Як розрахувати збір за воду і заповнити звітність
У минулому номері нашого видання ми говорили про тих, хто потрапляє до числа платників збору за спеціальне використання води (див. «ВД», 2012, № 6, с. 5). Тепер же ми детально розповімо про розрахунок цього збору та порядок проставляння і заповнення звітності щодо нього.
У 2012 році за цим платежем підприємці, у тому числі єдиноподатники, повинні звітувати щокварталу протягом 40 календарних днів, що настають за звітним кварталом, тобто декларація за I квартал подається не пізніше 10 травня 2012 року.
Оксана ПІРОЖЕНКО, консультант газети «Власне Діло»
Документи статті
Податковий кодекс — Податковий кодекс України від 02.12.2010 р. № 2755-VI.
ВКУ — Водний кодекс України від 06.06.98 р. № 213/95-ВР.
Закон № 4235 — Закон України «Про внесення змін до Податкового кодексу України щодо перегляду ставок деяких податків і зборів» від 22.12.2011 р. № 4235-VI.
Наказ № 1009 — наказ ДПАУ «Про затвердження форм податкових декларацій збору за спеціальне використання води» від 24.12.2010 р. № 1009.
Склад звітності зі збору за воду
Платники збору за спеціальне використання води (далі — збір за воду) зобов'язані розраховувати (нараховувати) його суму у звітності, яку вони подають. Зауважимо, що з 2012 року такими платниками є як підприємець на загальній системі, так і єдиноподатники, що використовують воду з більшості водних об'єктів (детальніше див. «ВД», 2012, № 6, с. 5).
Звітність зі збору за воду поділяється на три види декларацій, форми яких затверджено наказом № 1009 :
— Податкова декларація збору: за спеціальне використання поверхневих та підземних вод; за спеціальне використання поверхневої води теплоелектростанціями з прямоточною системою водопостачання; за спеціальне використання поверхневих і підземних вод житлово-комунальними підприємствами; за спеціальне використання води, яка входить виключно до складу напоїв; за спеціальне використання поверхневих і підземних вод для потреб рибництва; за спеціальне використання кар'єрної, шахтної, дренажної води (далі — декларація про воду);
— Податкова декларація збору за спеціальне використання поверхневих вод для потреб водного транспорту (крім стоянкових та службово-допоміжних суден) (далі — декларація про водний транспорт);
— Податкова декларація збору за спеціальне використання води для потреб гідроенергетики (далі — декларація про гідроенергетику);
Крім цих форм декларацій, існують також і відповідні Перерахунки податкових зобов'язань до них, які подаються в разі уточнення податкових зобов'язань у будь-якій із зазначених декларацій.
Зрозуміло, що останній звіт (декларація про гідроенергетику) підприємців не стосується, тому про нього взагалі не йдеться.
Що ж до декларації про водний транспорт, то з нею підприємці стикаються досить рідко. Річ у тім, що збір за використання води для потреб водного транспорту справляється лише при здійсненні вантажних або пасажирських перевезень на річках. При цьому різні водні атракціони, які часто організовуються на морі, від сплати збору за воду звільнені. А оскільки річкові перевезення — діяльність вельми специфічна, тим більше для підприємців, стосовно декларації про водний транспорт ми розповімо лише побіжно.
Періодичність подання звіту
Декларація про воду подається щокварталу протягом 40 календарних днів , що настають за звітним кварталом. За I квартал 2012 року декларацію потрібно подати не пізніше 10 травня. Декларація про воду складається наростаючим підсумком (за квартал, півріччя, три квартали або рік). Тому якщо підприємець протягом року припинить бути платником збору за воду, він усе одно повинен буде звітувати до кінця року, дублюючи в кожній наступній декларації дані попередньої.
Винятком є лише декларація про водний транспорт. Вона за I квартал не подається і збір за воду для потреб водного транспорту не сплачується ( пункти 328.3 та 328.4 Податкового кодексу). Декларацію про водний транспорт вперше в календарному році подають за півріччя.
Декларацію про воду та декларацію про водний транспорт слід подавати до органу ДПС за місцем проживання підприємця (пункт 328.3 Податкового кодексу).
Одночасно з декларацією про воду підприємець має подати до органу ДПС (пункт 328.7 Податкового кодексу):
— копію дозволу на спеціальне водокористування (первинний водокористувач);
— або копію договору на постачання води (вторинний водокористувач).
Якщо ж підприємець подає декларацію про воду в електронному вигляді, він може подати до ДПІ копії дозволу на спецводокористування або договору на постачання води, в тому порядку, який застосовується для подання «паперових» звітів, тобто:
— навідатися особисто до органу ДПС і подати копії необхідних документів;
— надіслати копії поштою з повідомленням про вручення та описом вкладеного.
Зверніть увагу: якщо граничний строк подання декларації про воду чи декларації про водний транспорт (сороковий день) припаде на святковий або вихідний день, подати такі звіти можна буде в найближчий робочий день після свят (вихідних). Перенесення строку подання податкової декларації (якою є і декларація про воду та декларація про водний транспорт) передбачене пунктом 49.20 Податкового кодексу.
Збір за воду слід сплатити протягом 10 календарних днів , що настають за останнім днем граничного строку подання декларації. При цьому перенесення строку подання декларації в разі, коли він збігається зі святом або вихідним, для цілей сплати збору не враховується. За підсумками I кварталу останній день сплати збору за воду — 18 травня 2012 року.
Збір за воду сплачується за місцем проживання підприємця (пункт 328.4 Податкового кодексу). До речі, на відміну від подання декларації, перенесення граничного строку сплати збору за воду Податковим кодексом не передбачено. Тому сплачувати збір слід заздалегідь, до настання свят (вихідних).
За неподання декларації про воду чи декларації про водний транспорт або затримку при її поданні передбачено відповідальність у вигляді штрафу у розмірі 170 грн., а в разі повторного порушення протягом року — 1020 грн. (стаття 120 Податкового кодексу).
Специфіка складання декларації про воду
Як уже зазначалося на самому початку статті, в декларації про воду наводиться розрахунок збору за воду. Тому для того, щоб правильно скласти цей звіт, спочатку потрібно розглянути основні правила, які застосовуються під час визначення розміру збору за воду.
Отже, збір за воду розраховується як добуток об'єкта оподаткування на ставку збору. Об'єкти оподаткування збором за воду, встановлені статтею 324 Податкового кодексу, наведемо в табл. 1.
Таблиця 1
| Вид використання води | Об'єкт оподаткування збором за воду |
| Спеціальне використання води, отриманої шляхом забору з водних об'єктів та/або від первинних або інших водокористувачів (у тому числі й для використання води при виготовленні напоїв) | Фактичний обсяг води, використовуваний водокористувачами, з урахуванням обсягу втрат води в їх системах водопостачання |
| Збір за спеціальне використання води для потреб водного транспорту | Час використання поверхневих вод вантажним самохідним і несамохідним флотом, що експлуатується (залежно від тоннажності), та пасажирським флотом, що експлуатується (залежно від кількості місць) |
| Збір за спеціальне використання води для потреб рибництва | Фактичний обсяг води, необхідної для поповнення водних об'єктів під час розведення риби та інших водних живих ресурсів, у тому числі для поповнення, яке пов'язане із втратами води на фільтрацію та випаровування |
При цьому якщо водокористувачі застосовують для потреб охолодження обладнання, використовуючи оборотну систему водопостачання, збір обчислюють виходячи із фактичних обсягів води, використаної на підживлення оборотної системи. За всі інші обсяги фактично використаної такими водокористувачами води збір обчислюють на загальних підставах (пункт 326.9 Податкового кодексу).
Обсяг фактично використаної води обчислюється всіма водокористувачами самостійно на підставі даних первинного обліку згідно з показаннями вимірювальних приладів.
За відсутності вимірювальних приладів обсяг фактично використаної води визначається за технологічними даними (тривалість роботи агрегатів, обсяг виробленої продукції чи наданих послуг, витрати електроенергії, пропускна спроможність водопровідних труб за одиницю часу тощо).
Однак слід пам'ятати: якщо існує можливість установлення вимірювальних приладів, а фактично вони не встановлені, збір сплачується у двократному розмірі (пункт 326.10 Податкового кодексу).
Що стосується декларації про воду, то водокористувач, який, незважаючи на можливість установлення вимірювальних приладів, їх не встановив, обсяг фактично використаної води визначає за технологічними даними, а суму збору, що підлягає сплаті, відображає в декларації про воду у подвійному розмірі (див. формулу розрахунку, наведену в колонці 9 декларації, та примітку 6 до неї).
Щоправда, про те, хто має право визначати наявність чи відсутність можливості встановлення вимірювальних приладів, нічого не зазначається ані в Податковому кодексі, ані в роз'ясненнях ДПАУ. Тому це питання поки що залишається без відповіді.
Ставки збору за воду зазначено в статті 325 Податкового кодексу. При цьому згідно з пунктом 4 розділу XIX Податкового кодексу Кабмін зобов'язаний щорічно пропонувати на затвердження нові ставки збору за воду (встановлені в гривнях) з урахуванням індексації.
З 13.01.2012 р. набув чинності Закон № 4235, яким з цієї дати було збільшено ставки збору в 1,113 раза. У зв'язку з цим ДПСУ у своєму листі від 28.02.2012 р. № 5847/7/15-2117 роз'яснила, що при обчисленні податкових зобов'язань за період з 01.01.2012 р. по 12.01.2012 р. включно застосовуються ставки збору, які діяли у 2011 році, а починаючи з 13.01.2012 р. — нові, відповідно до Закону № 4235.
У зв'язку з цим ДПСУ рекомендує відображувати дані в декларації про воду за I квартал 2012 року двома окремими рядками з відповідною приміткою в цих рядках: «з 01.01.2012 по 12.01.1012 включно» та «з 13.01.2012 по 31.03.2012 включно». Розмір ставок збору за воду можна дізнатися з довідника на с. 46 цього номера.
Вибираючи потрібну ставку збору за воду, підприємцю украй важливо мати у своєму розпорядженні інформацію про те:
— з якого джерела надходить вода (надземного чи підземного), а також знати найменування надземного джерела або область (район) розташування підземного джерела;
— яке значення має джерело води: загальнодержавне чи місцеве;
— встановлений ліміт водоспоживання для кожного джерела.
Така інформація міститься в дозволі на спецводокористування або в договорі на постачання води.
Тепер слід звернути увагу на ще один важливий момент. Так, згідно з пунктом 327.3 Податкового кодексу за відсутності у водокористувача дозволу на спеціальне водокористування із встановленими в ньому лімітами використання води збір справляється за весь обсяг використаної води, що підлягає оплаті як за понадлімітне використання, тобто в п'ятикратному розмірі.
Чи означає це, що у будь-якого підприємця обов'язково має бути дозвіл на водокористування? Взагалі кажучи, ні. Роз'яснення з цього приводу надало Мінприроди у листі від 15.03.2011 р. № 5515/16/10-11-МП.
Отже, дозвіл на спеціальне водокористування повинен отримати лише первинний водокористувач, оскільки саме він відповідно до статті 42 ВКУ має власні водозабірні споруди та відповідне обладнання для забору води.
Вторинний же водокористувач отримувати окремий дозвіл на спеціальне використання води не повинен. З цим, до речі, згодні й податківці (лист ДПАУ від 12.04.2011 р. № 10282/7/15-0817). Замість дозволу вони готові прийняти від вторинних водокористувачів такий документ, як договір на постачання води.
При цьому Мінприроди звернуло увагу на те, що оскільки вторинний водокористувач не отримує окремого дозволу на використання води, він не повинен орієнтуватися на ліміт, установлений первинному водокористувачу.
Отже, про понадлімітне використання води та сплату збору в п'ятикратному розмірі вторинним водокористувачем можна говорити лише у тому разі, коли він перевищить ліміт, установлений для первинного водокористувача.
На наш погляд, такий підхід цілком справедливий, адже навіть якщо в договорі між первинним і вторинним водокористувачами обумовлено обсяг води, яка може бути використана вторинним водокористувачем, такий обсяг не є «лімітом» у розумінні Податкового кодексу.
І все ж радимо підприємцям, які отримують воду за договором, перестрахуватися — зазначити «ліміт» використання води в договорі на постачання води. Надалі краще все-таки орієнтуватися саме на цей обсяг як на ліміт при розрахунку збору за воду.
Ще одна проблема, з якою може зіткнутися підприємець-водокористувач, — це отримання води зі змішаного джерела. Як розраховувати суму збору за воду в цьому випадку?
Якщо дотримуватися норм Податкового кодексу, зокрема пункту 326.3, то водокористувачі, які використовують воду із змішаного джерела, повинні розподіляти обсяг води, спираючись на співвідношення, в якому формується змішане джерело. Знайти таке співвідношення водокористувачі можуть у дозволах на спеціальне використання води та/або в договорах на постачання води.
Якщо таке співвідношення не зазначене ані в договорі на постачання води, ані в дозволі на спецводокористування, то для розподілу води, отриманої із змішаного джерела, підприємцю доведеться орієнтуватися на усереднене співвідношення, в якому формується змішане джерело. Це усереднене співвідношення платник збору може дізнатися в органах ДПС, які отримують таку інформацію для використання у своїй роботі від водопостачальників.
Зауважимо, що у разі, коли інформація про співвідношення, в якому формується таке змішане джерело в договорі та/або дозволі, є, але вона не збігається з даними ДПС, суб'єкт господарювання для розрахунків повинен орієнтуватися на співвідношення, яке міститься в договорі на постачання води та/або дозволі на спеціальне використання води, оскільки відповідно до пункту 326.3 Податкового кодексу саме співвідношення, зазначене в дозволі та/або договорі, має використовуватися для розрахунку збору за спецводокористування.
На наш погляд, розраховувати розмір збору потрібно окремо для кожного джерела, що входить до змішаного джерела, застосувавши відповідні ставки збору. Отже, і в декларації платник має відобразити окремо такі джерела так, ніби він отримував воду не з одного змішаного джерела, а з кожного джерела окремо (пункт 325.12 Податкового кодексу).
Проте податківці на місцях інакше розуміють порядок розрахунку збору за спецводокористування в цьому випадку. Так, вони наполягають на тому, що співвідношення, в якому формується змішане джерело, слід застосовувати не до обсягів отриманої води зі змішаного джерела, а до визначення ставки збору. Тому в декларації платник збору, на їхню думку, повинен відображувати отримання води зі змішаного джерела як з окремого водного об'єкта, а ставку збору він має визначити самостійно як середньозважену ставку збору за змішаним джерелом, у тому співвідношенні, в якому сформовано таке змішане джерело.
На наш погляд, думка податківців помилкова , оскільки в пункті 325.12 Податкового кодексу прямо зазначено, що платник повинен використовувати ті ставки збору за воду, які встановлено для джерел, що формують змішане джерело: «За умови використання води із змішаних джерел водопостачання застосовуються ставки збору, встановлені для джерел, з яких формуються (наповнюються) змішані джерела».
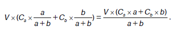
Як бачимо, ні про який перерахунок ставок у Податковому кодексі немає й мови. Проте сам підприємець може обрати для себе прийнятний варіант розрахунку, орієнтуючись на бажання/чи небажання сперечатися з податківцями. Адже, зрештою, сума збору за воду буде однакова за будь-якого підходу до розрахунків. Переконаймося в цьому на прикладі.
Приклад. Припустимо, що підприємець використовує воду зі змішаного джерела. До змішаного джерела вода надходить із джерела «А» та джерела «Б» у співвідношенні «а:b» (наприклад, 2:3). Загальний обсяг води, витрачений із змішаного джерела (V), дорівнює 100 куб. м.
У такому разі, якщо ми розраховуватимемо суму збору за воду, як того вимагає Податковий кодекс, то отримаємо:
1) обсяг води, витраченої з джерела «А», дорівнює: V x а / (а + b).
У цифрах це матиме такий вигляд: 100 х 2/5 = 40 (куб. м);
2) обсяг води, витраченої з джерела «Б», відповідно дорівнює V x b / (а + b).
У цифрах — 100 х 3/5 = 60 (куб. м);
3) у такому разі сума збору за воду дорівнюватиме:
![]()
Са— ставка збору за воду з джерела «А» (нехай буде 32,46 грн. за 100 куб. м);
Сб — ставка збору за воду з джерела «Б» (нехай буде 36,18 грн. за 100 куб. м).
У цифрах отримаємо: 32,46 х (40/100) + 36,18 х (60/100) = 34,69 (грн.).
Тепер застосуємо підхід податківців. При цьому спочатку потрібно обчислити середньозважену ставку збору за воду. Розраховується вона на підставі все того ж співвідношення: вода надходить із джерела «А» та джерела «Б» у співвідношенні «а:b». У такому разі:
1) ставка збору за воду (середньозважена) дорівнює:
![]()
У цифрах це буде: 32,46 х 2/5 + 36,18 х 3/5 = 34,69 (грн. за 100 куб. м);
2) сума збору за воду дорівнює добутку загального обсягу використаної води та середньозваженої ставки:
У цифрах сума збору за воду дорівнює 100/100 х 34,69 = 34,69 (грн.).
Як бачимо, в обох випадках підсумковий результат збігається.
Тепер перейдемо безпосередньо до особливостей заповнення декларації про воду (табл. 2).
Таблиця 2
Порадник із заповнення декларації про воду
| Реквізит | Що зазначати |
| 1 | 2 |
| Заголовна частина | |
| «Порядковий № за рік» | Зазначається порядковий номер декларації про воду, рахуючи з початку року. При цьому якщо підприємець виправляє помилку і подає уточнюючу декларацію, він її нумерує за порядком, як і звичайний звіт, не зазначаючи жодного специфічного номера |
| «Звітна», «звітна нова», «уточнююча» | Відмітка «X» проставляється біля однієї з граф: |
| «Звітний (податковий) період, за який подається податкова декларація» | У цьому рядку зазначається звітний період, за який подається декларація про воду (квартал, півріччя, три квартали чи рік), і записується відповідний рік |
| «Звітний (податковий) період, | Цей рядок заповнюється лише в разі подання уточнюючої декларації про воду. У ній зазначається звітний період, в якому було допущено помилку і за який тепер подається виправлена декларація |
| «Повне найменування (прізвище, ім’я, по батькові) платника» | Записуються повністю прізвище, ім'я та по батькові підприємця |
| «Юридична особа», «Фізична особа — підприємець», «постійне представництво нерезидента» | Знак «X» ставиться біля графи «фізична особа — підприємець» |
| «Код згідно з ЄДРПОУ або податковий номер» | Підприємець цю графу не заповнює, оскільки вона призначена для юросіб |
| «Реєстраційний номер облікової картки платника податків, або номер та серія паспорта» | Зазначається реєстраційний номер облікової картки підприємця (стара назва — ідентифікаційний номер), а якщо підприємець відмовився від нього і має відповідну відмітку в паспорті — сюди вносяться дані про серію та номер паспорта підприємця |
| «Код органу місцевого самоврядування за основним місцем обліку (реєстрації) в органах державної податкової служби за КОАТУУ» | Зазначається код органу місцевого самоврядування за місцем проживання підприємця. Код КОАТУУ встановлено в ДК 014-97 |
| «Код органу місцевого самоврядування за неосновним місцем обліку (реєстрації) в органах державної податкової служби (за місцезнаходженням водних об’єктів) за КОАТУУ» | Зазначається код органу місцевого самоврядування за місцем розташування використовуваних водних об'єктів. Код КОАТУУ встановлено в ДК 014-97 |
| «Код виду економічної діяльності (КВЕД)» | До цієї графи слід внести код виду економічної діяльності за КВЕД. Такий код зазначено у витягу з ЄДР, у довідці з органу статистики або в довідці від податківців про систему оподаткування та види діяльності |
| «Місцезнаходження (місце проживання) платника» | Зазначається поштова адреса місця проживання підприємця: індекс, міжміський код і телефон (факс). |
| «Найменування органу державної податкової служби, до якого подається декларація:» | Зазначається повне найменування податкового органу, розташованого за місцем проживання підприємця |
| Графи розділів I — IX | |
| «№ з/п» | Зазначається порядковий номер запису |
| «Назви водних об'єктів | У цій колонці зазначають назви водних об'єктів, керуючись переліком водних об'єктів, наведеним у статті 325 Податкового кодексу |
| «Фактичний обсяг використаної води з урахуванням обсягу втрат води в системах водопостачання; фактичний обсяг води, пропущеної через конденсатори турбін для охолодження конденсату; фактичний обсяг води, необхідної для поповнення водних об'єктів | Зазначається фактичний обсяг використаної води в куб. м, |
| «Ставки збору, грн., коп. / 1 (100; 10000) куб. м» | Для заповнення цієї колонки потрібно скористатися довідником на с. 46 цього номера. |
| «Коефіцієнти, що застосовуються до ставок збору» | Цю колонку підприємці не заповнюють, оскільки вона призначена для теплоелектростанцій з прямоточною системою водопостачання або житлово-комунальних підприємств (пункт 325.9 Податкового кодексу) |
| «Установлений річний ліміт використання води, куб. м» | За роз'ясненням ДПАУ, графу 6 декларації збору за спецводокористування необхідно заповнювати так: |
| «Суми збору, обчисленого в межах ліміту, грн. коп., к. 3 або к. 6 | Розраховується збір у межах ліміту, за формулою*: |
| «Суми збору, обчисленого понад лімітні обсяги, грн. коп., заповнюється, якщо к. 3 > к. 6 (к. 3 - к. 6) х к. 4 х к. 5 х 5» | Ця графа заповнюється лише в разі перевищення лімітів, зазначених у графі 6 (тобто якщо графа 3 > графи 6). |
| * Зверніть увагу: для правильного розрахунку збору за воду (графи 7, 8 та 9) ставки збору і кількість використаної води при розрахунку збору повинні враховуватися у сумірних величинах. Тобто якщо ставку збору встановлено за 100 куб. м, то, оскільки обсяг використаної води в колонці 3 завжди наводиться в куб. м, при розрахунку розміру збору за воду необхідно результат множення ставки збору та обсягу використання води розділити на 100, якщо ж встановлено ставку для 10000 куб. м, то потрібно добуток поділити на 10000. | |
| «Усього нараховано збору, грн., коп., к. 7 або к. 8 + к. 7 або к. 3 х х (к. 4/1 (100; 10000)) х к. 5 або | Заповнювати цю колонку слід так: |
| «до державного бюджету, | У цій графі зазначають 50 % суми збору за воду, нарахованого за використання води, отриманої з джерел загальнодержавного значення. |
| «до місцевих бюджетів, грн., коп.» | Сюди записується 50 % суми збору, нарахованого за використання води з джерел загальнодержавного значення, та вся нарахована сума збору (100 %) за використання води, отриманої з джерел місцевого значення. |
| Розділи I — III заповнюються в деклараціях за звітний період, розділи IV — IX при виправленні помилок, | |
| Розділи X — XII та інші реквізити підприємця | |
| «Пояснення (розкриття) окремих результатів фінансово-господарської діяльності» | Заповнюється при виправленні помилок в уточнюючій декларації або в поточній декларації про воду. Зазначаються причини, що призвели до виникнення помилки |
| «Додаток(и) щодо уточнення податкового зобов'язання за минулий(і) період(и)» | Заповнюється при виправленні помилок у поточній декларації про воду. У такому разі до звіту додається перерахунок податкового зобов'язання збору за спеціальне використання води |
| «Доповнення до податкової декларації (заповнюється і додається відповідно до пункту 46.4 статті 46 розділу II Податкового кодексу України)» | Заповнюється за бажанням платника податків правильно визначити податкове зобов'язання, якщо форма декларації, на його думку, не дозволяє це зробити. Таке право надане йому пунктом 46.4 Податкового кодексу |
| «Дата заповнення декларації | Зазначається дата заповнення декларації про воду |
| «Керівник або фізична особа — підприємець» | Поставляється підпис підприємця, а також його прізвище та ініціали |
| «Реєстраційний номер облікової картки платника податків або серія, номер паспорта» | Зазначається реєстраційний номер облікової картки підприємця (стара назва — ідентифікаційний номер), а якщо підприємець відмовився від нього і має відповідну відмітку в паспорті — сюди вносяться дані про серію та номер паспорта підприємця |
| «Головний бухгалтер» | Підприємець цю графу не заповнює |
Для наочності розглянемо приклад заповнення декларації на декількох джерелах (див. табл. 3)
Таблиця 3
Приклад водоспоживання підприємця протягом I кварталу 2012 року
| Джерело | Статус джерела | Ставки збору, грн. | Ставки збору за воду у складі напою, грн. | Встановлений річний ліміт, | Фактично використано, куб. м | |||||
| до 13.01. 2012 р. | з 13.01. 2012 р. | до 13.01. 2012 р. | з 13.01. 2012 р. | усього | у складі напоїв | |||||
| (стаття 325 Податкового кодексу) | до 13.01. 2012 р. | з 13.01. 2012 р. | до 13.01. 2012 р. | з 13.01. 2012 р. | ||||||
| А | Поверхневий водний об'єкт загальнодержавного | 25,65 | 28,55 | 25,60 | 28,49 | 1300 | 40 | 260 | 30 | 170 |
| Б | Підземні води загальнодержавного | 29,16 | 32,46 | — | — | 400 | 10 | 70 | — | — |
| В | Поверхневий водний об'єкт місцевого значення | 25,65 | 28,55 | — | — | 900 | 35 | 215 | — | — |
| Г | Підземні води місцевого значення | 29,16 | 32,46 | 29,86 | 33,23 | 500 | 15 | 110 | 10 | 90 |
| Д | Підземні води місцевого значення | 29,16 | 32,46 | — | — | 400 | 10 | 80 | — | — |
Спершу потрібно розрахувати ліміти водоспоживання для виготовлення напоїв так, як це рекомендували робити податківці. Отже, ліміти використання води:
1) для джерела А:
— для виготовлення напоїв — 867 куб. м ((30 + 170) : (40 + 260) х 1300);
— для інших потреб — 433 куб. м (1300 - 867);
2) для джерела Г:
— для виготовлення напоїв — 400 куб. м ((10 + 90) : (15 + 110) х 500);
— для інших потреб — 100 куб. м (500 - 400).
Наведемо фрагмент декларацїї (як джерела А — Д у гр. 2 зазначають назву водоймищ) (див. с. 44).
<…>
| № | Назви водних об'єктів | Фактичний обсяг використаної води з урахуванням обсягу втрат води у системах водопостачання .., куб. м | Ставки збору, грн. коп. / 1 (100; 10000) куб. м | Коефіцієнти, що застосовуються до ставок збору2 | Установлений річний ліміт використання води, | Суми збору, | Суми збору, | Усього нараховано збору3, грн. коп. к. 7 або к. 8 + к. 7 | У тому числі: | |
| до державного | до місцевих бюджетів3, | |||||||||
| 1 | 2 | 3 | 4 | 5 | 6 | 7 | 8 | 9 | 10 | 11 |
| I | Нарахована сума збору з початку року, усього (р. 1 + р. 2 + р. 3 + р. 4 + р. 5 + р. 6) (крім вод для потреб гідроенергетики та водного транспорту): | 9061,71 | 2832,61 | 6229,10 | ||||||
| 1 | спеціальне використання поверхневих та підземних вод, усього (р. 1.1 + р. 1.2) (крім р. 2, р. 3, р. 4, р. 5, р. 6): | 161,11 | 26,96 | 134,15 | ||||||
| 1.1 | водні об'єкти загальнодержавного значення, усього (р. 1.1.1 + р. 1.1.2), у тому числі: | 53,91 | 26,96 | 26,95 | ||||||
| 1.1.1 | поверхневі водні об'єкти*****: | 28,27 | 14,14 | 14,13 | ||||||
| 1.1.1.1 | Джерело А з 01.01.2012 по 12.01.1012 | 10 | 25,65 | — | 4331 | 2,57 | — | 2,57 | 1,29 | 1,28 |
| 1.1.1.2 | Джерело А з 13.01.2012 по 31.03.2012 включно | 90 | 28,55 | — | 4331 | 25,70 | — | 25,70 | 12,85 | 12,85 |
| 1.1.2 | підземні води та джерела*****: | 25,64 | 12,82 | 12,82 | ||||||
| 1.1.2.1 | Джерело Б з 01.01.2012 по 12.01.1012 включно | 10 | 29,16 | — | 400 | 2,92 | — | 2,92 | 1,46 | 1,46 |
| 1.1.2.2 | Джерело Б з 13.01.2012 по 31.03.2012 включно | 70 | 32,46 | — | 400 | 22,72 | — | 22,72 | 11,36 | 11,36 |
| 1.2 | водні об'єкти місцевого значення, усього (р. 1.2.1 + р. 1.2.2), у тому числі: | 107,20 | — | 107,20 | ||||||
| 1.2.1 | поверхневі водні об'єкти *****: | 70,36 | — | 70,36 | ||||||
| 1.2.1.1 | Джерело В з 01.01.2012 по 12.01.1012 включно | 35 | 25,65 | — | 900 | 8,98 | — | 8,98 | — | 8,98 |
| 1.2.1.2 | Джерело В з 13.01.2012 по 31.03.2012 включно | 215 | 28,55 | — | 900 | 61,38 | — | 61,38 | — | 61,38 |
| 1.2.2 | підземні води та джерела*****: | 36,84 | — | 36,84 | ||||||
| 1.2.2.1 | Джерело Г з 01.01.2012 по 12.01.1012 включно | 5 | 29,16 | — | 100 | 1,46 | — | 1,46 | — | 1,46 |
| 1.2.2.2 | Джерело Г з 13.01.2012 по 31.03.2012 включно | 20 | 32,46 | — | 100 | 6,49 | — | 6,49 | — | 6,49 |
| 1.2.2.3 | Джерело Д з 01.01.2012 по 12.01.1012 включно | 10 | 29,16 | — | 400 | 2,92 | — | 2,92 | — | 2,92 |
| 1.2.2.4 | Джерело Д з 13.01.2012 по 31.03.2012 включно | 80 | 32,46 | — | 400 | 25,97 | — | 25,97 | — | 25,97 |
| 2 | спеціальне використання води, яка входить виключно до складу напоїв, усього (р. 2.1 + р. 2.2) | 8900,60 | 2805,65 | 6094,95 | ||||||
| 2.1 | водні об'єкти загальнодержавного значення, усього (р. 2.1.1 + р. 2.1.2), у тому числі: | 5611,30 | 2805,65 | 2805,65 | ||||||
| 2.1.1 | поверхневі водні об'єкти*****: | 5611,30 | 2805,65 | 2805,65 | ||||||
| 2.1.1.1 | Джерело А з 01.01.2012 по 12.01.1012 включно | 30 | 25,60 | — | 867 | 768,00 | — | 768,00 | 384,00 | 384,00 |
| 2.1.1.2 | Джерело А з 13.01.2012 по 31.03.2012 включно | 170 | 28,49 | — | 867 | 4843,30 | — | 4843,30 | 2421,65 | 2421,65 |
| 2.1.2 | підземні води та джерела*****: | — | — | — | ||||||
| 2.1.2.1 | — | — | — | — | — | — | — | — | — | — |
| 2.1.2.2 | — | — | — | — | — | — | — | — | — | — |
| 2.2 | водні об'єкти місцевого значення, усього (р. 2.2.1 + 2.2.2), у тому числі: | 3289,30 | — | 3289,30 | ||||||
| 2.2.1 | поверхневі водні об'єкти*****: | — | — | — | ||||||
| 2.2.1.1 | — | — | — | — | — | — | — | — | — | — |
| 2.2.1.2 | — | — | — | — | — | — | — | — | — | — |
| 2.2.2 | підземні води та джерела*****: | 3289,30 | — | 3289,30 | ||||||
| 2.2.2.1 | Джерело Г з 01.01.2012 по 12.01.1012 включно | 10 | 29,86 | — | 400 | 298,60 | — | 298,60 | — | 298,60 |
| 2.2.2.2 | Джерело Г з 13.01.2012 по 31.03.2012 включно | 90 | 33,23 | — | 400 | 2990,70 | — | 2990,70 | — | 2990,70 |
| <…> | ||||||||||
| III | Нарахована сума збору за звітний квартал, усього (р. 3.1 + р. 3.2 + р. 3.3 + р. 3.4 + р. 3.5 + р. 3.6): | 9061,71 | 2832,61 | 6229,10 | ||||||
| 3.1 | спеціальне використання поверхневих та підземних вод (р. 1 р. I - р. 2.1 р. II) | 161,11 | 26,96 | 134,15 | ||||||
| 3.2 | спеціальне використання води, яка входить до складу напоїв (р. 2 р. I - р. 2.2 р. II) | 8900,60 | 2805,65 | 6094,95 | ||||||
| <…> | ||||||||||
