Как рассчитать сбор за воду и заполнить отчетность
В прошлом номере нашего издания мы говорили о том, кто попадает в число плательщиков сбора за специальное использование воды (см. «СД», 2012, № 6, с. 5). Теперь же мы подробно расскажем о расчете этого сбора и порядке проставления и заполнения по нему отчетности.
В 2012 году по данному платежу предприниматели, в том числе единоналожники, должны отчитываться ежеквартально в течение 40 календарных дней, следующих за отчетным кварталом, т. е. декларация за I квартал предоставляется не позже 10 мая 2012 года.
Оксана ПИРОЖЕНКО, консультант газеты «Собственное Дело»
Документы статьи
Налоговый кодекс — Налоговый кодекс Украины от 02.12.2010 г. № 2755-VI.
ВКУ — Водный кодекс Украины от 06.06.95 г. № 213/95-ВР.
Закон № 4235 — Закон Украины «О внесении изменений в Налоговый кодекс Украины относительно пересмотра ставок некоторых налогов и сборов» от 22.12.2011 г. № 4235-VI.
Приказ № 1009 — приказ ГНАУ «Об утверждении форм налоговых деклараций сбора за специальное использование воды» от 24.12.2010 г. № 1009.
Состав отчетности по сбору за воду
Плательщики сбора за специальное использование воды (далее — сбор за воду) обязаны рассчитывать (начислять) его сумму в предоставляемой ими отчетности. Отметим, что с 2012 года таковыми являются как предприниматели на общей системе, так и единоналожники, использующие воду из большинства водных объектов (подробнее см. «СД», 2012, № 6, с. 5).
Отчетность по сбору за воду подразделяется на три вида деклараций, формы которых утверждены приказом № 1009 :
— Налоговая декларация сбора: за специальное использование поверхностных и подземных вод; за специальное использование поверхностной воды теплоэлектростанциями с прямоточной системой водоснабжения; за специальное использование поверхностных и подземных вод жилищно-коммунальными предприятиями; за специальное использование воды, которая входит исключительно в состав напитков; за специальное использование поверхностных и подземных вод для нужд рыбоводства; за специальное использование карьерной, шахтной, дренажной воды (далее — декларация о воде);
— Налоговая декларация сбора за специальное использование поверхностных вод для нужд водного транспорта (кроме стояночных и служебно-вспомогательных судов) (далее — декларация о водном транспорте);
— Налоговая декларация сбора за специальное использование воды для нужд гидроэнергетики (далее — декларация о гидроэнергетике).
Помимо этих форм деклараций, существуют также и соответствующие Перерасчеты налоговых обязательств к ним, которые подаются в случае уточнения налоговых обязательств в любой из указанных деклараций.
Понятно, что последний отчет (декларация о гидроэнергетике) к предпринимателям никакого отношения не имеет, поэтому о нем говорить не будем вообще.
Что касается декларации о водном транспорте, то с ней предприниматели сталкиваются довольно редко. Дело в том, что сбор за использование воды для нужд водного транспорта взимается только при осуществлении грузовых или пассажирских перевозок на реках. При этом всевозможные водные аттракционы, которые зачастую организовываются на море, от уплаты сбора за воду освобождены. А поскольку речные перевозки — деятельность весьма специфическая, тем более для предпринимателей, о декларации о водном транспорте мы расскажем лишь вскользь.
Периодичность предоставления отчета
Декларация о воде подается ежеквартально в течение 40 календарных дней, следующих за отчетным кварталом. За I квартал 2012 года декларацию нужно подать не позднее 10 мая. Декларация о воде составляется нарастающим итогом (за квартал, полугодие, три квартала или год). Поэтому если предприниматель в течение года прекратит быть плательщиком сбора за воду, он все равно должен будет отчитываться до конца года, дублируя в каждой следующей декларации данные предыдущей.
Исключением является только декларация о водном транспорте. Она за I квартал не подается и сбор за воду для нужд водного транспорта не уплачивается (пункты 328.3 и 328.4 Налогового кодекса). Декларацию о водном транспорте впервые в календарном году подают за полугодие.
Декларацию о воде и декларацию о водном транспорте следует представлять в орган ГНС по месту жительства предпринимателя (пункт 328.3 Налогового кодекса).
Одновременно с декларацией о воде предприниматель должен подать в орган ГНС (пункт 328.7 Налогового кодекса):
— копию разрешения на специальное водопользование (первичный водопользователь);
— или копию договора на поставку воды (вторичный водопользователь).
Если же предприниматель предоставляет декларацию о воде в электронном виде, он может подать в ГНИ копии разрешения на спецводопользование или договора на поставку воды в том порядке, который применяется для подачи «бумажных» отчетов, т. е.:
— посетить лично орган ГНС и подать копии необходимых документов;
— отправить копии по почте с уведомлением о вручении и описью вложения.
Обратите внимание: если предельный срок подачи декларации о воде или декларации о водном транспорте (сороковой день) совпадет с праздничным или выходным днем, подать такие отчеты можно будет в ближайший рабочий день после праздников (выходных). Перенос срока подачи налоговой декларации (коей является и декларация о воде, и декларация о водном транспорте) предусмотрен пунктом 49.20 Налогового кодекса.
Сбор за воду следует уплатить в течение 10 календарных дней, следующих за последним днем предельного срока подачи декларации. При этом перенос срока подачи декларации в случае его совпадения с праздником или выходным для целей уплаты сбора не учитывается. По итогам I квартала последний день уплаты сбора за воду 18 мая 2012 года.
Сбор за воду уплачивается по месту жительства предпринимателя (пункт 328.4 Налогового кодекса). Кстати, в отличие от подачи декларации, перенос предельного срока уплаты сбора за воду Налоговым кодексом не предусмотрен. Поэтому уплачивать сбор следует заранее, до наступления праздников (выходных).
За непредоставление декларации о воде или декларации о водном транспорте или задержку при ее предоставлении предусмотрена ответственность в виде штрафа в размере 170 грн., а при повторном нарушении в течение года — 1020 грн. (статья 120 Налогового кодекса).
Специфика составления декларации о воде
Как уже говорилось в самом начале статьи, в декларации о воде приводится расчет сбора за воду. Поэтому для того чтобы правильно составить данный отчет, сначала нужно рассмотреть основные правила, которые применяются при определении размера сбора за воду.
Итак, сбор за воду рассчитывается как произведение объекта налогообложения на ставку сбора. Объекты налогообложения сбором за воду установлены статьей 324 Налогового кодекса (см. табл. 1).
Таблица 1
| Вид использования воды | Объект налогообложения сбором за воду |
| Специальное использование воды, полученной путем забора из водных объектов и/или от первичных либо других водопользователей (в том числе и для использования воды при изготовлении напитков) | Фактический объем воды, используемый водопользователями, с учетом объема потерь воды в их системах водоснабжения |
| Сбор за специальное использование воды для нужд водного транспорта | Время использования поверхностных вод эксплуатируемым грузовым самоходным и несамоходным флотом (в зависимости от тоннажности) и эксплуатируемым пассажирским флотом (в зависимости от количества мест) |
| Сбор за специальное использование воды для нужд рыбоводства | Фактический объем воды, необходимой для пополнения водных объектов при разведении рыбы и других водных живых ресурсов, в том числе и для пополнения, которое связано с потерями воды на фильтрацию и испарение |
При этом, если водопользователи применяют воду для нужд охлаждения оборудования, используя возвратную систему водоснабжения, сбор исчисляют исходя из фактических объемов воды, использованной на подпитку возвратной системы. За все другие объемы фактически использованной такими водопользователями воды сбор исчисляют на общих основаниях (пункт 326.9 Налогового кодекса).
Объем фактически использованной воды исчисляется всеми водопользователями самостоятельно на основании данных первичного учета согласно показаниям измерительных приборов .
При отсутствии измерительных приборов объем фактически использованной воды определяется по технологическим данным (длительность работы агрегатов, объем выработанной продукции или предоставленных услуг, затраты электроэнергии, пропускная способность водопроводных труб за единицу времени и т. п.).
Однако нужно помнить о том, что, если есть возможность установки измерительных приборов, а фактически они не установлены, сбор уплачивается в двукратном размере (пункт 326.10 Налогового кодекса).
Что касается декларации о воде, то водопользователь, который, невзирая на возможность установки измерительных приборов, их не установил, объем фактически использованной воды определяет по технологическим данным, а сумму сбора, подлежащую уплате, отражает в декларации о воде в двойном размере (см. формулу расчета, приведенную в колонке 9 декларации, и примечание 6 к ней).
Правда, о том, кто вправе определять наличие или отсутствие возможности установки измерительных приборов, ничего не сказано ни в Налоговом кодексе, ни в разъяснениях ГНАУ. Поэтому данный вопрос пока остается без ответа.
Ставки сбора за воду указаны в статье 325 Налогового кодекса. При этом согласно пункту 4 раздела XIX Налогового кодекса Кабмин обязан ежегодно предлагать на утверждение новые ставки сбора за воду (установленные в гривнях) с учетом индексации.
С 13.01.2012 г. вступил в силу Закон № 4235, которым с этой даты были увеличены ставки сбора в 1,113 раза. В связи с этим ГНСУ в своем письме от 28.02.2012 г. № 5847/7/15-2117 разъяснила, что при исчислении налоговых обязательств за период с 01.01.2012 г. по 12.01.2012 г. включительно применяются ставки сбора, которые действовали в 2011 году, а начиная с 13.01.2012 г. — новые, в соответствии с Законом № 4235.
В связи с этим ГНСУ рекомендует отображать данные в декларации о воде за I квартал 2012 года двумя отдельными строками с соответствующим примечанием в этих строках: «з 01.01.2012 по 12.01.2012 включно» и «з 13.01.2012 по 31.03.2012 включно». Размер ставок сбора за воду можно узнать из справочника на с. 46 этого номера.
Выбирая нужную ставку сбора за воду, предпринимателю крайне важно иметь в своем распоряжении информацию о том:
— из какого источника поступает вода (надземного или подземного), а также знать наименование надземного источника или область (район) расположения подземного источника;
— какое значение имеет источник воды: общегосударственное или местное;
— какой лимит водопотребления установлен для каждого источника.
Такая информация содержится в разрешении на спецводопользование либо в договоре на поставку воды.
Теперь следует обратить внимание на еще один важный нюанс. Так, согласно пункту 327.3 Налогового кодекса в случае отсутствия у водопользователя разрешения на специальное водопользование с установленными в нем лимитами использования воды сбор взимается за весь объем использованной воды, подлежащей оплате как за сверхлимитное использование, т. е. в пятикратном размере.
Означает ли это, что у любого предпринимателя обязательно должно быть разрешение на водопользование? На самом деле, нет. Разъяснение на этот счет предоставило Минприроды в письме от 15.03.2011 г. № 5515/16/10-11-МП.
Итак, разрешение на специальное водопользование должен получить только первичный водопользователь, так как именно он в соответствии со статьей 42 ВКУ имеет собственные водозаборные сооружения и соответствующее оборудование для забора воды.
Вторичный же водопользователь получать отдельное разрешение на специальное использование воды не должен. С этим, кстати, соглашаются и налоговики (письмо ГНАУ от 12.04.2011 г. № 10282/7/15-0817). Вместо разрешения они готовы принять от вторичных водопользователей такой документ, как договор на поставку воды.
При этом Минприроды обратил внимание на то, что поскольку вторичный водопользователь не получает отдельного разрешения на использование воды, он не должен ориентироваться на лимит, установленный первичному водопользователю.
Следовательно, о сверхлимитном использовании воды и уплате сбора в пятикратном размере вторичным водопользователем можно говорить только в том случае, когда он превысит лимит, установленный для первичного водопользователя.
На наш взгляд, такой подход является полностью справедливым, ведь даже если в договоре между первичным и вторичным водопользователями оговорен объем воды, которая может быть использована вторичным водопользователем, такой объем не является «лимитом» в понимании Налогового кодекса.
Тем не менее советуем предпринимателям, которые получают воду по договору, перестраховаться и указать «лимит» использования воды в договоре на поставку воды. В дальнейшем лучше все-таки ориентироваться именно на этот объем как на лимит при расчете сбора за воду.
Еще одна проблема, с которой может столкнуться предприниматель — водопользователь, — это получение воды из смешанного источника. Как рассчитывать сумму сбора за воду в этом случае?
Если придерживаться норм Налогового кодекса, в частности пункта 326.3, то водопользователи, использующие воду из смешанного источника, должны распределять объем воды, опираясь на соотношение, в котором формируется смешанный источник. Найти такое соотношение водопользователи могут в разрешениях на специальное использование воды и/или в договорах на поставку воды.
Если такое соотношение не указано ни в договоре на поставку воды, ни в разрешении на спецводопользование, то для распределения воды, полученной из смешанного источника, предпринимателю придется ориентироваться на усредненное соотношение, в котором формируется смешанный источник. Данное усредненное соотношение плательщик сбора может узнать в органах ГНС, которые получают настоящую информацию для использования в своей работе от водопоставщиков.
Заметим, что в случае, когда информация о соотношении, в котором формируется такой смешанный источник, в договоре и/или разрешении присутствует, но не совпадает с данными ГНС, субъект хозяйствования для расчетов должен ориентироваться на соотношение, которое содержится в договоре на поставку воды и/или разрешении на специальное использование воды. Поскольку в соответствии с пунктом 326.3 Налогового кодекса именно соотношение, указанное в разрешении и/или договоре, должно использоваться для расчета сбора за спецводопользование.
На наш взгляд, рассчитывать размер сбора нужно отдельно для каждого источника, входящего в смешанный источник, применив соответствующие ставки сбора. Следовательно, и в декларации плательщик должен отразить отдельно эти источники так, как будто он получал воду не из одного смешанного источника, а из каждого источника отдельно (пункт 325.12 Налогового кодекса).
Однако налоговики на местах по-другому понимают порядок расчета сбора за спецводопользование в этом случае. Так, они настаивают на том, что соотношение, в котором формируется смешанный источник, стоит применять не к объемам полученной воды из такого источника, а к определению ставки сбора. Поэтому в декларации плательщик сбора, на их взгляд, должен отобразить получение воды из смешанного источника как из отдельного водного объекта, а ставку сбора должен определить самостоятельно как средневзвешенную ставку сбора по смешанному источнику, в том соотношении, в котором сформирован такой источник.
На наш взгляд, мнение налоговиков ошибочно , поскольку из пункта 325.12 Налогового кодекса четко видно, что плательщик должен использовать те ставки сбора за воду, которые установлены для источников, формирующих смешанный источник: «При условии использования воды из смешанных источников водоснабжения применяются ставки сбора, установленные для источников, из которых формируются (наполняются) смешанные источники».
Как видим, ни о каком перерасчете ставок в Налоговом кодексе нет и речи. Тем не менее, сам предприниматель может выбрать для себя приемлемый вариант расчета, ориентируясь на желание/или нежелание спорить с налоговиками. Ведь, в конечном итоге, сумма сбора за воду будет одинакова при любом подходе к расчетам. Давайте убедимся в этом на примере.
ПРИМЕР
Допустим, предприниматель использует воду из смешанного источника. В смешанный источник вода поступает из источника «А» и источника «Б» в соотношении «а:b» (например, 2:3). Общий объем воды, израсходованный из смешанного источника (V), равен 100 куб. м.
В таком случае, если мы будем рассчитывать сумму сбора за воду по требованиям Налогового кодекса, то получим:
1) объем воды, израсходованной из источника «А», равен: V x a / (а + b).
В цифрах это будет выглядеть так: 100 х 2/5 = 40 (куб. м);
2) объем воды, израсходованной из источника «Б», соответственно равен V x b / (а + b).
В цифрах — 100 х 3/5 = 60 (куб. м);
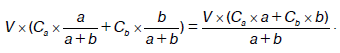
3) в таком случае сумма сбора за воду будет равна :
![]()
где Са — ставка сбора за воду из источника «А» (возьмем 32,46 грн. за 100 куб. м);
Сb — ставка сбора за воду из источника «Б» (возьмем 36,18 грн. за 100 куб. м).
В цифрах получим: 32,46 х (40/100) + 36,18 х (60/100) = 34,69 (грн.).
Теперь давайте применим подход налоговиков. При этом сначала нужно вычислить средневзвешенную ставку сбора за воду. Рассчитывается она на основании все того же соотношения: вода поступает из источника «А» и источника «Б» в соотношении «а:b». В таком случае:
1) ставка сбора за воду (средневзвешенная) равна:
![]()
В цифрах это будет: 32,46 х 2/5 + 36,18 х 3/5 = 34,69 (грн. за 100 куб. м);
2) сумма сбора за воду равна произведению общего объема использованной воды на средневзвешенную ставку:

В цифрах сумма сбора за воду равна 100/100 х 34,69 = 34,69 (грн.).
Как видим, в обоих случаях итоговый результат совпадает.
Теперь перейдем непосредственной к особенностям заполнения декларации о воде (табл. 2).
Таблица 2
Руководство по заполнению декларации о воде
| Реквизит | Что указывать |
| 1 | 2 |
| Заглавная часть | |
| «Порядковий № за рік» | Указывается порядковый номер декларации о воде, считая с начала года. При этом если предприниматель исправляет ошибку и подает уточняющую декларацию, он ее нумерует по порядку, как и обычный отчет, не указывая никакого специфического номера |
| «Звітна», «звітна нова», «уточнююча» | Отметка «x» поставляется возле одной из граф: |
| «Звітний (податковий) період, за який подається податкова декларація» | В данной строке указывается отчетный период, за который подается декларация о воде (квартал, полугодие, три квартала или год) и записывается соответствующий год |
| «Звітний (податковий) період, що уточнюється» | Данная строка заполняется только в случае подачи уточняющей декларации о воде. В ней указывается отчетный период, в котором была допущена ошибка и за который теперь подается исправленная декларация |
| «Повне найменування (прізвище, ім’я, по батькові) платника» | Записываются полностью фамилия, имя и отчество предпринимателя |
| «Юридична особа», «фізична особа — підприємець», «постійне представництво нерезидента» | Знак «x» ставится возле графы «фізична особа — підприємець» |
| «Код згідно з ЄДРПОУ або податковий номер» | Предприниматель данную графу не заполняет, поскольку она предназначена для юрлиц |
| «Реєстраційний номер облікової картки платника податків, або номер та серія паспорта» | Указывается регистрационный номер учетной карточки предпринимателя (старое название — идентификационный номер), а если предприниматель отказался от него и имеет соответствующую отметку в паспорте — сюда вносятся данные о серии и номере паспорта предпринимателя |
| «Код органу місцевого самоврядування за основним місцем обліку (реєстрації) в органах державної податкової служби за КОАТУУ» | Указывается код органа местного самоуправления по месту жительства предпринимателя. Код КОАТУУ установлен в ДК 014-97 |
| «Код органу місцевого самоврядування за неосновним місцем обліку (реєстрації) в органах державної податкової служби (за місцезнаходженням водних об’єктів) за КОАТУУ» | Указывается код органа местного самоуправления по месту расположения используемых водных объектов. Код КОАТУУ установлен в ДК 014-97 |
| «Код виду економічної діяльності (КВЕД)» | В данную графу следует внести код вида экономической деятельности по КВЭД. Такой код указан в извлечении из ЕГР, в справке из органа статистики или в справке от налоговиков о системе налогообложения и видах деятельности |
| «Місцезнаходження (місце проживання) платника» | Указывается почтовый адрес места жительства предпринимателя: индекс, междугородний код и телефон (факс). |
| «Найменування органу державної податкової служби, до якого подається декларація:» | Указывается полное наименование налогового органа, расположенного по месту жительства предпринимателя |
| Графы разделов I — IX | |
| «№ з/п» | Указывается порядковый номер записи |
| «Назви водних об'єктів та показники» | В этой колонке указывают названия водных объектов, руководствуясь перечнем водных объектов, указанным в статье 325 Налогового кодекса |
| «Фактичний обсяг використаної води з урахуванням обсягу втрат води у системах водопостачання; фактичний обсяг води, пропущеної через конденсатори турбін для охолодження конденсату; фактичний обсяг води, необхідної для поповнення водних об'єктів (у т. ч. фільтрації, випаровування), куб. м» | Указывается фактический объем использованной воды в куб. м, устанавливаемый по данным первичного учета по показаниям измерительных приборов или при их отсутствии определяемый по технологическим данным (продолжительность работы агрегатов, объем произведенной продукции или предоставленных услуг, расход электроэнергии, пропускная способность водопроводных труб за единицу времени и т. п.) |
| «Ставки збору, грн., коп. / 1 (100; 10000) куб. м» | Для заполнения этой колонки нужно воспользоваться справочником на с. 46 данного номера. |
| «Коефіцієнти, що застосовуються до ставок збору» | Эта колонка предпринимателями не заполняется, поскольку она предназначена для теплоэлектростанций с прямоточной системой водоснабжения или жилищно-коммунальных предприятий (пункт 325.9 Налогового кодекса) |
| «Установлений річний ліміт використання води, куб. м» | По разъяснению ГНАУ, графу 6 декларации сбора за спецводопользование необходимо заполнять так: Данный лимит должен быть указан и в договоре между этими водопользователями. В противном случае (т. е. при отсутствии годового лимита в договоре) в графе 6 ставится прочерк («—»). При этом сбор за воду уплачивается за весь объем использованной воды как за сверхлимитный (т. е. в пятикратном размере) (статья 327 Налогового кодекса) |
| «Суми збору, обчисленого в межах ліміту, грн. коп., | Рассчитывается сбор в пределах лимита по формуле*: |
| «Суми збору, обчисленого понад лімітні обсяги, грн. коп., заповнюється, якщо к. 3 > к. 6 (к. 3 - к. 6) х к. 4 х к. 5 х 5» | Эта графа заполняется только в случае превышения лимитов, указанных в графе 6 (т. е. если графа 3 > графы 6). |
| * Обратите внимание: для правильного расчета сбора за воду (графы 7, 8 и 9) ставки сбора и количество использованной воды при расчете сбора должны учитываться в соизмеримых величинах. То есть если ставка сбора установлена за 100 куб. м, то, поскольку объем использованной воды в колонке 3 всегда приводится в куб. м, при расчете размера сбора за воду необходимо результат умножения ставки сбора и объема использования воды разделить на 100, если же установлена ставка для 10000 куб. м, то нужно произведение разделить на 10000 | |
| «Усього нараховано збору, грн., коп., к. 7 або к. 8 + к. 7 | Заполнять эту колонку следует так: |
| «до державного бюджету, грн., коп.» | В этой графе указывают 50 % суммы сбора за воду, начисленного за использование воды, полученной из источников общегосударственного значения. |
| «до місцевих бюджетів, грн., коп.» | Сюда записывается 50 % суммы сбора, начисленного за использование воды из источников общегосударственного значения, и вся начисленная сумма сбора (100 %) за использование воды, полученной из источников местного значения. |
| Разделы I – III заполняются в декларациях за отчетный период, разделы IV – IX при исправлении ошибок, | |
| Разделы X – XII и другие реквизиты предпринимателя | |
| «Пояснення (розкриття) окремих результатів фінансово-господарської діяльності» | Заполняется при исправлении ошибок в уточняющей декларации или в текущей декларации о воде. Указываются причины, приведшие |
| «Додаток(и) щодо уточнення податкового зобов'язання за минулий(лі) період(и)» | Заполняется при исправлении ошибок в текущей декларации о воде. |
| «Доповнення до податкової декларації (заповнюється і додається відповідно до пункту 46.4 статті 46 розділу II Податкового кодексу України)» | Заполняется при желании налогоплательщика правильно определить налоговое обязательство, если форма декларации, на его взгляд, не позволяет это сделать. Такое право дано ему пунктом 46.4 Налогового кодекса |
| «Дата заповнення декларації (дд.мм.рррр)» | Указывается дата заполнения декларации о воде |
| «Керівник або фізична особа — підприємець» | Проставляется подпись предпринимателя, а также его фамилия и инициалы |
| «Реєстраційний номер облікової картки платника податків або серія, номер паспорта» | Указывается регистрационный номер учетной карточки предпринимателя (старое название — идентификационный номер), а если предприниматель отказался от него и имеет соответствующую отметку в паспорте — сюда вносятся данные о серии и номере паспорта предпринимателя |
| «Головний бухгалтер» | Предприниматель эту графу не заполняет |
Для наглядности рассмотрим пример заполнения декларации на нескольких источниках (см. табл. 3).
Таблица 3
Пример водопотребления предпринимателя в течение I квартала 2012 года
| Источник | Статус | Ставки сбора, грн. за 100 куб. м | Ставки сбора за воду в составе напитка, грн. | Установленный | Фактически использовано, куб. м | |||||
| до 13.01. 2012 г. | с 13.01. 2012 г. | до 13.01. 2012 г. | с 13.01. 2012 г. | всего | в составе | |||||
| (статья 325 Налогового кодекса) | до 13.01. 2012 г. | с 13.01. 2012 г. | до 13.01. 2012 г. | с 13.01. 2012 г. | ||||||
| А | Поверхностный водный объект общегосударственного значения | 25,65 | 28,55 | 25,60 | 28,49 | 1300 | 40 | 260 | 30 | 170 |
| Б | Подземные воды общегосударственного значения | 29,16 | 32,46 | — | — | 400 | 10 | 70 | — | — |
| В | Поверхностный водный объект местного значения | 25,65 | 28,55 | — | — | 900 | 35 | 215 | — | — |
| Г | Подземные воды местного значения | 29,16 | 32,46 | 29,86 | 33,23 | 500 | 15 | 110 | 10 | 90 |
| Д | Подземные воды местного значения | 29,16 | 32,46 | — | — | 400 | 10 | 80 | — | — |
Для начала нужно рассчитать лимиты водопотребления для изготовления напитков так, как это рекомендовали делать налоговики. Итак, лимиты использования воды:
1) для источника А:
— для изготовления напитков — 867 куб. м ((30 + 170) : (40 + 260) х 1300);
— для других нужд — 433 куб. м (1300 - 867);
2) для источника Г:
— для изготовления напитков — 400 куб. м ((10 + 90) : (15 + 110) х 500);
— для других нужд — 100 куб. м (500 - 400).
Приведем фрагмент декларации (в качестве источников А — Д в графе 2 указывают названия водоемов) (см. с. 44).
<…>
| № | Назви водних об'єктів | Фактичний обсяг використаної води з урахуванням обсягу втрат води у системах водопостачання | Ставки збору, грн. коп. / | Коефіцієнти, що застосовуються до ставок збору2 | Установлений річний ліміт використання води, | Суми збору, | Суми збору, | Усього нараховано збору3, грн. коп. к. 7 або к. 8 + к. 7 | У тому числі: | |
| до державного | до місцевих бюджетів3, | |||||||||
| 1 | 2 | 3 | 4 | 5 | 6 | 7 | 8 | 9 | 10 | 11 |
| I | Нарахована сума збору з початку року, усього (р. 1 + р. 2 + р. 3 + р. 4 + р. 5 + р. 6) (крім вод для потреб гідроенергетики та водного транспорту): | 9061,71 | 2832,61 | 6229,10 | ||||||
| 1 | спеціальне використання поверхневих та підземних вод, усього (р. 1.1 + р. 1.2) (крім р. 2, р. 3, р. 4, р. 5, р. 6): | 161,11 | 26,96 | 134,15 | ||||||
| 1.1 | водні об'єкти загальнодержавного значення, усього (р. 1.1.1 + р. 1.1.2), у тому числі: | 53,91 | 26,96 | 26,95 | ||||||
| 1.1.1 | поверхневі водні об'єкти*****: | 28,27 | 14,14 | 14,13 | ||||||
| 1.1.1.1 | Джерело А з 01.01.2012 по 12.01.1012 | 10 | 25,65 | — | 4331 | 2,57 | — | 2,57 | 1,29 | 1,28 |
| 1.1.1.2 | Джерело А з 13.01.2012 по 31.03.2012 включно | 90 | 28,55 | — | 4331 | 25,70 | — | 25,70 | 12,85 | 12,85 |
| 1.1.2 | підземні води та джерела*****: | 25,64 | 12,82 | 12,82 | ||||||
| 1.1.2.1 | Джерело Б з 01.01.2012 по 12.01.1012 включно | 10 | 29,16 | — | 400 | 2,92 | — | 2,92 | 1,46 | 1,46 |
| 1.1.2.2 | Джерело Б з 13.01.2012 по 31.03.2012 включно | 70 | 32,46 | — | 400 | 22,72 | — | 22,72 | 11,36 | 11,36 |
| 1.2 | водні об'єкти місцевого значення, усього (р. 1.2.1 + р. 1.2.2), у тому числі: | 107,20 | — | 107,20 | ||||||
| 1.2.1 | поверхневі водні об'єкти *****: | 70,36 | — | 70,36 | ||||||
| 1.2.1.1 | Джерело В з 01.01.2012 по 12.01.1012 включно | 35 | 25,65 | — | 900 | 8,98 | — | 8,98 | — | 8,98 |
| 1.2.1.2 | Джерело В з 13.01.2012 по 31.03.2012 включно | 215 | 28,55 | — | 900 | 61,38 | — | 61,38 | — | 61,38 |
| 1.2.2 | підземні води та джерела*****: | 36,84 | — | 36,84 | ||||||
| 1.2.2.1 | Джерело Г з 01.01.2012 по 12.01.1012 включно | 5 | 29,16 | — | 100 | 1,46 | — | 1,46 | — | 1,46 |
| 1.2.2.2 | Джерело Г з 13.01.2012 по 31.03.2012 включно | 20 | 32,46 | — | 100 | 6,49 | — | 6,49 | — | 6,49 |
| 1.2.2.3 | Джерело Д з 01.01.2012 по 12.01.1012 включно | 10 | 29,16 | — | 400 | 2,92 | — | 2,92 | — | 2,92 |
| 1.2.2.4 | Джерело Д з 13.01.2012 по 31.03.2012 включно | 80 | 32,46 | — | 400 | 25,97 | — | 25,97 | — | 25,97 |
| 2 | спеціальне використання води, яка входить виключно до складу напоїв, усього (р. 2.1 + р. 2.2) | 8900,60 | 2805,65 | 6094,95 | ||||||
| 2.1 | водні об'єкти загальнодержавного значення, усього (р. 2.1.1 + р. 2.1.2), у тому числі: | 5611,30 | 2805,65 | 2805,65 | ||||||
| 2.1.1 | поверхневі водні об'єкти*****: | 5611,30 | 2805,65 | 2805,65 | ||||||
| 2.1.1.1 | Джерело А з 01.01.2012 по 12.01.1012 включно | 30 | 25,60 | — | 867 | 768,00 | — | 768,00 | 384,00 | 384,00 |
| 2.1.1.2 | Джерело А з 13.01.2012 по 31.03.2012 включно | 170 | 28,49 | — | 867 | 4843,30 | — | 4843,30 | 2421,65 | 2421,65 |
| 2.1.2 | підземні води та джерела*****: | — | — | — | ||||||
| 2.1.2.1 | — | — | — | — | — | — | — | — | — | — |
| 2.1.2.2 | — | — | — | — | — | — | — | — | — | — |
| 2.2 | водні об'єкти місцевого значення, усього (р. 2.2.1 + 2.2.2), у тому числі: | 3289,30 | — | 3289,30 | ||||||
| 2.2.1 | поверхневі водні об'єкти*****: | — | — | — | ||||||
| 2.2.1.1 | — | — | — | — | — | — | — | — | — | — |
| 2.2.1.2 | — | — | — | — | — | — | — | — | — | — |
| 2.2.2 | підземні води та джерела*****: | 3289,30 | — | 3289,30 | ||||||
| 2.2.2.1 | Джерело Г з 01.01.2012 по 12.01.1012 включно | 10 | 29,86 | — | 400 | 298,60 | — | 298,60 | — | 298,60 |
| 2.2.2.2 | Джерело Г з 13.01.2012 по 31.03.2012 включно | 90 | 33,23 | — | 400 | 2990,70 | — | 2990,70 | — | 2990,70 |
| <…> | ||||||||||
| III | Нарахована сума збору за звітний квартал, усього (р. 3.1 + р. 3.2 + р. 3.3 + р. 3.4 + р. 3.5 + р. 3.6): | 9061,71 | 2832,61 | 6229,10 | ||||||
| 3.1 | спеціальне використання поверхневих та підземних вод (р. 1 р. I - р. 2.1 р. II) | 161,11 | 26,96 | 134,15 | ||||||
| 3.2 | спеціальне використання води, яка входить до складу напоїв (р. 2 р. I - р. 2.2 р. II) | 8900,60 | 2805,65 | 6094,95 | ||||||
| <…> | ||||||||||
