Мистецтво одержувати прибуток—2
Як правило, продукція, яку виробляє або реалізує підприємець, рідко може бути представлена одним найменуванням. Виникає запитання: чи можна провести CVP-аналіз, якщо асортимент реалізації широкий? Відповідь — так, але для цього необхідно знати деякі особливості. Про них зараз стисло і розповімо.
Підготовчий етап
У принципі все, що потрібно знати, ви вже знаєте, якщо прочитали попередню статтю. Розподіл витрат на постійні та змінні залишається таким самим, причому постійні витрати — спільні для всієї діяльності, а змінні — різні для кожного виду продукції (товару).
Тому спочатку потрібно виконати таку роботу: за схемою, описаною на с. 33—34, розрахувати загальний параметр
а, далі — параметр b для кожного найменування товару: b для першого найменування, b для другого найменування тощо.Після цього можна приступати безпосередньо до самого аналізу.
CVP-аналіз в умовах реалізації декількох видів продукції
Підприємець продає товари в різних кількостях, і обсяги їх реалізації час від часу змінюються. Утім, певне співвідношення, очевидно, є. Його не можна назвати постійним, але для цілей CVP-аналізу передбачається, що комбінація продажів — величина незмінна.
Комбінація продажів — це співвідношення окремих видів продукції в загальному обсязі реалізації. Наприклад, у звітному періоді одержано дохід 10000 грн., з них: від продажу товару 1 — 5000 грн., від товару 2 — 3000 грн., від товару 3 — 2000 грн. Отже, комбінація продажів складе: 50 %, 30 % і 20 %. Для того щоб використовувати цей показник надалі, потрібно постаратися максимально наблизити його до істини, враховуючи власні плани продажу і попит.
Тепер наведемо формули, які потрібно застосовувати для CVP-аналізу в умовах реалізації декількох видів продукції:
1)
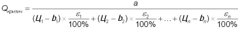
обсяг продукції, який потрібно продати, щоб не зазнати збитку:
,
де
Qкритич— обсяг реалізації, при якому немає збитку, але й прибуток теж дорівнює нулю, шт.;а
— постійні витрати, грн.;Ц1, Ц2..., Цn
— ціна відповідного виду продукції, грн.;b1, b2..., bn
— змінні витрати на одиницю продукції відповідно для першого, другого тощо найменування, грн./шт.;ε1,
ε2..., εn— комбінація продажів, тобто питома вага доходу від реалізації кожного виду продукції в загальному обсязі доходу від реалізації, %;n
— кількість видів продукції.Хоча формула вийшла громіздкою, але насправді нічого складного тут немає: рахуємо так само, як і для одного виду продукції, потрібно тільки не забути врахувати у формулі питому вагу продажів для кожного найменування.
Розрахувавши
Qкритич, розподіляємо його між видами продукції знову ж таки, відповідно до питомої ваги. Отже, підприємець не одержить ні прибутку, ні збитку, якщо продаватиме таку кількість першого, другого, n-ного товару:Qкритич1 = Qкритич
х ε1; Qкритич 2 = Qкритич х ε2;...; Qкритич n = Qкритич х εn.Розберемося на прикладі.
Припустимо, відомо таке:
| Показник | Товар 1 | Товар 2 | Товар 3 |
| Комбінація продажів | 50 % | 30 % | 20 % |
| Ціна (Ц), грн. | 20,00 | 15,00 | 10,00 |
| Змінні витрати на одиницю (b), грн./шт. | 12,00 | 11,00 | 7,00 |
| Постійні витрати — загальні (а), грн. | 7000,00 | ||
Тоді
Qкритич= 7000 : ((20 - 12) х х 0,5 + (15 - 11) х 0,3 + (10 - 7) х х 0,2) = 1207 шт. Значить, Qкритич1 = 1207 х 0,5 = 603 шт., Qкритич 2 = 1207 х 0,3 = 363 шт., Qкритич 3= 1207 х 0,2 = 241 шт.;2)
обсяг продукції, який потрібно продати, щоб одержати необхідну суму прибутку. Формула практично така сама, як і попередня, але тільки з урахуванням прибутку:
,
де
П — планована сума прибутку, грн.Розподіл
Q (шт.) між видами товарів, тобто розрахунок Q1, Q2, ..., Qn (шт.) проводиться так само, як і в попередньому випадку;3)
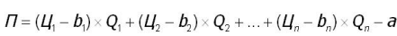
сума прибутку, яку можна одержати при реалізації певного обсягу продукції:
,
де
Q1, Q2, ..., Qn — обсяг реалізації кожного виду товару в натуральному вираженні, шт.Набагато частіше підприємцю зручніше проводити аналіз, зазначаючи обсяг продажів у вартісному вираженні. У такому разі попередня формула набуде такого вигляду:
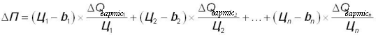
,
де
Qвартіс1, Q вартіс2, ..., Q вартісn — обсяг реалізації кожного виду товару у вартісному вираженні, грн.Цікавий той факт, що ця формула не просто дозволяє обчислити прибуток, а й допомагає підприємцю
оптимізувати асортимент продукції, що реалізується. Як? Дуже просто. Поглянемо ще раз на формулу. З неї чітко видно, що кожен товар робить різний внесок у загальний прибуток, причому внесок цей визначається показником (Ц - b). Неважко здогадатися, що найбільший внесок у прибуток робить реалізація саме того товару, в якого показник (Ц - b) більший.Отже, підприємцю
потрібно:—
нарощувати обсяги виробництва і реалізації тієї продукції (товару), для якої показник (Ц - b) максимальний;— знижувати ті, у яких цей показник менший;
— узагалі відмовитися від реалізації номенклатурних позицій, де
(Ц - b) близький до нуля або навіть має від’ємне значення (або хоча б модернізувати їх, зменшивши b і збільшивши Ц);4)
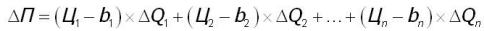
зміна прибутку при зміні обсягу продажів.Якщо аналізуємо зміну обсягу продажів у натуральному вираженні, формула матиме такий вигляд:
.
Якщо
ΔQ зазначається у вартісному вираженні (не штуки, а гривні), формула матиме такий вигляд:
.
Ці формули дозволяють дізнатися, як зміниться прибуток при зміні обсягу продажів кожного виду продукції (товару). І знову ключовий показник реагування прибутку на зміну обсягу продажів —
(Ц - b). Водночас слід пам'ятати і про зворотний ефект швидкого прибутку: товар, у якого показник ( Ц - b) найбільший, приносить не тільки максимальний приріст прибутку при збільшенні продажів, а й максимальне падіння прибутку при зниженні обсягів продажів.Використовуючи дані нашого
прикладу, розрахуємо, на скільки збільшиться прибуток при збільшенні обсягу реалізації кожного виду продукції на 400 шт., а потім — на скільки зменшиться прибуток при зниженні обсягів реалізації по кожному виду продукції на 300 шт.
| Показник | Товар 1 | Товар 2 | Товар 3 |
| Ц - b, грн./шт. | 8,00 | 4,00 | 3,00 |
| Підвищення прибутку при збільшенні обсягу реалізації кожного виду продукції на 400 шт. | 3200,00 | 1600,00 | 1200,00 |
| Зменшення прибутку при зниженні обсягу реалізації по кожному виду продукції на 300 шт. | -2400,00 | -1200,00 | -900,00 |
На підставі аналізу можна зробити такий висновок: обмежитися реалізацією тільки швидкоприбуткових товарів (у прикладі — товар 1), звичайно, найвигідніше, але разом з тим і найбільш ризиковано. Працювати так можна тільки в разі 100-відсоткової впевненості в ринку збуту;
5) що стосується
структури витрат, то CVP-аналіз у цьому разі здійснюється так само, як і в умовах реалізації одного виду продукції (товару).Для того щоб спростити розрахунки і заощадити час, ми пропонуємо вам
файл MS Excel, за допомогою якого ви зможете за лічені хвилини одержати всі необхідні показники CVP-аналізу і проаналізувати свою діяльність. Причому кількість товарів (продукції), щодо яких можна провести CVP-аналіз за допомогою цього файлу, може бути від 1 до 100. Знайти (і скачати) його можна за адресою: http://www.bk.factor.ua/ru/publications/14/38/347.html.Ось, власне, і все про секрети CVP-аналізу. Тепер ми впевнені, що ви зумієте примусити гроші ще активніше працювати на вас.
Матеріал підготувала Віталіна Мірошниченко
