Энциклопедия единоналожника: бывшего, будущего, настоящего
Подходит к концу 2013 год, и многие предприниматели задумываются о том, на какой системе налогообложения работать в новом году, стоит ли что-либо изменить в своей деятельности. В помощь читателям мы подготовили справочник, в котором собрали основную информацию об упрощенной системе налогообложения:
— кто может стать единоналожником;
— какие виды деятельности запрещены на «упрощенке»;
— какие существуют группы единоналожников;
— каковы основные правила работы в каждой группе;
— как перейти на единый налог;
— как отказаться от единого налога.
Итак, приступим.
Раздел I. Кто может стать единоналожником
В общих чертах определить, сможет предприниматель быть единоналожником или нет, можно с помощью простого алгоритма (см. рисунок).
Теперь давайте подробнее рассмотрим, какие именно виды деятельности запрещены для упрощенцев. Иными словами, если предприниматель намерен заниматься деятельностью из указанных в табл. 1, ему не следует становиться единоналожником.

Рис. Кто может стать единоналожником
Раздел II. Деятельность, запрещенная для единоналожников
Деятельность, запрещенная для единоналожников Таблица 1
| I. Запрещено для всех без исключения предпринимателей-единоналожников (подпункты 291.5.1 — 291.5.3 НКУ) | |||
| 1) организация и проведение азартных игр | |||
| 2) обмен инвалюты | |||
| 3) производство, экспорт, импорт и продажа подакцизных товаров (пива, спирта, алкогольных напитков, табачных изделий и табака, некоторых нефтепродуктов, сжиженного газа, легковых автомобилей, кузовов к ним, прицепов, мотоциклов и др.) | |||
| Обратите внимание! Разрешено продавать: | |||
| 4) добыча, производство, реализация драгоценных металлов и драгоценных камней, в том числе органогенного образования | |||
| Обратите внимание! Разрешено: | |||
| 5) добыча, реализация полезных ископаемых | |||
| Обратите внимание! Разрешена продажа полезных ископаемых местного значения. | |||
| 6) деятельность в сфере финансового посредничества | |||
| Обратите внимание! Разрешена деятельность страховых агентов, сюрвейеров, аварийных комиссаров и аджастеров. | |||
| 7) деятельность по управлению предприятиями | |||
| 8) деятельность по предоставлению услуг почты и связи | |||
| Обратите внимание! Разрешена курьерская деятельность и услуги связи, которые не подлежат лицензированию. | |||
| 9) продажа (перепродажа) предметов искусства, коллекционирования и антиквариата | |||
| 10) организация торгов (аукционов) предметами искусства, коллекционирования и антиквариата | |||
| 11) деятельность по организации и проведению гастрольных мероприятий | |||
| 12) технические испытания и исследования | |||
| 13) деятельность в сфере аудита | |||
| 14) деятельность по предоставлению в аренду земельных участков площадью свыше 2 га | |||
| 15) деятельность по предоставлению в аренду жилых помещений общей площадью свыше 100 кв. м | |||
| 16) деятельность по предоставлению в аренду нежилых помещений (сооружений, строений) и/или их частей общей площадью свыше 300 кв. м | |||
| II. Дополнительно запрещено для конкретной группы | |||
| 1 группа | 2 группа | 3 группа | 5 группа |
| 1) оптовая торговля (т. е. продажа любых товаров предпринимателям или юрлицам) | 1) посредничество при покупке, продаже, аренде и оценке недвижимого имущества (код 68.31 по КВЭД-2010) | Дополнительных ограничений по видам деятельности нет | Дополнительных ограничений по видам деятельности нет |
| Обратите внимание! Заниматься такой деятельностью не в качестве посредника можно (например, сдавать в аренду собственную недвижимость). | |||
| 2) розничная торговля за пределами торговых мест на рынке | 2) предоставление услуг предпринимателям-общесистемщикам или юрлицам — плательщикам налога на прибыль | ||
| 3) предоставление бытовых услуг предпринимателям или юрлицам | 3) изготовление ювелирных и бытовых изделий из драгоценных металлов/камней | ||
| 4) предоставление услуг, не указанных в пункте 291.7 НКУ | 4) продажа оптом или в розницу ювелирных и бытовых изделий | ||
Раздел III. Группы единоналожников и основные правила работы на упрощенной системе

Обратите внимание
Вероятно, предприниматель группы 1 может использовать труд сторонних физлиц на основании гражданско-правовых договоров о выполнении работ (услуг). Однако такие отношения ни в коем случае не должны носить признак трудовых.

Обратите внимание
При исчислении максимального количества работников не учитываются те работники, которые находятся в декрете (т. е. в отпуске в связи с беременностью и родами или для ухода за ребенком до трех лет).

Обратите внимание
При исчислении максимального количества работников не учитываются те работники, которые находятся в декрете (т. е. в отпуске в связи с беременностью и родами или для ухода за ребенком до трех лет).

Основные правила работы на упрощенной системе налогообложения
Таблица 2
| Основные правила работы | Единоналожники | |
| группы 1 и 2 | группы 3 и 5 | |
| 1 | 2 | 3 |
| Книга учета доходов и расходов | Ведут Книгу учета доходов, ежедневно отображая в ней доход (общей суммой по итогам дня) | Неплательщики НДС ведут Книгу так же, как и единоналожники групп 1 и 2 |
| Плательщики НДС заполняют в Книге не только раздел «Доходы», но и раздел «Расходы» | ||
| РРО | РРО могут не применять (часть 6 статьи 9 Закона об РРО и пункт 296.10 НКУ) | |
| Платежные терминалы | Платежные терминалы устанавливать необязательно, но можно это сделать по желанию (письмо Минэкономразвития от 07.05.2013 г. № 3502-06/16081-12) | |
| Форма расчетов | Только денежная (пункт 291.6 НКУ). Это означает, что за проданные товары, работы или услуги можно получить лишь деньги (в наличной либо безналичной форме). Таким образом, бартер, векселя, электронные деньги и т. п. запрещены. Однако разрешен перевод долга (переуступка права требования по обязательству) | |
| Аренда | В НКУ аренда считается услугой, поэтому: 1) единоналожник группы 1 вообще не имеет права предоставлять услуги аренды; 2) единоналожник группы 2 может сдавать в аренду собственную недвижимость только: — гражданам; Все остальные арендаторы — под запретом. Таким образом, если есть необходимость сдавать в аренду недвижимость предпринимателю-общесистемщику или юрлицу — плательщику налога на прибыль, нужно перейти из группы 2 либо в группу 3 (5), либо на общую систему налогообложения | Могут сдавать собственное имущество в аренду любым арендаторам |
| Все единоналожники, занимающиеся арендой, обязаны соблюдать ограничение по площади, сдаваемой в аренду: 1) для земельных участков — не более 0,2 га; 2) для жилых помещений — не более 100 кв. м; 3) для нежилых — не более 300 кв. м. Рассчитывая площадь, во внимание принимается только та часть помещения, которая фактически сдается в аренду (т. е. само помещение может быть и больше, главное, чтобы та его часть, которая сдается в аренду по договору, не превышала указанный лимит). При этом если предприниматель сдает в аренду сразу несколько помещений, их суммарная площадь не должна превышать указанное ограничение. | ||
| Периодичность уплаты единого налога | Ежемесячно. Единый налог уплачивается авансом, не позже 20-го числа текущего месяца | Ежеквартально, в течение 50 календарных дней после окончания отчетного квартала (пункт 296.3 НКУ) |
| Обратите внимание! Если предприниматель группы 1 или 2 работает один (без наемных работников), он может не уплачивать единый налог за определенный период в году. Основания для этого указаны в пункте 295.5 НКУ: — отпуск (за один месяц в году); — болезнь, длящаяся дольше 30 календарных дней (обязательно иметь листок нетрудоспособности). Подробнее о неуплате единого налога за время болезни см. «СД», 2013, № 20, с. 35. | ||
| Периодичность предоставления декларации единоналожника | Ежегодно, в течение 60 календарных дней после окончания отчетного года (пункт 296.2 НКУ) | Ежеквартально, в течение 40 календарных дней после окончания отчетного квартала (пункт 296.3 НКУ) |
| Подробно о заполнении декларации единоналожника см. «СД», 2013, № 7, с. 8 и № 1, с. 19. | ||
| Налоги и сборы, от которых единоналожник освобожден | 1. НДФЛ с доходов, полученных единоналожником от предпринимательской деятельности. 2. НДС (кроме единоналожников группы 3 или 5, которые желают быть плательщиками НДС). 3. Земельный налог за землю, которую единоналожник использует в предпринимательской деятельности (при этом от арендной платы за землю единоналожники не освобождаются). 4. Сбор за осуществление некоторых видов предпринимательской деятельности. 5. Хмелесбор (сбор на развитие виноградарства, садоводства и хмелеводства) | |
| Налоги и сборы, от которых единоналожник не освобождается | При наличии соответствующих оснований единоналожники обязаны уплачивать (помимо единого налога): — экологический налог; Кроме того, единоналожник обязан уплачивать ЕСВ как со своего дохода, так и с дохода наемных работников (пункты 4 и 1 части 1 статьи 4 Закона о ЕСВ). От уплаты ЕСВ «за себя» освобождаются только те единоналожники, которые являются пенсионерами по возрасту (ПФУ сюда не относит пенсионеров по выслуге лет) и инвалидами (часть 4 статьи 4 Закона о ЕСВ) | |
Раздел IV. Доход единоналожников: из чего состоит и на какую дату возникает
Из чего состоит доход единоналожника


Примечания
*В настоящее время на рассмотрении в ВРУ находится законопроект № 3053. Если его примут, то в НКУ появится норма о том, что доходом единоналожника не являются:
— собственные средства, внесенные плательщиком единого налога — физическим лицом на его текущий счет, открытый в учреждении банка для осуществления предпринимательской деятельности;
— основная сумма (без учета процентов) депозита (вклада), которая возвращается плательщику единого налога;
— сумма возвратной финансовой помощи, предоставленной плательщиком единого налога другим лицам, которая возвращается ему.
**Поскольку такие доходы не включаются в доход единоналожника, это означает, что их следует считать «гражданским» доходом физлица. А раз так, значит, данные поступления включаются в общий годовой налогооблагаемый доход физлица и с них уплачивается НДФЛ.
*** Такие суммы не включаются в доход только для целей соблюдения критериев пребывания на упрощенной системе налогообложения (пункт 292.15 НКУ). Поэтому вполне возможно, что налоговики потребуют уплачивать единый налог с суммы такой компенсации, но это может коснуться лишь единоналожников группы 3 или 5.
Подробно о доходах единоналожника мы писали в «СД», 2013, № 15, с. 36.
На какую дату отражать доход
Таблица 3
| Вид дохода | Когда записывать доход в Книгу учета доходов и расходов |
| Доход, полученный в денежной форме (в том числе аванс) | В день получения денежных средств (наличных или в день зачисления средств на текущий счет) |
| Бесплатно полученные товары (работы, услуги) | В день подписания единоналожником акта приема-передачи таких товаров (работ, услуг) |
| Кредиторская задолженность с истекшим сроком исковой давности | В день списания такой задолженности |
| Доход от продажи товаров (услуг) через торговые автоматы, не оборудованные РРО | В день изъятия денежной выручки из торговых автоматов |
| Доход от продажи товаров (работ, услуг) через торговые автоматы с использованием жетонов, карточек или иных заменителей денежных знаков | В день продажи таких жетонов, карточек или иных заменителей денежных знаков |
Итак, теперь предприниматель имеет общее представление о том, как работать на едином налоге. Если указанные правила ему подходят, можно начинать процедуру перехода на упрощенную систему налогообложения. Далее расскажем о том, как именно это сделать.
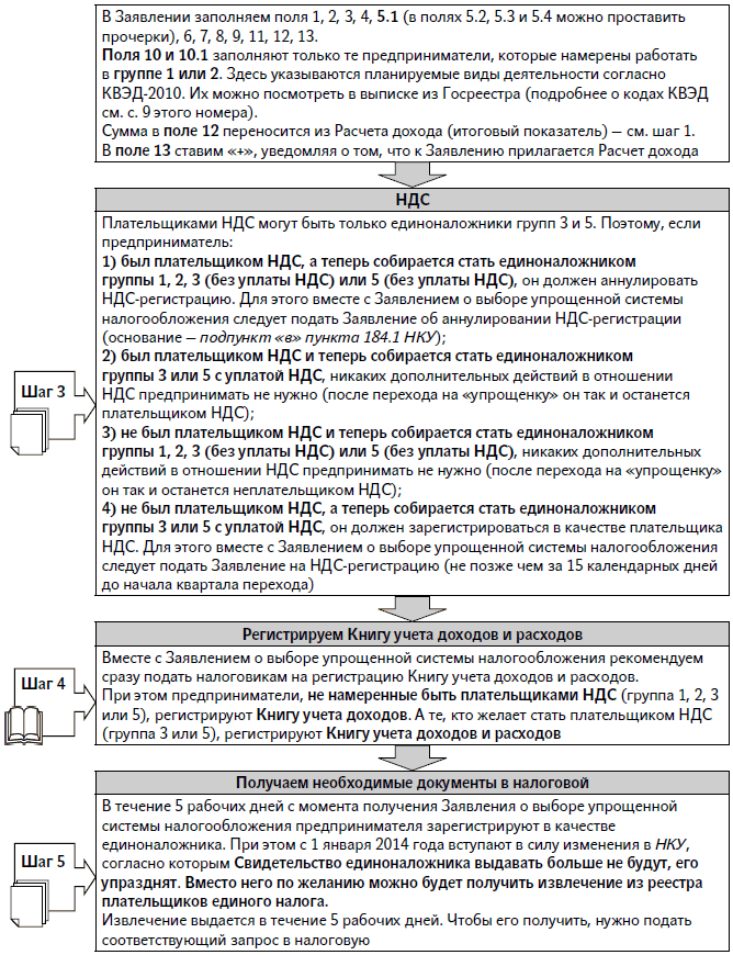
Раздел V. Как перейти на единый налог



О переходных операциях мы подробно рассказывали в «СД», 2013, № 16, с. 25; № 13, с. 13.
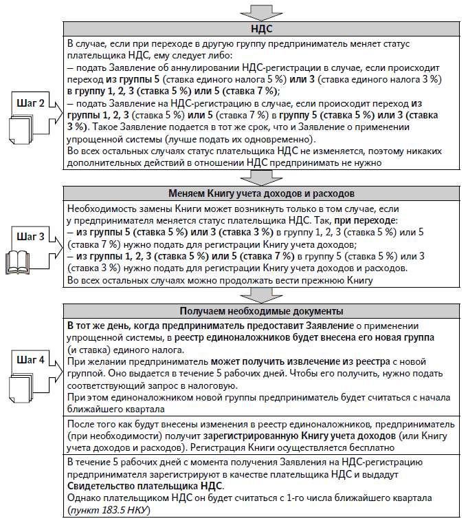
Раздел VI. Как сменить группу единого налога
В первую очередь отметим, что единоналожники могут переходить из группы в группу в любом направлении: как по возрастанию, так и по убыванию. При этом ничем не запрещено перейти, например, из группы 1 сразу в группу 5, или из группы 5 в группу 2. Понять, как осуществить указанные переходы, поможет следующая схема:
Добровольная миграция единоналожников между группами


Наряду с добровольными миграциями между группами, существуют также и обязательные. Они осуществляются только в одном направлении: по возрастанию. Обязанность перейти в «высшую» группу возникает у предпринимателя тогда, когда его годовой доход превышает максимум, допустимый для данной группы.
Понять, как осуществляются обязательные переходы, поможет схема:
Принудительный переход в «высшую» группу

Раздел VII. Как перейти с единого налога на общую систему налогообложения
Добровольный отказ от упрощенной системы налогообложения

Помимо добровольного перехода с упрощенной системы на общую, существует также и принудительный переход. Обязанность покинуть «упрощенку» возникает в том случае, когда предприниматель нарушает правила работы на едином налоге.
Схема действий при обязательном переходе такая же, как и при добровольном. Отличаются только сроки подачи Заявления об отказе от «упрощенки». Подробнее об этом — в табл. 4.
Случаи принудительного перехода на общую систему налогообложения
Таблица 4
| Нарушение | Когда подавать Заявление (об отказе от «упрощенки») | С какого числа предприниматель становится общесистемщиком |
| 1 | 2 | 3 |
| Группа 1 | ||
| Годовой доход превысил 150 тыс. грн. и предприниматель не хочет переходить в группу 2, 3 или 5 | Нужно подать Заявление не позднее 20-го числа месяца, следующего за кварталом превышения* | С 1-го числа месяца, следующего за кварталом превышения |
| Годовой доход превысил 20 млн грн. после того, как предприниматель перешел в группу 5 | ||
| Группа 2 | ||
| Годовой доход превысил 1 млн грн. и предприниматель не хочет переходить в группу 3 или 5 | Нужно подать Заявление не позднее 20-го числа месяца, следующего за кварталом превышения* | С 1-го числа месяца, следующего за кварталом превышения |
| Годовой доход превысил 20 млн грн. после того, как предприниматель перешел в группу 5 | ||
| Группы 1 и 2 | ||
| Применение неденежного способа расчетов (бартер, вексель и т. п.) | Подать Заявление, на наш взгляд, следует сразу, как только стало известно о нарушении (чтобы налоговики при проверке не обнаружили нарушение до того, как получат Заявление**). Однако до конца года предприниматель имеет право быть единоналожником группы 1 или 2 (так как отчетный период для групп 1 и 2 — это календарный год) | С 1-го числа месяца, следующего за годом, в котором произошло нарушение |
| Осуществление деятельности, запрещенной для всех единоналожников (первая часть табл. 1) | Рекомендуем подать Заявление сразу, как только стало известно о нарушении (чтобы налоговики при проверке не обнаружили нарушение до того, как получат Заявление**). | С 1-го числа месяца, следующего за годом, в котором предприниматель осуществил запрещенный вид деятельности |
| Осуществление деятельности, не указанной в Заявлении о применении упрощенной системы налогообложения единоналожника группы 1 или 2 (напоминаем, что Свидетельство единоналожника, в котором ранее указывались виды деятельности, упразднят с 01.01.2014 г.) | ||
| Осуществление деятельности, запрещенной для единоналожников группы 1 или 2 (вторая часть табл. 1)*** | ||
| Единоналожник группы 1 нанял хотя бы одного работника, а группы 2 — нанял 11-го работника (напоминаем, что в группе 2 максимально разрешенное число наемных работников — 10 человек) | Подать Заявление, на наш взгляд, следует сразу, как только стало известно о нарушении (чтобы налоговики при проверке не обнаружили нарушение до того, как получат Заявление**). Однако до конца года предприниматель имеет право быть единоналожником группы 1 или 2 (так как отчетный период для групп 1 и 2 — это календарный год) | С 1-го числа месяца, следующего за годом, в котором предприниматель нанял лишнего работника |
| Наличие налогового долга | Заявление подавать не нужно, налоговики сами аннулируют регистрацию предпринимателя в качестве плательщика единого налога | С 1-го числа месяца, следующего за вторым кварталом долга |
| Группа 3 | ||
| Годовой доход превысил 3 млн грн. и предприниматель не хочет переходить в группу 5 | Нужно подать Заявление не позднее 20-го числа месяца, следующего за кварталом превышения* | С 1-го числа месяца, следующего за кварталом превышения |
| Годовой доход превысил 20 млн грн. после того, как предприниматель перешел в группу 5 | ||
| Предприниматель нанял 21-го работника (напомним, что в группе 3 разрешено использовать не более 20 наемных работников) | Рекомендуем подать Заявление сразу, как только стало известно о нарушении (чтобы налоговики при проверке не обнаружили нарушение до того, как получат Заявление**) | С 1-го числа месяца, следующего за кварталом превышения |
| Группа 5 | ||
| Годовой доход превысил 20 млн грн. | Нужно подать Заявление не позднее 20-го числа месяца, следующего за кварталом превышения* | С 1-го числа месяца, следующего за кварталом превышения |
| Группы 3 и 5 | ||
| Применение неденежного способа расчетов (бартер, вексель и т. п.) | Рекомендуем подать Заявление сразу, как только стало известно о нарушении (чтобы налоговики при проверке не обнаружили нарушение до того, как получат Заявление**) | С 1-го числа месяца, следующего за кварталом нарушения |
| Осуществление деятельности, запрещенной для всех единоналожников (первая часть табл. 1) | ||
| Наличие налогового долга | Заявление подавать не нужно, налоговики сами аннулируют регистрацию предпринимателя в качестве плательщика единого налога | С 1-го числа месяца, следующего за вторым кварталом долга |
Примечания
* Обратите внимание! Перенос срока подачи Заявления в НКУ не предусмотрен. Поэтому, если 20-е число приходится на выходной или праздник, Заявление следует подать заранее.
Например, если превышение дохода произойдет в I квартале 2014 года, то Заявление нужно будет подать не позднее 18 апреля 2014 года.
**Если предприниматель не подаст Заявление, а налоговики при проверке обнаружат нарушение, они сами аннулируют его регистрацию в качестве единоналожника. При этом предприниматель:
1) будет признан общесистемщиком «задним числом», т. е. с 1-го числа месяца, следующего за кварталом нарушения (в том числе члены группы 1 или 2, не дожидаясь конца года) со всеми вытекающими обязанностями и санкциями;
2) не сможет стать единоналожником как минимум в течение четырех последовательных кварталов после принятия решения об аннулировании его регистрации в качестве единоналожника (новая редакция пункта 299.11 НКУ, согласно Закону № 657 (см. с. 4 этого номера; начнет действовать с 01.01.2014 г.).
*** В данной ситуации можно попробовать перейти в высшую группу единоналожников. Это, конечно, не совсем согласуется с нормами НКУ, однако налоговики на данную ситуацию пока смотрят снисходительно. В частности, в письме от 07.12.2012 г. № 6815/0/61-12/23-50.0214 тогда еще ГНСУ разъяснила, что единоналожник группы 2, предоставив услуги плательщику налога на прибыль, может перейти либо:
— в «высшую» группу (3 или 5);
— на общую систему налогообложения. Аналогичное разъяснение есть в БЗ Миндоходов
Подробно о переходных операциях у единоналожника мы писали в «СД», 2013, № 16, с. 25. Об отчетности предпринимателя при переходах см. «СД», 2013, № 9, с. 40.
Документы консультации
НКУ — Налоговый кодекс Украины от 02.12.2010 г. № 2755-VI.
Закон о ЕСВ — Закон Украины «О сборе и учете единого взноса на общеобязательное государственное социальное страхование» от 08.07.2010 г. № 2464-VI.
Закон об РРО — Закон Украины «О применении регистров расчетных операций в сфере торговли, общественного питания и услуг» от 06.07.95 г. № 265/95-ВР.
Закон № 657 — Закон Украины «О внесении изменений в Налоговый кодекс Украины относительно учета и регистрации плательщиков налогов» от 24.10.2013 г. № 657-VII.
Положение № 1394 — Положение о регистрации плательщиков налога на добавленную стоимость, утвержденое приказом Министерства финансов Украины от 07.11.2011 г. № 1394.
Порядок № 1675 — Порядок подачи заявления о применении упрощенной системы налогообложения, утвержденный приказом Министерства финансов Украины от 20.12.2011 г. № 1675.
Законопроект № 3053 (пока еще не принят) — проект Закона «О внесении изменений в Налоговый кодекс Украины (по уточнению состава дохода для плательщиков единого налога)» от 06.08.2013 г. № 3053.
