Если предприниматель меняет место жительства
Попасть в нужное место, пойдя «туда, не знаю куда», — задача довольно сложная. Именно поэтому законодательство много внимания уделяет обозначению различных «мест»: «места жительства», «места деятельности» и др. Все такие места обязательно указываются в соответствующих документах. Но когда предприниматель переезжает, его место жительства изменяется — об этом нужно уведомить компетентные органы и внести изменения в некоторые документы.
Итак, с чего же начать и что именно нужно предпринять при изменении места жительства? Всегда ли обязательно что-то делать или достаточно оповестить только определенный орган, а дальше изменения пойдут автоматически? Разобраться с этим поможет данная статья.
Виталина МИРОШНИЧЕНКО, консультант газеты «Собственное Дело»
Документы статьи
УКУ
— Уголовный кодекс Украины от 05.04.2001 г. № 2341-III.Закон о госрегистрации
— Закон Украины «О государственной регистрации юридических лиц и физических лиц — предпринимателей» от 15.05.2003 г. № 755-IV.Закон о госбюджете на 2008 год
— Закон Украины «О Государственном бюджете Украины на 2008 год и о внесении изменений в некоторые законодательные акты Украины» от 28.12.2007 г. № 107-VI.Закон об РРО
— Закон Украины «О применении регистраторов расчетных операций в сфере торговли, общественного питания и услуг» от 06.07.95 г. № 265/95-ВР.Закон о лицензировании
— Закон Украины «О лицензировании определенных видов хозяйственной деятельности» от 01.06.2000 г. № 1775-III.Постановление № 540
— постановление КМУ «О мерах в связи с введением в действие Закона Украины «О налоге на добавленную стоимость» от 09.06.97 г. № 540.Приказ № 54
— приказ Государственного комитета Украины по вопросам регуляторной политики и предпринимательства «Об утверждении форм регистрационных карточек» от 20.04.2007 г. № 54.Порядок № 80
— Порядок учета плательщиков налогов, сборов (обязательных платежей), утвержденный приказом ГНАУ от 19.02.98 г. № 80.Порядок № 14-4
— Порядок взятия на учет и снятия с учета в органах Пенсионного фонда Украины юридических лиц и физических лиц — предпринимателей как плательщиков страховых взносов, утвержденный постановлением правления ПФУ от 10.10.2006 г. № 14-4.Инструкция № 16
— Инструкция о порядке поступления, учета и расходования средств Фонда социального страхования по временной потере трудоспособности, утвержденная постановлением правления Фонда социального страхования по временной потере трудоспособности от 26.06.2001 г. № 16.Инструкция № 339
— Инструкция о порядке исчисления и уплаты взносов на общеобязательное государственное социальное страхование на случай безработицы и учета их поступления в Фонд общеобязательного государственного социального страхования Украины на случай безработицы, утвержденная приказом Министерства труда и социальной политики Украины от 18.12.2000 г. № 339.Инструкция № 36
— Инструкция о порядке перечисления, учета и расходования страховых средств Фонда социального страхования от несчастных случаев на производстве и профессиональных заболеваний Украины, утвержденная постановлением правления Фонда социального страхования от несчастных случаев на производстве и профессиональных заболеваний Украины от 12.07.2007 г. № 36.Порядок № 260
— Порядок регистрации трудового договора между работником и физическим лицом, утвержденный приказом Министерства труда и социальной политики Украины от 08.06.2001 г. № 260.Положение № 79
— Положение о регистрации плательщиков налога на добавленную стоимость, утвержденное приказом ГНАУ от 01.03.2000 г. № 79.Порядок регистрации РРО
— Порядок регистрации, опломбирования и использования регистраторов расчетных операций за товары (услуги), утвержденный приказом ГНАУ от 01.12.2000 г. № 614.Порядок регистрации КУРО
— Порядок регистрации и ведения книг учета расчетных операций и расчетных книжек, утвержденный приказом ГНАУ от 01.12.2000 г. № 614.
Изменение места жительства
Основные документы, необходимые для осуществления предпринимательской деятельности, должны быть оформлены в госорганах, расположенных по месту жительства предпринимателя. Раз так, то в случае, когда предприниматель переезжает, эти документы нужно переоформить с учетом нового места жительства.
При этом
местом жительства считаются дом, квартира или другое помещение (общежитие, гостиница и т. п.), в которых лицо проживает постоянно, преимущественно или временно; имеющие конкретный адрес, по которому можно связаться с физлицом.Итак, какие шаги следует предпринять, изменив место жительства? Во-первых, необходимо заменить Свидетельство о госрегистрации физического лица в качестве предпринимателя, так как оно содержит адрес предпринимателя. Процесс замены Свидетельства называется «регистрация изменения места жительства».
Второй шаг — необходимо перейти в другую налоговую (ГНИ в другой административно-территориальной единице (в районе города или вообще в другом городе).
Третий шаг — перерегистрироваться в фондах социального страхования и в Пенсионном фонде по новому месту жительства.
Четвертый шаг — заменить все документы, привязанные к месту жительства (Книга ф. № 10, Свидетельство об НДС, лицензии, РРО (КУРО) и др.). Рассмотрим все по порядку.
Государственная регистрация
Предприниматель, который изменил место жительства, обязан
посетить госрегистратора и зарегистрировать у него данное изменение (часть 3 статьи 4 Закона о госрегистрации). Каков же алгоритм действий для проведения госрегистрации изменений? Представим его схематично (рис.1).

Рис. 1. Процесс госрегистрации изменения места жительства
Предприниматель, который уезжает на ПМЖ за границу, должен прекратить предпринимательскую деятельность (в том числе и через управляющих), так как зарегистрировать изменение места жительства у него не получится (ведь украинских госрегистраторов нет на территории других государств).
Регистрация в налоговой инспекции
Отношения предпринимателя и налогового органа в связи с изменением места жительства приведены на схеме (рис. 2).

Рис. 2. Порядок учета налогоплательщика в ГНИ в связи с изменением места жительства
Как видим, для тех предпринимателей, которые переезжают
в пределах одного и того же района, все просто: им достаточно только получить в своей налоговой новую Справку о постановке на учет (с указанием нового места жительства в ней, см. рис. 2).Если же предприниматель переезжает в другой район или город
(т. е. уходит из-под контроля своей прежней налоговой), то до того, как он получит Справку о взятии на учет (форма № 4-ОПП) в новой ГНИ, уплачивать налоги и отчитываться нужно будет в ГНИ по прежнему месту жительства (подпункт 8.8.4 Порядка № 80).Знать это важно потому, что снятие с регистрации в ГНИ происходит не сразу. Как правило, до конца бюджетного года (т. е.
до 31 декабря) предприниматель остается на учете по прежнему месту жительства (по крайней мере, такая норма присутствует в законах о госбюджете постоянно, в 2008 году это статья 39 Закона о госбюджете на 2008 год) справка 2.Кроме того, есть и
иные причины, по которым может произойти задержка снятия налогоплательщика с учета в прежней налоговой:— завершение проверки, которая была начата до «переезда» или еще не начата, но налоговая уже уведомила об этом предпринимателя;
— возмещение излишне уплаченных налогов (сборов), если предприниматель в соответствии с поданными заявлениями или декларациями претендует на такое возмещение, но срок их возврата еще не наступил;
— завершение процедур апелляционного согласования налоговых обязательств.
Для снятия с регистрации
в старой и постановки на учет в новой налоговой налогоплательщик может не предпринимать никаких действий, так как налоговые органы процедуру перевода осуществляют сами. Уведомить их об изменении места жительства предпринимателя обязан госрегистратор. Впрочем, если предприниматель переезжает в другой город (другую область), то для подстраховки лучше поставить ГНИ в известность об изменении места жительства:— либо посетить
налоговую по старому месту жительства, подав заявление о снятии с учета (форма № 9-ОПП) и копию нового Свидетельства о госрегистрации;— либо посетить налоговую по новому месту жительства, подав заявление о взятии на учет (форма № 5-ОПП) с отметкой в поле «Перерегистрация (изменения)» и копию нового Свидетельства о госрегистрации (
подпункт 8.8.1 Порядка № 80).Получить Справку по форме № 4-ОПП с указанием нового места жительства
можно и не дожидаясь снятия с регистрации в старой налоговой. Для этого необходимо подать в ГНИ по прежнему месту жительства обращение с указанием причин изменения (изменение места жительства), приложив к нему старую Справку. В таком случае новая Справка будет выдана в течение двух рабочих дней со дня принятия обращения (подпункт 7.6 Порядка № 80). Данная Справка будет действительной до конца года (как правило, до 20 января следующего года), а затем налоговый орган по новому месту жительства выдаст аналогичную Справку, уже без ограничения срока ее действия.
Отношения с фондами
Как и налоговая, каждый фонд имеет свои отделения в области, городе, районах города. Регистрация предпринимателя в отделении любого фонда осуществляется по месту жительства. Поэтому
изменение места жительства обычно связано с необходимостью перейти в иное отделение Пенсионного фонда и других фондов соцстрахования, в которых предприниматель зарегистрирован. Впрочем, переходить придется не всегда. Как поступать в том или ином случае, покажем в таблице.
Особенности перерегистрации в фондах при изменении места жительства
| Фонд | Новое место жительства находится в пределах той же административно-территориальной единицы, что и предыдущее | Новое место жительства расположено в иной административно-территориальной единице |
| 1 | 2 | 3 |
| Пенсионный фонд (ПФ) | Предприниматель ничего не делает. ПФ на основании информации, полученной от госрегистратора, вносит изменения и направляет предпринимателю новое уведомление о взятии на учет с пометкой «Изменения» (пункт 3.3 Порядка № 14-4) | Сначала осуществляется проведение окончательного расчета с отделением ПФ по старому месту жительства, затем — снятие с учета в нем и, наконец, постановка на учет в отделение ПФ по новому месту жительства на основании сведений, полученных от госрегистратора |
| Фонд «временной нетрудоспособности» (ФВПТ) | Предприниматель ничего не делает. ФВПТ самостоятельно вносит изменения в личное дело предпринимателя, персональный номер останется без изменений (пункт 2.13 Инструкции № 16) | В течение 15 дней после госрегистрации изменений нужно заплатить в ФВПТ все долги (или получить от него излишне уплаченные суммы) и подать в ФВПТ по прежнему месту жительства в произвольной форме заявление о выдаче справки, подтверждающей отсутствие задолженности. Взятие на учет в ФВПТ по новому месту жительства производится на основании информации, полученной от госрегистратора. А если она не поступила, то на основании заявления предпринимателя (установленной формы), копии Свидетельства о госрегистрации и копии справки госрегистратора о включении предпринимателя в Госреестр. Персональный номер в новом отделении ФВПТ будет другим
|
| Фонд «безработицы» (ФБ) | Предприниматель ничего не делает. ФБ самостоятельно вносит изменения в личное дело предпринимателя, персональный номер остается без изменений (пункт 3.7 Инструкции № 339) | Если у предпринимателя наемных работников нет, ФБ сделает все сам. Но сначала Центр занятости по прежнему месту жительства проведет документальную проверку (составит акт) и окончательно рассчитается с предпринимателем справка 3. Если у предпринимателя наемные работники есть, то после проведения проверки и получения справки об отсутствии задолженности нужно посетить прежний Центр занятости и снять там с регистрации трудовые договоры с наемными работниками. Центр занятости по новому адресу самостоятельно зарегистрирует предпринимателя, присвоив ему новый персональный номер, о чем направит или выдаст уведомление. После этого нужно посетить новый Центр занятости и зарегистрировать там все имеющиеся трудовые договоры с работниками |
| Фонд «несчастного случая» (ФНСП) | Предприниматель ничего не делает. ФНСП самостоятельно вносит изменения в личное дело предпринимателя. На следующий рабочий день после получения от госрегистратора информации об изменениях ФНСП отправляет предпринимателю заказное письмо с новым страховым свидетельством. Персональный номер остается без изменений (пункт 3.12 Инструкции № 36) | Снятие с учета осуществляется самим ФНСП не позже следующего рабочего дня после получения информации об изменении места жительства предпринимателя: — либо от госрегистратора; — либо от самого предпринимателя в виде заявления. При этом без процедуры проведения окончательного расчета с ФНСП, вероятно, дело не обойдется. Взятие на учет в ФНСП по новому месту жительства происходит тоже автоматически, на основании информации, поступившей от госрегистратора. Персональный номер страхователя изменится
|
Таким образом, на сегодняшний день механизм автоматического внесения изменений в регистрационные данные страхователя реализован только при условии, что предприниматель остается на учете в прежнем отделении фонда (т. е. переезжает недалеко: новое место жительства находится в пределах той же административно-территориальной единицы, что и предыдущее). В противном случае для перерегистрации по тем или иным вопросам придется посетить практически каждый фонд.
Документы, привязанные к месту жительства
И, наконец, последнее — о документах, которые тоже нужно переоформить с учетом нового адреса. Разбираемся:
1) Книгу ф. № 10
ведут все предприниматели, она регистрируется в той ГНИ, в которой предприниматель становится на учет (письмо ГНАУ от 05.11.97 г. № 17-0117/10-8886), т. е. в ГНИ по месту жительства.Следовательно, если предприниматель остается в той же административно-территориальной единице (стало быть, в той же налоговой), с Книгой ф. № 10 ничего делать не нужно.
Если же новое место жительства находится в другой административно-территориальной единице, то Книгу ф. № 10 нужно зарегистрировать в новой налоговой. Делается это с нового года при получении в новой ГНИ Справки по форме № 4-ОПП. При этом
заводить новую Книгу ф. № 10 не нужно, достаточно только на уже используемой Книге ф. № 10 поставить печать и подпись начальника ГНИ по новому месту жительства.2) Свидетельство о регистрации в качестве плательщика НДС
имеют не все предприниматели. Но те, которые имеют, знают, что в нем указан адрес предпринимателя, поэтому бланк Свидетельства о регистрации плательщика НДС придется менять.Предприниматель, который, поменяв место жительства, остается в той же административно-территориальной единице (т. е. не меняет налоговую), может переоформить НДС-свидетельство за 10 дней.
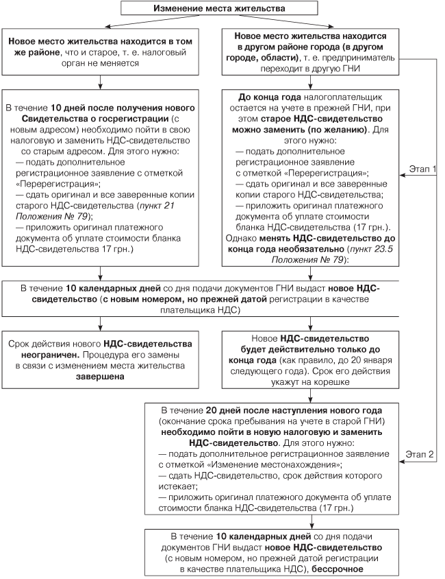
А вот
в случае перехода в другую налоговую разрешается до конца года работать со старым НДС-свидетельством, и только после взятия на учет в новой ГНИ заняться его переоформлением. Однако, если предпринимателя такой вариант не устраивает, новое НДС-свидетельство можно получить и до конца года (в старой налоговой), но срок его действия будет ограничен, и с нового года все равно его придется поменять. Причем каждый раз при замене НДС-свидетельства за его новый бланк нужно будет платить 17 грн. (пункт 5 постановления № 540).Порядок действий предпринимателя — плательщика НДС в случае изменения им места жительства описан в
пунктах 21, 23 и 24 Положения № 79. Покажем его на схеме (рис. 3).

Рис. 3. Схема замены Свидетельства о регистрации в качестве плательщика НДС при изменении места жительства
3)
Регистраторы расчетных операций и книги учета расчетных операций (РРО и КУРО) используются только в случае применения наличных расчетов. В самом РРО и КУРО место жительства предпринимателя не указывается, как, например, в НДС-свидетельстве. Однако есть такой нюанс: РРО (КУРО) обязательно должны быть зарегистрированы только в налоговом органе по месту жительства предпринимателя (пункт 2.1 Порядка регистрации РРО). Но это еще не все: если место использования РРО (торговая точка) находится в другой административно-территориальной единице, чем место жительства предпринимателя, то дополнительно нужно будет поставить РРО на учет еще и в той ГНИ, на территории которой он фактически используется (поставить на учет проще, чем зарегистрировать, но к этому мы еще вернемся).Значит, при изменении места жительства
нужно перерегистрировать РРО (КУРО), это бесплатно. Рассмотрим два случая:1) предприниматель, который при переезде остался в той же административно-территориальной единице (т. е. в ведомстве прежней налоговой),
перерегистрировать РРО (КУРО) не обязан, так как налоговый орган у него не меняется;2) предприниматель, который
перешел на учет в другую ГНИ (напомним, что переход осуществляется с нового года), должен провести перерегистрацию РРО (КУРО) в новой ГНИ. Для этого специальный механизм не установлен, поэтому сначала РРО нужно снять с регистрации в прежней налоговой, а затем зарегистрировать в новой.Особенности таких операций показаны в таблице.
Перерегистрация РРО в связи с изменением места жительства (при условии, что налоговый орган изменяется)
| Где будет расположена торговая точка?
Где была расположена торговая точка? | Торговая точка с РРО будет расположена по новому месту жительства? | ||
| да | нет | ||
| Торговая точка с РРО была расположена по старому месту жительства?
| да | — снятие РРО с регистрации в старой ГНИ; — регистрация РРО в новой ГНИ | — снятие РРО с регистрации в старой ГНИ; — регистрация РРО в новой ГНИ; — взятие на учет РРО в ГНИ по месту его фактического использования |
| нет | — снятие РРО с учета в ГНИ по прежнему месту его фактического использования; — снятие РРО с регистрации в старой ГНИ; — регистрация РРО в новой ГНИ | — снятие РРО с учета в ГНИ по прежнему месту его фактического использования; — снятие РРО с регистрации в старой ГНИ; — регистрация РРО в новой ГНИ; — взятие на учет РРО в ГНИ по новому месту его фактического использования | |
Снятие с регистрации
проходит так: сначала РРО снимается с учета в той ГНИ, на территории которой он использовался, затем распломбируется в центре сервисного обслуживания (ЦСО), о чем делается запись в соответствующей справке (справка выдается предпринимателю). Затем в ГНИ по старому адресу подается заявление о снятии РРО с регистрации (форма произвольная), справка из ЦСО о распломбировании РРО, а также старое регистрационное удостоверение, которое нужно сдать. Работник налоговой снимает РРО с регистрации и выдает предпринимателю об этом справку.Далее можно приступать к
регистрации РРО в ГНИ по новому месту жительства. Сначала нужно подать в эту налоговую необходимый пакет документов:— письменное заявление произвольной формы с указанием сферы применения и реквизитов РРО (модификация, заводской номер, версия программного обеспечения, производитель или поставщик, дата изготовления);
— копию Свидетельства о госрегистрации предпринимателя, заверенную подписью предпринимателя;
— документ, подтверждающий право собственности на РРО, и его копию, подписанную предпринимателем;
— паспорт (формуляр) РРО и его копию, подписанную предпринимателем;
— разрешение местного органа исполнительной власти на размещение хозяйственной единицы (договор аренды, другой документ на право собственности или пользования хозяйственной единицей) и его копию, подписанную предпринимателем;
— в случае предоставления услуг по перевозке пассажиров и грузов — соответствующую лицензию и ее копию, заверенную подписью предпринимателя.
В течение
двух рабочих дней со дня подачи документов предприниматель получит справку о резервировании фискального номера РРО. Далее нужно поторопиться и успеть за пять рабочих дней после получения справки перевести РРО в фискальный режим, занести в его память фискальный номер и опломбировать в ЦСО. До окончания этих пяти дней заверенную копию справки об опломбировании и один экземпляр акта ввода в эксплуатацию РРО (выданный в ЦСО) нужно подать в ГНИ. Если все сделано, предприниматель получит регистрационное удостоверение на РРО.Если РРО нужно не только зарегистрировать, но еще и
поставить на учет, то это делается за один день. Предприниматель должен обратиться в налоговую по месту фактического использования РРО, имея при себе новое регистрационное удостоверение, и должностное лицо налоговой поставит в нем нужную отметку. Это окончание регистрации РРО.КУРО, оформленная на соответствующий РРО, автоматически проходит перерегистрацию
вместе с ним.Для тех предпринимателей, которые имеют право не использовать РРО, но
обязаны применять КУРО с расчетной книжкой (РК), ситуация с «переездом» такова:1) если новое место жительства расположено в том же административном районе, что и прежнее, а место деятельности при этом не меняется, перерегистрировать КУРО необходимости нет;
2) если же предприниматель переезжает в другой район (город, область), то
в ГНИ по новому адресу нужно зарегистрировать новую (чистую) КУРО и РК. Заметим, что старую КУРО в новой налоговой зарегистрировать не удастся, так как на ее титульной странице уже указан прежний налоговый орган, регистрировавший ее. В итоге регистрируется новая КУРО, а старую нужно будет хранить в пункте торговли до того момента, пока не закончится новая КУРО (пункт 7.2 Порядка регистрации КУРО). Снятие с регистрации старой КУРО возможно только по решению начальника той ГНИ, в которой она была зарегистрирована (пункт 2.13 Порядка регистрации КУРО).Для регистрации новой КУРО подаются те же документы, что и для регистрации РРО, естественно, за исключением документов, касающихся РРО (паспорт РРО и документ, подтверждающий право собственности на РРО, в данном случае не нужны). Если КУРО используется в пункте торговли, расположенном не по месту жительства предпринимателя, то ее дополнительно нужно поставить на учет в ГНИ по месту фактического использования.
Следует помнить о том, что в соответствии со
статьей 17 Закона об РРО проведение наличности через незарегистрированные или зарегистрированные ненадлежащим образом РРО или КУРО наказывается штрафом в сумме 340 грн.4)
Лицензии имеют те предприниматели, которые занимаются деятельностью, подлежащей лицензированию (подробно о том, какая деятельность лицензируется, см. «СД», 2008, № 18, с. 10). В лицензиях указывается место жительства лицензиата (статья 13 Закона о лицензировании), значит, в случае его изменения лицензию нужно переоформить. Это будет стоить 85 грн. (статья 16 Закона о лицензировании).Внимание:
на подачу документов, связанных с переоформлением лицензии, дается всего лишь 10 рабочих дней с момента изменения места жительства («прописки»). В орган лицензирования предоставляется: заявление о переоформлении лицензии, сама лицензия и нотариально заверенная копия паспорта с измененной «пропиской».В течение 3-х рабочих дней орган лицензирования выдаст новую лицензию и бесплатные копии к ней. Срок действия переоформленной лицензии будет тот же, что и прежней (т. е. она не продлится).
Не переоформленная в установленный срок лицензия является недействительной
, а работа без лицензии, кроме прочих штрафов, в определенных случаях чревата даже уголовной ответственностью в виде исправительных работ в течение двух лет (статья 202 УКУ).5) Свидетельство об уплате единого налога
выдается предпринимателям-единоналожникам в ГНИ по месту жительства. Поскольку до конца года предприниматель остается на учете в налоговой по прежнему адресу, выходит, что и Свидетельство о едином налоге менять не нужно. При этом до конца года единый налог нужно уплачивать в старую налоговую по ставке, действующей там, где расположено прежнее место жительства (письмо ГНАУ от 12.07.2006 г. № 7605/6/17-0416).Это основные документы, связанные с местом жительства предпринимателя. Если в других своих документах предприниматель увидит указание на место жительства, их тоже нужно будет переоформить.
Выводы
При изменении места жительства необходимо
обратиться к госрегистратору для получения нового Свидетельства о регистрации в качестве предпринимателя.Затем нужно
сняться с регистрации в отделениях Пенсионного фонда и фондов соцстрахования («безработицы», «временной нетрудоспособности», «несчастного случая») по старому месту жительства и зарегистрироваться в отделениях этих фондов по новому месту жительства. Процедура эта на данный момент «полуавтоматическая», поэтому посетить некоторые из фондов все-таки придется.До конца года предприниматель будет учитываться в ГНИ по старому месту жительства
(туда же он уплачивает налоги и сдает отчеты), и только с нового года его переведут в новую ГНИ. Перевод может происходить как без участия предпринимателя, так и с его участием (последний вариант надежнее).Последний шаг — переоформление документов, привязанных к месту жительства:
—
лицензию нужно переоформить сразу, обратившись в орган лицензирования в течение 10 рабочих дней после изменения места жительства;—
Книгу ф. № 10, Свидетельство плательщика НДС, а также РРО (КУРО) переоформляются с нового года, когда предпринимателя возьмут на учет в ГНИ по новому адресу;—
Свидетельство единоналожника менять не нужно.Справочная информация (справка)
1 Поскольку в соответствии со
статьей 5 Закона о госрегистрации в каждом городе, как правило, есть только один госрегистратор, то передача дела другому госрегистратору имеет место при переезде предпринимателя в другой город (область). Если в городе есть регистратор в каждом административно-территориальном районе города, то передача регистрационного дела будет иметь место даже при переезде в другой район одного и того же города.2
С нового бюджетного года (т. е. с 1 января 2009 года) предприниматель должен будет уплачивать налоги (сборы) и подавать отчеты уже в новую ГНИ, даже если такие отчеты и налоги будут связаны с налоговыми обязательствами прошлого 2008 года (т. е. за декабрь или IV квартал 2008 года).Если предприниматель, переезжая в другой административный район, зарегистрирует изменение места жительства с 15 по 31 декабря 2008 года, то его снимут с регистрации в прежней налоговой и переведут в новую в течение месяца со дня поступления информации об изменениях от госрегистратора или от самого налогоплательщика (общее правило), но не раньше 01.01.2009 г.
3 В случае, если предприниматель неплатежеспособен, его долг будет учитываться в ФБ по новому месту регистрации.
