Теми статей
Обрати теми

Новий рік вже поспішає, а з ним і перерахунок ПДФО до нас завітає

Гуль Тетяна, експерт з питань оплати праці (e-mail: t.gul@id.factor.ua)
Закінчується черговий рік. Поза сумнівом, багато хто перебуває в передсвятковому настрої. А ось бухгалтерам не судилося повною мірою розслабитися в період новорічно-різдвяних свят. Роботи в них ціла купа. Річний перерахунок зарплати та утриманого ПДФО — один з обов’язків бухгалтера. Ось про нього й поговоримо.

Більшість обов’язків бухгалтер із зарплати виконує без нагадування (настільки вони є звичними та щоденними). А ось річний перерахунок зарплати і ПДФО йому доводиться робити не настільки часто. Освіжити в пам’яті алгоритм річного перерахунку — наше завдання.

Отже, давайте згадаємо його основні моменти*.

* Детальніше про проведення річного перерахунку читайте в «ОП», 2013, № 23, с. 14.

Законодавець зобов’язав усіх роботодавців проводити річний перерахунок зарплати і ПДФО в останній місяць податкового року. Тобто за 2014 рік такий перерахунок необхідно провести у грудні.

Мета перерахунку — роботодавець перевіряє, чи правильно він утримував у кожному місяці ПДФО із зарплати.

Правила перерахунку ПДФО установлено п. 169.4 ПКУ, хоча конкретний алгоритм його проведення в ньому не прописаний ☹. Залишається тільки спиратися на роз’яснення податківців.

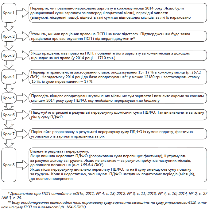
Нагадаємо алгоритм перерахунку (див. схему на с. 23) .

Важливо! Перерахунку підлягають тільки ті виплати, які в розумінні ПКУ належать до заробітної плати.

Зрозуміти, які саме види виплат відносять до зарплати, — допоможе Інструкція № 5. Крім того, у цілях утримання ПДФО до зарплати прирівнюють і лікарняні (абзац третій п.п. 169.4.1 ПКУ).

Закріпити отриману інформацію допоможе умовний числовий приклад.

 

Приклад. Працівнику організації (податковий номер — 2888888888) установлено посадовий оклад у розмірі 1700,00 грн. Він має право на звичайну ПСП — 609,00 грн. З 7 липня по 5 серпня 2014 року працівник перебував у відпустці тривалістю 30 календарних днів. Відпускні загальною сумою було виплачено в липні 2014 року. Сума відпускних склала 1749,30 грн., у тому числі за дні відпустки, що припадають на липень, — 1457,75 грн., за дні відпустки, що припадають на серпень, — 291,55 грн. Крім цього, у жовтні 2014 року була помилково нарахована зарплата в більшому розмірі (1800,00 грн. замість 1700,00 грн.). Суму надмірно нарахованої зарплати (100 грн.) утримали в листопаді. У грудні 2014 року працівнику виплатили премію в розмірі 300,00 грн.

 

Наведемо результати перерахунку в таблиці.

 

Розрахунковий період 2014 року

Фактичні суми

Суми в результаті перерахунку

Сума ПДФО, належна до утримання, грн.
(гр. 9 - гр. 5)

нарахованої зарплати, грн.

утриманого ЄСВ (3,6 %), грн.

ПСП, грн.

ПДФО, грн.

уточненої зарплати, грн.

утриманого ЄСВ (3,6 %), грн.

ПСП, грн.

ПДФО, грн.

1

2

3

4

5

6

7

8

9

10

Січень

1700,00

61,20

609,00

154,47

1700,00

61,20

609,00

154,47

Лютий

1700,00

61,20

609,00

154,47

1700,00

61,20

609,00

154,47

Березень

1700,00

61,20

609,00

154,47

1700,00

61,20

609,00

154,47

Квітень

1700,00

61,20

609,00

154,47

1700,00

61,20

609,00

154,47

Травень

1700,00

61,20

609,00

154,47

1700,00

61,20

609,00

154,47

Червень

1700,00

61,20

609,00

154,47

1700,00

61,20

609,00

154,47

Липень

2044,95*

73,62

295,70

1753,40

63,12

253,54

-42,16

Серпень

1445,00*

52,02

609,00

117,60

1736,55

62,52

251,10

133,50

Вересень

1700,00

61,20

609,00

154,47

1700,00

61,20

609,00

154,47

Жовтень

1800,00

64,80

260,28

1700,00

61,20

609,00

154,47

-105,81

Листопад

1600,00

57,60

609,00

140,01

1700,00

61,20

609,00

154,47

14,46

Грудень

2000,00

72,00

289,20

2000,00

72,00

289,20

Разом

20789,95

748,44

2184,08

20789,95

748,44

2184,07

-0,01

Сума зарплати за відпрацьований робочий час у липні 2014 року склала 295,65 грн. (1700,00 грн. : 23 роб. дн. х 4 роб. дн.), у серпні 2014 року — 1445,00 грн. (1700,00 грн. : 20 роб. дн. х 17 роб. дн.).

 

Таким чином, за результатами річного перерахунку сума надмірно утриманого ПДФО склала 0,01 грн. Її необхідно повернути працівнику. Для цього суму ПДФО у грудні 2014 року зменшіть на суму перерахунку : 289,20 - 0,01 = 289,19 (грн.).

Результати річного перерахунку відображають в Податковому розрахунку за формою № 1ДФ за 4 квартал 2014 року. Для цього:

— у графах 3 і 3а зазначають суму нарахованого і виплаченого доходу за 4 квартал;

— у графах 4 і 4а вказують утриману суму ПДФО за звітний період з урахуванням суми недоплати/переплати.

Тобто на суму виявленої недоплати з ПДФО показники граф 4 і 4а збільшують, а на суму надмірно утриманого ПДФО — зменшують.

Покажемо, як виглядатиме Податковий розрахунок за формою № 1ДФ за 4 квартал 2014 року за умовами наведеного числового прикладу. Так, сума нарахованої та виплаченої зарплати (графи 3 і 3а) становитиме 5400,00 грн. (1800,00 + 1600,00 + 2000,00), сума утриманого і перерахованого ПДФО з урахуванням перерахунку (графи 4 і 4а) — 689,48 грн. (260,28 + 140,01 + 289,19).

 

1

2

3

4

5

6

7

8

9

<…>

3

2888888888

5400

00

5400

00

689

48

689

48

101

<…>

Фрагмент Податкового розрахунку за формою № 1ДФ за 4 квартал 2014 року

 

Упевнені, ви з легкістю проведете річний перерахунок! До того ж приємним бонусом є й те, що під час такого перерахунку роботодавець має можливість виправити помилки, яких він припустився упродовж року під час утримання ПДФО, без застосування штрафів та пені. Успіху вам!

 

img 1

 

Використані документи і скорочення

ПКУ — Податковий кодекс України від 02.12.2010 р. № 2755-VI.

Інструкція № 5 — Інструкція зі статистики заробітної плати, затверджена наказом Держкомстату від 13.01.2004 р. № 5.

ЄСВ — єдиний внесок на загальнообов’язкове державне соціальне страхування.

ПДФО — податок на доходи фізичних осіб.

ПСП — податкова соціальна пільга.

t.gul@id.factor.ua

App
Завантажуйте наш мобільний додаток Factor

© Factor.Media, 1995 -
Всі права захищені

Використання матеріалів без узгодження з редакцією заборонено

Ознайомитись з ліцензійним договором та договором-офертою

Приєднуйтесь
Адреса
м. Харків, 61002, вул. Сумська, 106а
Ми приймаємо
ic-privat ic-visa ic-visa ic-prostir

Ми використовуємо cookie-файли, щоб зробити сайт максимально зручним для вас та аналізувати використання наших продуктів та послуг, щоб збільшити якість рекламних та маркетингових активностей. Дізнатися більше про те, як ми використовуємо ці файли можна тут.

Дякуємо, що читаєте нас Увійдіть і читайте далі