Навіщо потрібна комісія (уповноважений) із соцстраху
Роботодавець самостійно не може приймати рішення про виплату працівникам допомоги за рахунок коштів ФСС. Ви в цьому легко переконаєтеся, зазирнувши до ч. 3 ст. 30 Закону про соцстрахування. Там чітко зазначено, що рішення про призначення матеріального забезпечення та надання соціальних послуг приймає комісія (уповноважений) із соціального страхування, створена (обрана) на підприємстві, в установі або організації.
Усі питання щодо роботи комісії (уповноваженого) із соціального страхування регулює Положення № 13*. Цей документ набрав чинності з 27.07.2018 р.
Основною функцією комісії (уповноваженого) є прийняття рішень про призначення або відмову в призначенні допомоги з ФСС (лікарняних, декретних, допомоги на поховання). Крім того, комісія (уповноважений) зобов’язана, зокрема:
• перевіряти правильність видачі та заповнення документів, які є підставою для надання допомоги;
• розглядати скарги працівників на свої рішення;
• вживати заходів щодо усунення порушень у питаннях надання допомоги з ФСС (наприклад, якщо працівникові затримують виплату допомоги);
• брати участь у перевірках роботодавця, які проводить ФСС, тощо.
Повний перелік функцій цього органу наведений у пп. 2.1, 2.2, 3.1 Положення № 13.
Тепер розберемося з організаційними питаннями.
Як все організувати
Передусім визначимося: чи потрібно в установі (на підприємстві) створювати саме комісію або ж достатньо призначити уповноваженого із соціального страхування?
Якщо у вас в установі 15 працівників (застрахованих осіб) або їх менше 15, то можна обійтися без комісії. Достатньо обрати уповноваженого із соціального страхування.
Якщо працівників 16 і більше, то в цьому випадку потрібна саме комісія.
А якщо працівників було 15 і в установі діяв уповноважений, а тепер узяли додаткового працівника та їх стало 16? У такому випадку виникає зобов’язання створити комісію із соціального страхування замість уповноваженого. Мінсоцполітики в листі від 22.07.2013 р. № 378/18/99-13 зазначало, що в цьому випадку уповноважений виконуватиме покладені на нього обов’язки до моменту створення такої комісії.
На новоствореному підприємстві комісія (уповноважений) із соціального страхування створюється (обирається) в місячний строк після держреєстрації підприємства (п. 1.9 Положення № 13). Очевидно, у випадку збільшення кількості працівників слід орієнтуватись на такий же строк, тільки його відлік почнеться з дати прийняття шістнадцятого працівника.
Зверніть увагу! Фізичні особи — підприємці теж повинні потурбуватися про створення комісії із соцстрахування, якщо в них більше 15 найманих працівників, або призначити уповноваженого, якщо працівників 15 і менше. На це, зокрема, вказував Фонд соціального страхування з тимчасової втрати працездатності (ФТВП) у листі від 04.07.2006 р. № 07-35-1439 (ср. ). Якщо за кількістю працівників ФОП достатньо призначити уповноваженого, то він призначає уповноваженим самого себе (лист ФТВП від 29.04.2016 р. № 2.4-46-674).
Хто повинен входити до складу комісії? До складу комісії входять представники, з одного боку, адміністрації підприємства, а з іншого, — застрахованих осіб, тобто працівників підприємства.
Зазвичай, представником застрахованих осіб виступає профспілкова організація підприємства, а за її відсутності — інший уповноважений орган, який представляє інтереси застрахованих осіб. Кожна сторона делегує членів комісії залежно від кількості застрахованих осіб на підприємстві. Строк повноважень і кількість членів комісії сторони встановлюють спільним рішенням. Роботодавець оформляє рішення про делегування членів до комісії наказом (іншим розпорядчим документом), а представники застрахованих осіб — постановою виборного органу профспілкової організації або рішенням іншого уповноваженого органу.
Ну і трохи формальностей про те, як повинна працювати комісія.
Основною формою роботи комісії є засідання, які проводяться відповідно до затвердженого нею плану, але не рідше двох разів на місяць. Якщо за цей період на підприємстві не було жодного страхового випадку (тобто комісії розглядати нічого), вважаємо, засідання комісії не обов’язкові.
Члени комісії беруть участь в її засіданнях особисто без права передачі своїх повноважень іншим посадовим особам. Комісія правомочна приймати рішення, якщо на засіданні присутні більше половини її членів за наявності представника кожної сторони. Засідання комісії протоколюється. Рішення комісії вважається прийнятим, якщо за нього проголосувала більшість присутніх на засіданні членів комісії. У разі рівного розподілу голосів голос голови є вирішальним (п. 4.1 Положення № 13).
Важливо!
Документи, необхідні для призначення допомоги по тимчасовій втраті працездатності або по вагітності та пологах, комісія (уповноважений) розглядає не більше 10 днів з дня їх надходження (ч. 1 ст. 32 Закону про соцстрахування).
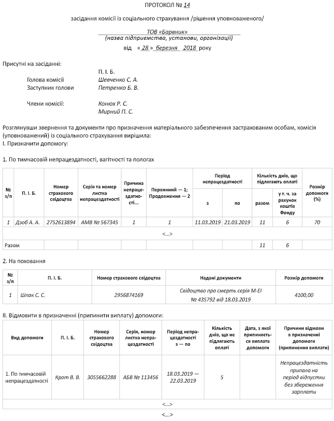
Як заповнити Протокол засідання (рішення уповноваженого)
Усі рішення комісії (як про призначення допомоги, так і про відмову в призначенні) в день їх прийняття оформляють відповідним протоколом/ рішенням уповноваженого.
Зверніть увагу: Положенням № 13 затверджена нова форма протоколу засідання комісії із соціального страхування (рішення уповноваженого). Цю форму застосовуємо починаючи з 27.07.2018 р.
А якщо протоколи оформлялися за старими бланками? Рекомендуємо переоформити.
Приклад заповненого протоколу див. нижче. Тут же коротко пояснимо деякі моменти його заповнення.

Якщо комісія (уповноважений) із соціального страхування прийняла рішення призначити допомогу, вона заповнює розділ I протоколу.
У ньому зазначають необхідну інформацію, в тому числі розмір допомоги (%) та кількість днів, які підлягають оплаті, як за рахунок коштів підприємства, так і за рахунок коштів ФСС.
Нагадаємо: всі дні декретної відпустки підприємство оплачує за рахунок коштів Фонду.
Також за рахунок коштів Фонду, починаючи з першого дня, оплачується лікарняний по догляду за хворою дитиною (але не більше 14 календарних днів), хворим членом сім’ї (але не більше 3 календарних днів, а в особливих випадках — 7 календарних днів). А ось у разі захворювання або травми, не пов’язаної з нещасним випадком на виробництві, перші 5 днів хвороби оплачує роботодавець, а починаючи з 6 дня і за весь період до відновлення працездатності або до встановлення інвалідності лікарняний оплачується за рахунок коштів Фонду.
Оформлений протокол разом із документами, які є підставою для призначення допомоги, передають до бухгалтерії підприємства для розрахунку, нарахування та виплати належних сум.
Якщо з якихось причин комісія (уповноважений) не може винести позитивне рішення про виплату допомоги, заповнюємо розділ II Протоколу із зазначенням причин відмови в допомозі. Перелік підстав для відмови в допомозі наведений у ст. 23 Закону про соцстрахування. Так, допомогу по тимчасовій непрацездатності не надають найчастіше:
• у разі тимчасової непрацездатності у зв’язку із захворюванням або травмою через алкогольне, наркотичне, токсичне сп’яніння або дії, викликані таким сп’янінням;
• за період перебування застрахованої особи у відпустці без збереження заробітної плати, творчій відпустці, додатковій навчальній відпустці;
• у разі порушення застрахованою особою режиму лікування в період отримання допомоги по тимчасовій непрацездатності.
Важливо! Допомогу призначають і виплачують, якщо заявник звернувся за її призначенням не пізніше 12 календарних місяців з дня відновлення працездатності, встановлення інвалідності, закінчення відпустки у зв’язку з вагітністю та пологами (ч. 5 ст. 32 Закону про соцстрахування). Тому якщо працівник пропустив установлений строк надання лікарняного, комісія (уповноважений) із соцстраху має право відмовити йому в призначенні допомоги.
Причиною відмови в оплаті періоду непрацездатності можуть слугувати і помилки, допущені при заповненні листка непрацездатності. Інформують заявника про відмову в призначенні допомоги із зазначенням причин відмови не пізніше 5 днів після винесення відповідного рішення (ч. 1 ст. 32 Закону про соцстрахування).
висновки
• Рішення про призначення матеріального забезпечення та надання соціальних послуг за рахунок коштів ФСС приймає комісія (уповноважений) із соціального страхування.
• Якщо в установі (на підприємстві) 16 і більше працівників (застрахованих осіб), то потрібно створити комісію із соціального страхування. Якщо менше — достатньо обрати уповноваженого із соціального страхування.
• З 27.07.2018 р. слід оформляти рішення комісії (уповноваженого) із соціального страхування протоколом за новою формою, наведеною в додатку до Положення № 13.
