Якщо підприємець змінює місце проживання
Потрапити в потрібне місце, пішовши «туди, не знаю куди», завдання достатньо складне. Саме тому законодавство багато уваги приділяє визначенню різних місць: «місця проживання», «місця діяльності» тощо. Усі такі місця обов’язково зазначаються у відповідних документах. Але коли підприємець переїжджає, його місце проживання змінюється — про це потрібно повідомити компетентні органи та внести зміни до деяких документів.
Отже, з чого ж почати та що саме слід зробити при зміні місця проживання? Чи завжди обов’язково щось робити або достатньо повідомити тільки певний орган, а далі зміни відбуватимуться автоматично? Розібратися з цим допоможе наша стаття.
Віталіна МІРОШНИЧЕНКО, консультант газети «Власне Діло»
Документи статті
ККУ
— Кримінальний кодекс України від 05.04.2001 р. № 2341-III.Закон про держреєстрацію
— Закон України «Про державну реєстрацію юридичних осіб і фізичних осіб — підприємців» від 15.05.2003 р. № 755-IV.Закон про держбюджет на 2008 рік
— Закон України «Про Державний бюджет України на 2008 рік та про внесення змін до деяких законодавчих актів України» від 28.12.2007 р. № 107-VI.Закон про РРО
— Закон України «Про застосування реєстраторів розрахункових операцій у сфері торгівлі, громадського харчування та послуг» від 06.07.95 р. № 265/ 95-ВР.Закон про ліцензування
— Закон України «Про ліцензування певних видів господарської діяльності» від 01.06.2000 р. № 1775-III.Постанова № 540
— постанова КМУ «Про заходи у зв’язку з введенням у дію Закону України «Про податок на додану вартість» від 09.06.97 р. № 540.Наказ № 54
— наказ Державного комітету України з питань регуляторної політики та підприємництва «Про затвердження форм реєстраційних карток» від 20.04.2007 р. № 54.Порядок № 80
— Порядок обліку платників податків, зборів (обов’язкових платежів), затверджений наказом ДПАУ від 19.02.98 р. № 80.Порядок № 14-4
— Порядок взяття на облік і зняття з обліку в органах Пенсійного фонду України юридичних осіб і фізичних осіб — підприємців як платників страхових внесків, затверджений постановою правління ПФУ від 10.10.2006 р. № 14-4.Інструкція № 16
— Інструкції про порядок надходження, обліку та витрачання коштів Фонду соціального страхування з тимчасової втрати працездатності, затверджена постановою правління Фонду соціального страхування з тимчасової втрати працездатності від 26.06.2001 р. № 16.Інструкція № 339
— Інструкція про порядок обчислення та сплати внесків на загальнообов’язкове державне соціальне страхування на випадок безробіття та обліку їх надходження до Фонду загальнообов’язкового державного соціального страхування України на випадок безробіття, затверджена наказом Міністерства праці та соціальної політики України від 18.12.2000 р. № 339.Інструкція № 36
— Інструкція про порядок перерахування, обліку та витрачання страхових коштів Фонду соціального страхування від нещасних випадків на виробництві та професійних захворювань України, затверджена постановою правління Фонду соціального страхування від нещасних випадків на виробництві та професійних захворювань України від 12.07.2007 р. № 36.Порядок № 260
— Порядок реєстрації трудового договору між працівником і фізичною особою, затверджений наказом Міністерства праці та соціальної політики України від 08.06.2001 р. № 260.Положення № 79
— Положення про реєстрацію платників податку на додану вартість, затверджене наказом ДПАУ від 01.03.2000 р. № 79.Порядок реєстрації РРО
— Порядок реєстрації, опломбування та використання реєстраторів розрахункових операцій за товари (послуги), затверджений наказом ДПАУ від 01.12.2000 р. № 614.Порядок реєстрації КОРО
— Порядок реєстрації та ведення книг обліку розрахункових операцій і розрахункових книжок, затверджений наказом ДПАУ від 01.12.2000 р. № 614.
Зміна місця проживання
Основні документи, необхідні для провадження підприємницької діяльності, має бути оформлено в держорганах, розташованих за місцем проживання підприємця. Тож у випадку, коли підприємець переїжджає, ці документи потрібно переоформити з урахуванням нового місця проживання.
При цьому
місцем проживання вважається будинок, квартира або інше приміщення (гуртожиток, готель тощо), в якому особа проживає постійно, переважно або тимчасово; що має конкретну адресу, за якою можна зв’язатися з фізичною особою.Отже, з чого слід почати, змінивши місце проживання? По-перше, необхідно замінити Свідоцтво про держреєстрацію фізичної особи як підприємця, оскільки воно містить адресу підприємця. Процес заміни Свідоцтва називається реєстрацією зміни місця проживання.
По-друге, необхідно перейти на облік до іншої податкової (ДПІ в іншій адміністративно-територіальній одиниці (у районі міста або взагалі в іншому місті)).
По-третє, перереєструватися у фондах соціального страхування та у Пенсійному фонді за новим місцем проживання.
По-четверте — замінити всі документи, прив’язані до місця проживання (Книгу ф. № 10, Свідоцтво про ПДВ, ліцензії, РРО (КОРО) тощо). Розглянемо все по черзі.
Державна реєстрація
Підприємець, який змінив місце проживання, зобов’язаний
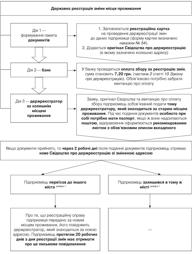
відвідати держреєстратора та зареєструвати у нього ці зміни (частина 3 статті 4 Закону про держреєстрацію). Який же алгоритм дій для проведення держреєстрації змін? Наведемо його у вигляді схеми (рис. 1).

Рис. 1. Процес держреєстрації зміни місця проживання
Підприємець, що переїжджає на ПМЖ за кордон, повинен припинити підприємницьку діяльність (у тому числі і через керуючих), оскільки зареєструвати зміну місця проживання йому не вдасться, бо українських держреєстраторів немає на території інших держав.
Реєстрація в податковій інспекції
Відносини підприємця та податкового органу у зв’язку зі зміною місця проживання наведено на схемі (рис. 2).

Рис. 2. Порядок обліку платника податків у ДПІ у зв'язку зі зміною місця проживання
Як бачимо, для тих підприємців, які переїжджають
у межах того самого району, усе просто: їм достатньо тільки отримати у своїй податковій нову Довідку про взяття на облік (з новим місцем проживання, зазначеним у ній, рис. 2).Якщо ж підприємець переїжджає до іншого району або міста
(тобто виходить з-під контролю своєї колишньої податкової), то до того, як він отримає Довідку про взяття на облік (форма № 4-ОПП) у новій ДПІ, сплачувати податки та звітувати потрібно буде у ДПІ за колишнім місцем проживання (підпункт 8.8.4 Порядку № 80).Знати це важливо тому, що зняття з реєстрації у ДПІ відбувається не відразу. Як правило, до кінця бюджетного року (тобто
до 31 грудня) підприємець залишається на обліку за колишнім місцем проживання (принаймні така норма присутня в законах про держбюджет постійно, у 2008 році — це стаття 39 Закону про держбюджет на 2008 рік) довідка 2.Крім того, є й
інші причини, з яких може затриматися зняття платника податків з обліку в колишній податковій:— завершення перевірки, яку було почато до переїзду або ще не почато, але податкова вже повідомила про це підприємця;
— відшкодування надміру сплачених податків (зборів), якщо підприємець згідно з поданими заявами або деклараціями претендує на таке відшкодування, але строк їх повернення ще не настав;
— завершення процедур апеляційного узгодження податкових зобов’язань.
Для зняття з реєстрації
в старій і взяття на облік у новій податковій платник податків може не вживати ніяких заходів, оскільки податкові органи процедуру переведення здійснюють самі. Повідомити їх про зміну місця проживання підприємця зобов’язаний держреєстратор. Проте, якщо підприємець переїжджає до іншого міста (іншої області), то для підстрахування краще довести до відома ДПІ про зміну місця проживання:— або відвідати податкову за старим місцем проживання, подавши заяву про зняття з обліку (форма № 9-ОПП) і копію нового Свідоцтва про держреєстрацію;
— або відвідати податкову за новим місцем проживання, подавши заяву про взяття на облік (форма № 5-ОПП) з позначкою в полі «Перереєстрація (зміни)» і копію нового Свідоцтва про держреєстрацію
(підпункт 8.8.1 Порядку № 80).Отримати Довідку за формою № 4-ОПП із зазначенням нового місця проживання
можна і не чекаючи зняття з реєстрації в старій податковій. Для цього необхідно подати до ДПІ за колишнім місцем проживання звернення із зазначенням причин зміни (зміна місця проживання), додавши до нього стару Довідку. У такому випадку нову Довідку буде видано протягом двох робочих днів з дня прийняття звернення (підпункт 7.6 Порядку № 80). Дана Довідка буде дійсною до кінця року (як правило, до 20 січня наступного року), а потім податковий орган за новим місцем проживання видасть аналогічну Довідку, уже без обмеження строку її дії.
Відносини з фондами
Як і податкова, кожний фонд має свої відділення в області, місті, районах міста. Реєстрація підприємця у відділенні будь-якого фонду здійснюється за місцем проживання. Тому
зміна місця проживання звичайно пов’язана з необхідністю перейти до іншого відділення Пенсійного фонду та інших соцстрахівських фондів, в яких підприємець зареєстрований. Проте переходити доведеться не завжди. Що робити в тому чи іншому випадку, наведемо в таблиці.
Особливості перереєстрації у фондах при зміні місця проживання
| Фонд | Нове місце проживання знаходиться в межах тієї самої адміністративно-територіальної одиниці, що й попереднє | Нове місце проживання розташовано в іншій адміністративно-територіальній одиниці |
| 1 | 2 | 3 |
| Пенсійний фонд (ПФ) | Підприємець нічого не робить. ПФ на підставі інформації, отриманої від держреєстратора, вносить зміни та надсилає підприємцю нове повідомлення про взяття на облік з позначкою «Зміни» (пункт 3.3 Порядку № 14-4) | Спочатку провадиться остаточний розрахунок з відділенням ПФ за старим місцем проживання, потім — зняття з обліку в ньому та, нарешті, взяття на облік у відділенні ПФ за новим місцем проживання на підставі відомостей, отриманих від держреєстратора |
| Фонд «тимчасової непрацездатності» (ФТВП) | Підприємець нічого не робить. ФТВП самостійно вносить зміни в особову справу підприємця, персональний номер залишиться без змін (пункт 2.13 Інструкції № 16) | Протягом 15 днів після держреєстрації змін слід сплатити до ФТВП усі борги (або отримати від нього надміру сплачені суми) і подати до ФТВП за колишнім місцем проживання в довільній формі заяву про видачу довідки, що підтверджує відсутність заборгованості. Узяття на облік у ФТВП за новим місцем проживання провадиться на підставі інформації, отриманої від держреєстратора, а якщо вона не надійшла, то на підставі заяви підприємця (установленої форми), копії Свідоцтва про держреєстрацію та копії Довідки держреєстратора про включення підприємця до Держреєстру. Персональний номер у новому відділенні ФТВП буде іншим
|
| Фонд «безробіття» (ФБ)
| Підприємець нічого не робить. ФБ самостійно вносить зміни до особової справи підприємця, персональний номер залишається без змін (пункт 3.7 Інструкції № 339)
| Якщо підприємець не має найманих працівників, ФБ зробить усе сам. Але спочатку центр зайнятості за колишнім місцем проживання проведе документальну перевірку (складе акт) і остаточно розрахується з підприємцем довідка 3. Якщо підприємець має найманих працівників, то після проведення перевірки та отримання Довідки про відсутність заборгованості потрібно відвідати старий центр зайнятості та зняти там з реєстрації трудові договори з найманими працівниками. Центр зайнятості за новою адресою самостійно зареєструє підприємця, присвоївши йому новий персональний номер, про що надішле або видасть повідомлення. Після цього потрібно відвідати новий Центр зайнятості та зареєструвати там усі наявні трудові договори з працівниками |
| Фонд «нещасного випадку» (ФНВВ) | Підприємець нічого не робить. ФНВВ самостійно вносить зміни до особової справи підприємця. Наступного робочого дня після отримання від держреєстратора інформації про зміни ФНВВ надсилає підприємцю рекомендований лист з новим страховим свідоцтвом. Персональний номер залишається без змін (пункт 3.12 Інструкції № 36) | Зняття з обліку здійснюється самим ФНВВ не пізніше наступного робочого дня після отримання інформації про зміну місця проживання підприємця: — або від держреєстратора; — або від самого підприємця у вигляді заяви. При цьому без процедури проведення остаточного розрахунку з ФНВВ, імовірно, не обійдеться. Узяття на облік у ФНВВ за новим місцем проживання відбувається теж автоматично, на підставі інформації, що надійшла від держреєстратора. Персональний номер страхувальника зміниться
|
Таким чином, сьогодні механізм автоматичного внесення змін до реєстраційних даних страхувальника реалізовано тільки за умови, що підприємець залишається на обліку в колишньому відділенні фонду (тобто переїжджає недалеко: нове місце проживання знаходиться в межах тієї ж адміністративно-територіальної одиниці, що й попереднє). Інакше для перереєстрації стосовно тих чи інших питань доведеться відвідати практично кожний фонд.
Документи, прив’язані до місця проживання
І, нарешті, останнє — про документи, які теж потрібно переоформити з урахуванням нової адреси. Розглянемо ці документи.
1. Книгу ф. № 10
ведуть усі підприємці, вона реєструється в тій ДПІ, в якій підприємець береться на облік (лист ДПАУ від 05.11.97 р. № 17-0117/10-8886), тобто у ДПІ за місцем проживання.Отже, якщо підприємець залишається в тій самій адміністративно-територіальній одиниці (у тій же податковій), із Книгою ф. № 10 нічого робити не потрібно.
Якщо ж нове місце проживання знаходиться в іншій адміністративно-територіальній одиниці, то Книгу ф. № 10 потрібно зареєструвати в новій податковій. Робиться це з нового року під час отримання в новій ДПІ Довідки за формою № 4-ОПП. При цьому
заводити нову Книгу ф. № 10 не потрібно , достатньо тільки на Книзі ф. № 10, що вже використовується, поставити печатку та підпис начальника ДПІ за новим місцем проживання.2. Свідоцтво про реєстрацію платником ПДВ
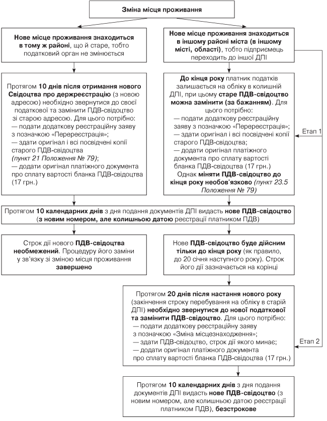
мають не всі підприємці. Але ті, які мають, знають, що в ньому зазначено адресу підприємця, тому бланк Свідоцтва про реєстрацію платника ПДВ доведеться міняти.Підприємець, який, змінивши місце проживання, залишається в тій же адміністративно-територіальній одиниці (тобто не змінює податкову), може переоформити ПДВ-свідоцтво за 10 днів.
А от
у разі переходу до іншої податкової дозволяється до кінця року працювати зі старим ПДВ-свідоцтвом, і тільки після взяття на облік у новій ДПІ зайнятися його переоформленням. Однак, якщо підприємця такий варіант не влаштовує, нове ПДВ-свідоцтво можна отримати і до кінця року (у старій податковій), але строк його дії буде обмежений, і з нового року все одно його доведеться поміняти. Причому щоразу при заміні ПДВ-свідоцтва за новий його бланк потрібно буде сплатити 17 грн. (пункт 5 постанови № 540).Порядок дій підприємця — платника ПДВ у разі зміни ним місця проживання наведено в
пунктах 21, 23 і 24 Положення № 79. Покажемо його на схемі (рис. 3).

Рис. 3. Схема заміни Свідоцтва про реєстрацію платником ПДВ при зміні місця проживання
3.
Реєстратори розрахункових операцій і Книги обліку розрахункових операцій (РРО та КОРО) використовуються тільки в разі застосування готівкових розрахунків. У самому РРО та КОРО місце проживання підприємця не зазначається, як наприклад, у ПДВ-свідоцтві. Однак є такий нюанс: РРО (КОРО) обов’язково має бути зареєстровано тільки в податковому органі за місцем проживання підприємця (пункт 2.1 Порядку реєстрації РРО). Але й це ще не все: якщо місце використання РРО (торговельна точка) знаходиться в іншій адміністративно-територіальній одиниці, ніж місце проживання підприємця, то додатково потрібно буде взяти РРО на облік ще й у тій ДПІ, на території якої він фактично використовується (взяти на облік простіше, ніж зареєструвати, але до цього ще повернемося).Виходить, при зміні місця проживання
потрібно перереєструвати РРО (КОРО), що робиться безоплатно. Розглянемо два випадки:1 — підприємець, який при переїзді залишився в тій самій адміністративно-територіальній одиниці (тобто у віданні колишньої податкової),
перереєструвати РРО (КОРО) не зобов’язаний, оскільки податковий орган у нього не змінюється;2 — підприємець, який
перейшов на облік в іншу ДПІ (нагадаємо, що перехід здійснюється з нового року), повинен провести перереєстрацію РРО (КОРО) у новій ДПІ. Для цього спеціального механізму не встановлено, тому спочатку РРО потрібно зняти з реєстрації в колишній податковій, а потім зареєструвати в новій.Особливості таких операцій наведено в таблиці.
Перереєстрація РРО у зв’язку зі зміною місця проживання (за умови, що податковий орган змінюється)
| Де знаходитиметься торговельна точка?
Де знаходилася торговельна точка? | Торговельна точка з РРО знаходитиметься за новим місцем проживання? | ||
| так
| ні | ||
| Торговельна точка із РРО знаходилася за старим місцем проживання?
| так | — зняття РРО з реєстрації в старій ДПІ; — реєстрація РРО в новій ДПІ | — зняття РРО з реєстрації в старій ДПІ; — реєстрація РРО в новій ДПІ; — узяття на облік РРО у ДПІ за місцем його фактичного використання |
| ні | — зняття РРО з обліку у ДПІ за колишнім місцем його фактичного використання; — зняття РРО з реєстрації в старій ДПІ; -реєстрація РРО в новій ДПІ | — зняття РРО з обліку у ДПІ за колишнім місцем його фактичного використання; — зняття РРО з реєстрації в старій ДПІ; — реєстрація РРО в новій ДПІ; — узяття на облік РРО у ДПІ за новим місцем його фактичного використання | |
Зняття з реєстрації
відбувається так: спочатку РРО знімається з обліку в тій ДПІ, на території якої він використовувався, потім розпломбовується в центрі сервісного обслуговування (ЦСО), про що робиться запис у відповідній довідці (довідка видається підприємцю). Далі до ДПІ за старою адресою подаються заява про зняття РРО з реєстрації (за довільною формою), довідка із ЦСО про розпломбування РРО, а також старе реєстраційне посвідчення, яке потрібно здати. Працівник податкової знімає РРО з реєстрації та видає підприємцю про це довідку.Далі можна приступати до
реєстрації РРО у ДПІ за новим місцем проживання. Спочатку потрібно подати до цієї податкової необхідний пакет документів:— письмову заяву довільної форми із зазначенням сфери застосування та реквізитів РРО (модифікація, заводський номер, версія програмного забезпечення, виробник чи постачальник, дата виготовлення);
— копію Свідоцтва про держреєстрацію підприємця, завірену підписом підприємця;
— документ, що підтверджує право власності на РРО, і його копію, підписану підприємцем;
— паспорт (формуляр) РРО і його копію, підписану підприємцем;
— дозвіл місцевого органу виконавчої влади на розміщення господарської одиниці (договір оренди, інший документ на право власності або користування господарською одиницею) і його копію, підписану підприємцем;
— у разі надання послуг з перевезення пасажирів і вантажів: відповідну ліцензію та її копію, завірену підписом підприємця.
Протягом
двох робочих днів з дня подання документів підприємець отримає довідку про резервування фіскального номера РРО. Далі потрібно поквапитися та встигнути за п’ять робочих днів після отримання довідки перевести РРО у фіскальний режим, занести до його пам’яті фіскальний номер і опломбувати в ЦСО. До закінчення цих п’яти днів посвідчену копію довідки про опломбування та один примірник акта введення в експлуатацію РРО (виданий у ЦСО) слід подати до ДПІ. Якщо все це зроблено, підприємець отримає реєстраційне посвідчення на РРО.Якщо РРО потрібно не тільки зареєструвати, але ще й
поставити на облік, то це робиться за один день. Підприємець повинен звернутися до податкової за місцем фактичного використання РРО, маючи при собі нове реєстраційне посвідчення, і посадова особа податкової поставить у ньому потрібну позначку. Це й є закінченням реєстрації РРО .КОРО, оформлена на відповідний РРО, автоматично проходить перереєстрацію
разом з ним.Для тих підприємців, які мають право не використовувати РРО, але
зобов’язані застосовувати КОРО з розрахунковою книжкою (РК), ситуація з переїздом така:1) якщо нове місце проживання розташовано в тому ж адміністративному районі, що та колишнє, а місце діяльності при цьому не змінюється, перереєстровувати КОРО не потрібно;
2) якщо ж підприємець переїжджає до іншого району (міста, області), то
у ДПІ за новою адресою потрібно зареєструвати нову (чисту) КОРО та РК. Зауважимо, що стару КОРО в новій податковій зареєструвати не вдасться, оскільки на її титульному аркуші вже зазначено колишній податковий орган, який реєстрував її. Таким чином, реєструється нова КОРО, а стару потрібно буде зберігати в пункті торгівлі до того моменту, поки не закінчиться нова КОРО (пункт 7.2 Порядку реєстрації КОРО). Зняття з реєстрації старої КОРО можливе тільки за рішенням начальника тієї ДПІ, в якій її було зареєстровано (пункт 2.13 Порядку реєстрації КОРО).Для реєстрації нової КОРО подаються ті ж документи, що й для реєстрації РРО, природно, за винятком документів, що стосуються РРО (паспорт РРО та документ, що підтверджує право власності на РРО, у цьому разі не потрібні). Якщо КОРО використовується в пункті торгівлі, розташованому не за місцем проживання підприємця, то її додатково потрібно поставити на облік у ДПІ за місцем фактичного використання.
Слід пам’ятати, що згідно зі
статтею 17 Закону про РРО проведення готівки через незареєстровані або зареєстровані неналежним чином РРО чи КОРО карається штрафом у розмірі 340 грн.4.
Ліцензії мають ті підприємці, які займаються діяльністю, що підлягає ліцензуванню (докладно про те, яка діяльність ліцензується, див. «ВД», 2008, № 18, с. 10). У ліцензіях зазначається місце проживання ліцензіата (стаття 13 Закону про ліцензування), отже, у разі його зміни ліцензію потрібно переоформити. Це коштуватиме 85 грн. (стаття 16 Закону про ліцензування).Увага:
на подання документів, пов’язаних з переоформленням ліцензії, надається всього лише 10 робочих днів з моменту зміни місця проживання (прописки). До органу ліцензування подаються: заява про переоформлення ліцензії, сама ліцензія та нотаріально посвідчена копія паспорта зі зміненою пропискою.Протягом трьох робочих днів орган ліцензування видасть нову ліцензію та безоплатні копії до неї. Строк дії переоформленої ліцензії буде той самий, що й колишньої (тобто вона не продовжиться).
Не переоформлена у встановлений строк ліцензія є недійсною
, а робота без ліцензії, крім інших штрафів, у певних випадках загрожує навіть кримінальною відповідальністю у вигляді виправних робіт строком на два роки (стаття 202 ККУ).5. Свідоцтво про сплату єдиного податку
видається підприємцям-єдиноподатникам у ДПІ за місцем проживання. Оскільки до кінця року підприємець залишається на обліку в податковій за колишньою адресою, виходить, що і Свідоцтво про єдиний податок міняти не потрібно. При цьому до кінця року єдиний податок потрібно сплачувати до старої податкової, за ставкою, що діє там, де знаходиться колишнє місце проживання (лист ДПАУ від 12.07.2006 р. № 7605/6/17-0416).Це основні документи, пов’язані з місцем проживання підприємця. Якщо в інших своїх документах підприємець побачить вказівку на місце проживання, їх теж потрібно буде переоформити.
Висновки
При зміні місця проживання необхідно
звернутися до держреєстратора для отримання нового Свідоцтва про реєстрацію підприємцем.Потім потрібно
знятися з реєстрації у відділеннях Пенсійного фонду та соцстрахівських фондів («безробіття», «тимчасової непрацездатності», «нещасного випадку») за старим місцем проживання та зареєструватися у відділеннях цих фондів за новим місцем проживання. Процедура ця сьогодні є напівавтоматичною, тому відвідати деякі з фондів все ж таки доведеться.До кінця року підприємець буде обліковуватися у ДПІ за старим місцем проживання
(туди ж сплачувати податки та звітувати), і тільки з нового року його переведуть до нової ДПІ. Переведення може відбуватися як без участі підприємця, так і за його участі (останній варіант є надійнішим).Останній крок — переоформлення документів, прив’язаних до місця проживання:
—
ліцензію потрібно переоформити відразу, звернувшись до органу ліцензування протягом 10 робочих днів після зміни місця проживання;—
Книгу ф. № 10, Свідоцтво платника ПДВ, а також РРО (КОРО) переоформляються з нового року, коли підприємця візьмуть на облік у ДПІ за новою адресою;—
Свідоцтво єдиноподатника міняти не потрібно.Довідкова інформація (довідка)
1 Оскільки згідно зі
статтею 5 Закону про держреєстрацію в кожному місті, як правило, є тільки один держреєстратор, то передача справи іншому держреєстратору має місце при переїзді підприємця до іншого міста (області). Якщо в місті є реєстратор у кожному адміністративно-територіальному районі міста, то передача реєстраційної справи відбуватиметься навіть при переїзді до іншого району того самого міста.2
З нового бюджетного року (тобто з 1 січня 2009 року) підприємець повинен буде сплачувати податки (збори) і подавати звіти вже до нової ДПІ, навіть якщо такі звіти та податки будуть пов’язані з податковими зобов’язаннями минулого 2008 року (тобто за грудень або IV квартал 2008 року).Якщо підприємець, переїжджаючи до іншого адміністративного району, зареєструє зміну місця проживання з 15 по 31 грудня 2008 року, то його знімуть з реєстрації у старій податковій і переведуть до нової протягом місяця з дня надходження інформації про зміни від держреєстратора або від самого платника податків (загальне правило), але не раніше 01.01.2009 р.
3
У випадку якщо підприємець є неплатоспроможним, його борг обліковуватиметься у ФБ за новим місцем реєстрації.
