила 1749,30 грн., в том числе за дни отпуска, приходящиеся на июль, — 1457,75 грн., за дни отпуска, приходящиеся на август, — 291,55 грн. Кроме этого, в октябре 2014 года была ошибочно начислена зарплата в большем размере (1800,00 грн. вместо 1700,00 грн.). Сумму излишне начисленной зарплаты (100 грн.) удержали в ноябре. В декабре 2014 года работнику выплатили премию в размере 300,00 грн.
Представим результаты перерасчета в таблице.
| Расчетный период 2014 года | Фактические суммы | Суммы в результате перерасчета | Сумма НДФЛ, подлежащая доудержанию, грн. | ||||||
| начисленной зарплаты, грн. | удержанного ЕСВ (3,6 %), грн. | НСЛ, грн. | НДФЛ, грн. | уточненной зарплаты, грн. | удержанного ЕСВ (3,6 %), грн. | НСЛ, грн. | НДФЛ, грн. | ||
| 1 | 2 | 3 | 4 | 5 | 6 | 7 | 8 | 9 | 10 |
| Январь | 1700,00 | 61,20 | 609,00 | 154,47 | 1700,00 | 61,20 | 609,00 | 154,47 | — |
| Февраль | 1700,00 | 61,20 | 609,00 | 154,47 | 1700,00 | 61,20 | 609,00 | 154,47 | — |
| Март | 1700,00 | 61,20 | 609,00 | 154,47 | 1700,00 | 61,20 | 609,00 | 154,47 | — |
| Апрель | 1700,00 | 61,20 | 609,00 | 154,47 | 1700,00 | 61,20 | 609,00 | 154,47 | — |
| Май | 1700,00 | 61,20 | 609,00 | 154,47 | 1700,00 | 61,20 | 609,00 | 154,47 | — |
| Июнь | 1700,00 | 61,20 | 609,00 | 154,47 | 1700,00 | 61,20 | 609,00 | 154,47 | — |
| Июль | 2044,95* | 73,62 | — | 295,70 | 1753,40 | 63,12 | — | 253,54 | -42,16 |
| Август | 1445,00* | 52,02 | 609,00 | 117,60 | 1736,55 | 62,52 | — | 251,10 | 133,50 |
| Сентябрь | 1700,00 | 61,20 | 609,00 | 154,47 | 1700,00 | 61,20 | 609,00 | 154,47 | — |
| Октябрь | 1800,00 | 64,80 | — | 260,28 | 1700,00 | 61,20 | 609,00 | 154,47 | -105,81 |
| Ноябрь | 1600,00 | 57,60 | 609,00 | 140,01 | 1700,00 | 61,20 | 609,00 | 154,47 | 14,46 |
| Декабрь | 2000,00 | 72,00 | — | 289,20 | 2000,00 | 72,00 | — | 289,20 | — |
| Итого | 20789,95 | 748,44 | — | 2184,08 | 20789,95 | 748,44 | — | 2184,07 | -0,01 |
| *Сумма зарплаты за отработанное рабочее время в июле 2014 года составила 295,65 грн. (1700,00 грн. : 23 р. дн. х 4 р. дн.), в августе 2014 года — 1445,00 грн. (1700,00 грн. :20 р. дн. х 17 р. дн.). | |||||||||
Таким образом, по результатам годового перерасчета сумма излишне удержанного НДФЛ составила 0,01 грн. Ее необходимо вернуть работнику. Для этого сумму НДФЛ в декабре 2014 года уменьшите на сумму перерасчета: 289,20 - 0,01 = 289,19 (грн.).
Результаты годового перерасчета отражают в Налоговом расчете по форме № 1ДФ за 4 квартал 2014 года. Для этого:
— в графах 3 и 3а указывают сумму начисленного и выплаченного дохода за 4 квартал;
— в графах 4 и 4а указывают удержанную сумму НДФЛ за отчетный период с учетом суммы недоплаты/переплаты.
То есть на сумму выявленной недоплаты по НДФЛ показатели граф 4 и 4а увеличивают, а на сумму излишне удержанного НДФЛ — уменьшают.
Покажем, как будет выглядеть Налоговый расчет по форме № 1ДФ за 4 квартал 2014 года по условиям приведенного числового примера. Так, сумма начисленной и выплаченной зарплаты (графы 3 и 3а) составит 5400,00 грн. (1800,00 + 1600,00 + 2000,00), сумма удержанного и перечисленного НДФЛ с учетом перерасчета (графы 4 и 4а) — 689,48 грн. (260,28 + 140,01 + 289,19).
| 1 | 2 | 3а | 3 | 4а | 4 | 5 | 6 | 7 | 8 | 9 | ||||
| <…> | ||||||||||||||
| 3 | 2888888888 | 5400 | 00 | 5400 | 00 | 689 | 48 | 689 | 48 | 101 | — | — | — | — |
| <…> | ||||||||||||||
Фрагмент Налогового расчета по форме № 1ДФ за 4 квартал 2014 года
Уверены, вы с легкостью проведете годовой перерасчет! К тому же, приятным бонусом является и то, что во время такого перерасчета работодатель имеет возможность исправить ошибки, которые он допустил в течение года во время удержания НДФЛ, без применения штрафов и пени. Удачи вам!
Использованные документы и сокращения
НКУ — Налоговый кодекс Украины от 02.12.2010 г. № 2755-VI.
Инструкция № 5 — Инструкция по статистике заработной платы, утвержденная приказом Госкомстата от 13.01.2004 г. № 5.
ЕСВ — единый взнос на общеобязательное государственное социальное страхование.
НДФЛ — налог на доходы физических лиц.
НСЛ — налоговая социальная льгота.
