Искусство получать прибыль—2
Как правило, продукция, которую производит или реализует предприниматель, редко может быть представлена одним наименованием. Возникает вопрос: можно ли провести CVP-анализ, если ассортимент реализации широкий? Ответ — да, но для этого необходимо знать некоторые особенности. О них сейчас кратко и расскажем.
Подготовительный этап
В принципе все, что нужно знать, вы уже знаете, если прочли предыдущую статью. Разделение затрат на постоянные и переменные остается таким же, причем постоянные затраты — общие для всей деятельности, а переменные — разные для каждого вида продукции (товара).
Поэтому сначала нужно проделать следующую работу: по схеме, описанной на с. 33—34, рассчитать общий параметр
а, а затем — параметр b для каждого наименования товара: b для первого наименования, b для второго наименования и т. д.После этого можно приступать непосредственно к самому анализу.
CVP-анализ в условиях реализации нескольких видов продукции
Предприниматель продает товары в разных количествах, и объемы их реализации время от времени изменяются. Впрочем, определенное соотношение, скорее всего, есть. Его нельзя назвать постоянным, но для целей CVP-анализа предполагается, что комбинация продаж — величина неизменная.
Комбинация продаж — это соотношение отдельных видов продукции в общем объеме реализации. Например, в отчетном периоде получен доход 10000 грн., из них: от продажи товара 1 — 5000 грн., от товара 2 — 3000 грн., от товара 3 — 2000 грн. Следовательно, комбинация продаж составит 50 %, 30 % и 20 % соответственно. Для того чтобы использовать этот показатель в дальнейшем, нужно постараться максимально приблизить его к истине, учитывая собственные планы продажи и спрос.
Теперь приведем формулы, которые нужно применять для CVP-анализа в условиях реализации нескольких видов продукции.
1)
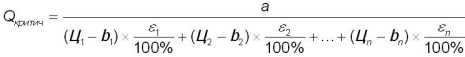
Объем продукции, который нужно продать, чтобы не попасть в убыток:
,
где
Qкритич — объем реализации, при котором нет убытка, но и прибыль тоже равна нулю, шт.;а
— постоянные затраты, грн.;Ц1, Ц2,..., Цn
— цена соответствующего вида продукции, грн.;b1, b2,..., bn
— переменные затраты на единицу продукции соответственно для первого, второго и т. д. наименования, грн./шт.;
1, 2,..., n — комбинация продаж, т. е. удельный вес дохода от реализации каждого вида продукции в общем объеме дохода от реализации, %;n
— количество видов продукции.Хотя формула получилась и громоздкая, но на самом деле ничего сложного здесь нет: считаем так же, как и для одного вида продукции, только нужно не забыть учесть в формуле удельный вес продаж по каждому наименованию.
Рассчитав
Qкритич, распределяем его между видами продукции опять же в соответствии с удельным весом. Итак, предприниматель не получит ни прибыли, ни убытка, если будет продавать такое количество первого, второго, n-го товара:Qкритич 1 = Qкритич
х ε1; Qкритич 2= Qкритич хε2;...; Qкритич n = Qкритич х εn.Пример.
Допустим, известно следующее:
| Показатель | Товар 1 | Товар 2 | Товар 3 |
| Комбинация продаж | 50 % | 30 % | 20 % |
| Цена (Ц), грн. | 20,00 | 15,00 | 10,00 |
| Переменные затраты на единицу (b), грн./шт. | 12,00 | 11,00 | 7,00 |
| Постоянные затраты — общие (а), грн. | 7000,00 | ||
Тогда
Qкритич= 7000 : ((20 - 12) х х 0,5 + (15 - 11) х 0,3 + (10 - 7) х х 0,2) = 1207 шт. Значит, Qкритич 1 = 1207 х 0,5 = 603 шт., Qкритич 2 = 1207 х 0,3 = 363 шт., Qкритич 3 = 1207 х 0,2 = 241 шт.2)
Объем продукции, который нужно продать, чтобы получить необходимую сумму прибыли. Формула практически та же, что и предыдущая, но только с учетом прибыли:
,
где
П — планируемая сумма прибыли, грн.Распределение
Q (шт.) между видами товаров, т. е. расчет Q1, Q2,..., Qn(шт.) производится точно так же, как и в предыдущем случае.3)
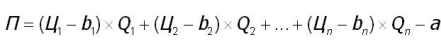
Сумма прибыли, которую можно получить при реализации определенного объема продукции:
,
где
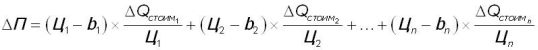
Q1, Q2,..., Qn — объем реализации каждого вида товара в натуральном выражении, шт.Гораздо чаще предпринимателю удобнее проводить анализ, указывая объем продаж в стоимостном выражении. В таком случае предыдущая формула приобретет следующий вид:
,
где
Q стоим 1, Q стоим 2,..., Q стоим n — объем реализации каждого вида товара в стоимостном выражении, грн.Интересен тот факт, что данная формула не просто позволяет посчитать прибыль, — с ее помощью предприниматель может
оптимизировать ассортимент реализуемой продукции. Как? Очень просто. Посмотрим еще раз на формулу. Из нее четко видно, что каждый товар вносит разный вклад в общую прибыль, причем этот вклад определяется показателем (Ц - b). Несложно догадаться, что наибольший вклад в прибыль вносит реализация именно того товара, у которого показатель (Ц - b) больший.Следовательно, предпринимателю
нужно:— наращивать объемы производства и реализации той продукции (товара), для которой
(Ц - b) максимально;— снижать те, у которых данный показатель меньше;
— вообще отказаться от реализации номенклатурных позиций, где
(Ц - b) близко к нулю или даже имеет отрицательное значение (или хотя бы модернизировать их, уменьшив b и увеличив Ц).4)
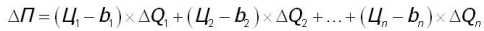
изменение прибыли при изменении объема продаж.Если анализируем изменение объема продаж в натуральном выражении:
.
Если ΔQ
указывается в стоимостном выражении (не штуки, а гривни), формула будет такой:
.
Эти формулы позволяют узнать, как изменится прибыль при изменении объема продаж каждого вида продукции (товара). И снова ключевой показатель реакции прибыли на изменение объема продаж —
(Ц - b). В то же время следует помнить и об обратном эффекте «быстрой прибыли»: товар, у которого показатель (Ц - b) наибольший, приносит не только максимальный прирост прибыли при увеличении продаж, но и максимальное падение прибыли при снижении объемов продаж.Используя данные нашего
примера, рассчитаем, на сколько увеличится прибыль при увеличении объема реализации каждого вида продукции на 400 шт., а затем — на сколько уменьшится прибыль при снижении объемов реализации по каждому виду продукции на 300 шт.
| Показатель | Товар 1 | Товар 2 | Товар 3 |
| Ц - b, грн./шт. | 8,00 | 4,00 | 3,00 |
| Увеличение прибыли при увеличении объема реализации каждого вида продукции на 400 шт. | 3200,00 | 1600,00 | 1200,00 |
| Уменьшение прибыли при снижении объема реализации по каждому виду продукции на 300 шт. | -2400,00 | -1200,00 | -900,00 |
На основании анализа можно сделать следующий вывод: ограничиться реализацией только «быстроприбыльных» товаров (в примере товар 1), конечно, наиболее выгодно, но вместе с тем и наиболее рискованно. Работать так можно только в случае 100 % уверенности в рынке сбыта.
5) что касается
структуры затрат, то CVP-анализ в данном случае осуществляется так же, как и в условиях реализации одного вида продукции (товара).Для того чтобы упростить расчеты и сэкономить ваше время, мы предлагаем вам
файл MS Excel, с помощью которого вы сможете за считанные минуты получить все необходимые показатели CVP-анализа и проанализировать свою деятельность. Причем количество товаров (продукции), по которым можно провести CVP-анализ с помощью данного файла, может быть от 1 до 100. Найти и скачать его можно по адресу: http://www.bk.factor.ua/ru/publications/14/38/347.html.Вот собственно и все о секретах CVP-анализа. Теперь мы уверены, что вы сумеете заставить деньги еще активнее работать на вас.
Материал подготовила Виталина Мирошниченко
