Енциклопедія єдиноподатника: колишнього, майбутнього, нинішнього
Добігає кінця 2013 рік, і більшість підприємців замислюється над тим, на якій системі оподаткування працювати в новому році, чи є сенс щось змінити у своїй діяльності. На допомогу читачам ми підготували довідник, в якому зібрали основну інформацію про спрощену систему оподаткування:
— хто може стати єдиноподатником;
— які види діяльності заборонені на спрощенці;
— які існують групи єдиноподатників;
— які основні правила праці в кожній групі;
— як перейти на єдиний податок;
— як відмовитися від єдиного податку.
Отже, почнемо.
Розділ I. Хто може стати єдиноподатником
Узагалі визначити, зможе підприємець бути єдиноподатником чи ні, можна за допомогою простого алгоритму (див. рисунок).
Тепер давайте детальніше розглянемо, які саме види діяльності заборонені для спрощенців. Інакше кажучи, якщо підприємець має намір займатися якимось видом діяльності із зазначених в табл. 1, йому не слід ставати єдиноподатником.

Рис. Хто може стати єдиноподатником
Розділ II. Діяльність, заборонена для єдиноподатників
Діяльність, заборонена для єдиноподатників
Таблиця 1
| I. Заборонено для всіх без винятку підприємців-єдиноподатників (підпункти 291.5.1 — 291.5.3 ПКУ) | |||
| 1) організація та проведення азартних ігор | |||
| 2) обмін інвалюти | |||
| 3) виробництво, експорт, імпорт і продаж підакцизних товарів (пива, спирту, алкогольних напоїв, тютюнових виробів і тютюну, деяких нафтопродуктів, скрапленого газу, легкових автомобілів, кузовів до них, причепів, мотоциклів тощо) | |||
| Зверніть увагу! Дозволено продавати: | |||
| 4) видобуток, виробництво, реалізація дорогоцінних металів і дорогоцінного каміння, у тому числі органогенного утворення | |||
| Зверніть увагу! Дозволено: | |||
| 5) видобування, реалізація корисних копалин | |||
| Зверніть увагу! Дозволено продаж корисних копалин місцевого значення. | |||
| 6) діяльність у сфері фінансового посередництва | |||
| Зверніть увагу! Дозволена діяльність страхових агентів, сюрвейєрів, аварійних комісарів та аджастерів. | |||
| 7) діяльність з управління підприємствами | |||
| 8) діяльність із надання послуг пошти та зв’язку | |||
| Зверніть увагу! Дозволена кур’єрська діяльність і послуги зв’язку, які не підлягають ліцензуванню. | |||
| 9) продаж (перепродаж) предметів мистецтва, колекціонування та антикваріату | |||
| 10) організація торгів (аукціонів) предметами мистецтва, колекціонування та антикваріату | |||
| 11) діяльність з організації та проведення гастрольних заходів | |||
| 12) технічні випробування та дослідження | |||
| 13) діяльність у сфері аудиту | |||
| 14) діяльність із надання в оренду земельних ділянок площею понад 2 га | |||
| 15) діяльність із надання в оренду житлових приміщень загальною площею понад 100 кв. м | |||
| 16) діяльність із надання в оренду нежитлових приміщень (споруд, будівель) та/або їх частин загальною площею понад 300 кв. м | |||
| II. Додатково заборонено для конкретної групи | |||
| 1 група | 2 група | 3 група | 5 група |
| 1) оптова торгівля (тобто продаж будь-яких товарів підприємцям або юридичним особам) | 1) посередництво при купівлі, продажу, оренді та оцінці нерухомого майна (код 68.31 за КВЕД-2010) | Додаткових обмежень за видами діяльності немає | Додаткових обмежень за видами діяльності немає |
| Зверніть увагу! Займатися такою діяльністю не як посередник можна (наприклад, надавати в оренду власну нерухомість). | |||
| 2) роздрібна торгівля за межами торговельних місць на ринку | 2) надання послуг підприємцям-загальносистемникам або юридичним особам — платникам податку на прибуток | ||
| 3) надання побутових послуг підприємцям або юридичним особам | 3) виготовлення ювелірних і побутових виробів з дорогоцінних металів/каміння | ||
| 4) надання послуг, не зазначених у пункті 291.7 ПКУ | 4) продаж оптом або вроздріб ювелірних і побутових виробів з дорогоцінних металів/каміння | ||
Розділ III. Групи єдиноподатників та основні правила роботи на спрощеній системі

Зверніть увагу
Імовірно, підприємець групи 1 може використовувати працю сторонніх фізичних осіб на підставі цивільно-правових договорів про виконання робіт (послуг). Однак такі відносини в жодному разі не повинні мати ознаки трудових.

Зверніть увагу
При обчисленні максимальної кількості працівників не враховуються ті працівники, які перебувають у декреті (тобто у відпустці у зв’язку з вагітністю та пологами або у відпустці для догляду за дитиною до трьох років).

Зверніть увагу
При обчисленні максимальної кількості працівників не враховуються ті працівники, які перебувають у декреті (тобто у відпустці у зв’язку з вагітністю та пологами або у відпустці для догляду за дитиною до трьох років).
Основні правила роботи на спрощеній системі оподаткування
Таблиця 2
| Основні правила роботи | Єдиноподатники | |
| груп 1 і 2 | груп 3 і 5 | |
| 1 | 2 | 3 |
| Книга обліку доходів і витрат | Ведуть Книгу обліку доходів, щодня відображуючи в ній дохід (загальною сумою за підсумками дня) | Неплатники ПДВ ведуть Книгу так само, як і єдиноподатники груп 1 і 2 |
| Платники ПДВ заповнюють у Книзі не лише розділ «Доходи», а й розділ «Витрати» | ||
| РРО | РРО можуть не застосовувати (частина 6 статті 9 Закону про РРО і пункт 296.10 ПКУ) | |
| Платіжні термінали | Платіжні термінали встановлювати необов’язково, але можна це зробити за бажанням (лист Мінекономрозвитку від 07.05.2013 р. № 3502-06/16081-12) | |
| Форма розрахунків | Лише грошова (пункт 291.6 ПКУ). Це означає, що за продані товари, роботи або послуги можна отримати лише гроші (у готівковій або безготівковій формі). Таким чином, бартер, векселі, електронні гроші тощо заборонені. Однак дозволено переведення боргу (перепоступлення права вимоги за зобов’язанням) | |
| Оренда | У ПКУ оренда вважається послугою, тому: 1) єдиноподатник групи 1 узагалі не має права надавати послуги оренди; 2) єдиноподатник групи 2 може здавати в оренду власну нерухомість лише: — громадянам; Решта орендарів — під забороною. Таким чином, якщо є необхідність надавати в оренду нерухомість підприємцю-загальносистемнику або юридичній особі — платнику податку на прибуток, потрібно перейти з групи 2 або до групи 3 (5), або на загальну систему оподаткування | Можуть надавати власне майно в оренду будь-яким орендарям |
| Усі єдиноподатники, які займаються орендою, зобов’язані дотримуватить обмеження за площею, що надається в оренду: 1) для земельних ділянок — не більше 0,2 га; 2) для житлових приміщень — не більше 100 кв. м; 3) для нежитлових — не більше 300 кв. м. Розраховуючи площу, до уваги береться лише та частина приміщення, яка фактично надається в оренду (тобто саме приміщення може бути й більшим, головне, щоб та його частина, яка надається в оренду за договором, не перевищувала зазначений ліміт). При цьому, якщо підприємець надає в оренду відразу декілька приміщень, їх сумарна площа не повинна перевищувати зазначене обмеження. | ||
| Періодичність сплати єдиного податку | Щомісяця. Єдиний податок сплачується авансом, не пізніше 20-го числа поточного місяця | Щокварталу, протягом 50 календарних днів після закінчення звітного кварталу (пункт 296.3 ПКУ) |
| Зверніть увагу! Якщо підприємець групи 1 або 2 працює самотужки (без найманих працівників), він може не сплачувати єдиний податок за певний період протягом року. Підстави для цього зазначені в пункті 295.5 ПКУ: — відпустка (один місяць на рік); — хвороба, що триває понад 30 календарних днів (обов’язково мати листок непрацездатності). Детальніше про несплату єдиного податку за час хвороби див. у «ВД», 2013, № 20, с. 35. | ||
| Періодичність подання декларації єдиноподатника | Щороку, протягом 60 календарних днів після закінчення звітного року (пункт 296.2 ПКУ) | Щокварталу, протягом 40 календарних днів після закінчення звітного кварталу (пункт 296.3 ПКУ) |
| Детально про заповнення декларації єдиноподатника див. у «ВД», 2013, № 7, с. 8 і № 1, с. 19. | ||
| Податки та збори, від яких єдиноподатника звільнено | 1. ПДФО з доходів, отриманих єдиноподатником від підприємницької діяльності. 2. ПДВ (крім єдиноподатників групи 3 або 5, які бажають бути платниками ПДВ). 3. Земельний податок за землю, яку єдиноподатник використовує в підприємницькій діяльності (при цьому від орендної плати за землю єдиноподатники не звільняються). 4. Збір за провадження деяких видів підприємницької діяльності. 5. Хмелезбір (збір на розвиток виноградарства, садівництва і хмелярства) | |
| Податки та збори, від яких єдиноподатник не звільняється | За наявності відповідних підстав єдиноподатники зобов’язані сплачувати (крім єдиного податку): — екологічний податок; Крім того, єдиноподатник зобов’язаний сплачувати ЄСВ як зі свого доходу, так і з доходу найманих працівників (пункти 4 і 1 частини 1 статті 4 Закону про ЄСВ). Від сплати ЄСВ за себе звільняються лише ті єдиноподатники, які є пенсіонерами за віком (ПФУ сюди не включає пенсіонерів за вислугою років) та інвалідами (частина 4 статті 4 Закону про ЄСВ) | |
Розділ IV. Дохід єдиноподатників: з чого складається та на яку дату виникає
З чого складається дохід єдиноподатника


Примітки
* Сьогодні на розгляді у ВРУ перебуває законопроект № 3053. Якщо його приймуть, то у ПКУ з’явиться норма про те, що доходом єдиноподатника не є:
— власні кошти, внесені платником єдиного податку — фізичною особою на його поточний рахунок, який відкрито в установі банку для здійснення підприємницької діяльності;
— основна сума (без урахування процентів) депозиту (вкладу), яка повертається платнику єдиного податку;
— сума поворотної фінансової допомоги, наданої платником єдиного податку іншим особам, яка повертається йому.
** Оскільки такі доходи не включаються до доходу єдиноподатника, це означає, що їх слід вважати «громадянським» доходом фізичної особи. А оскільки так, то ці надходження включаються до загального річного оподатковуваного доходу фізичної особи та з них сплачується ПДФО.
*** Такі суми не включаються до доходу лише для цілей дотримання критеріїв перебування на спрощеній системі оподаткування (пункт 292.15 ПКУ). Тому цілком можливо, що податківці вимагатимуть сплачувати єдиний податок із суми такої компенсації, однак це може стосуватися лише єдиноподатників групи 3 або 5.
Детально про доходи єдиноподатника ми писали у «ВД», 2013, № 15, с. 36.
На яку дату відображати дохід
Таблиця 3
| Вид доходу | Коли записувати дохід до Книги обліку доходів і витрат |
| Дохід, отриманий у грошовій формі (у тому числі аванс) | У день отримання грошових коштів (готівки або в день зарахування коштів на поточний рахунок) |
| Безоплатно отримані товари (роботи, послуги) | У день підписання єдиноподатником акта приймання-передачі таких товарів (робіт, послуг) |
| Кредиторська заборгованість зі строком позовної давності, що минув | У день списання такої заборгованості |
| Дохід від продажу товарів (послуг) через торгівельні автомати, не обладнані РРО | У день вилучення грошової виручки з торгівельних автоматів |
| Дохід від продажу товарів (робіт, послуг) через торгівельні автомати з використанням жетонів, карток або інших замінників грошових знаків | У день продажу таких жетонів, карток або інших замінників грошових знаків |
Отже, тепер підприємець має загальну уяву про те, як працювати на єдиному податку. Якщо зазначені правила йому підходять, можна починати процедуру переходу на спрощену систему оподаткування. Далі розповімо про те, як саме це зробити.
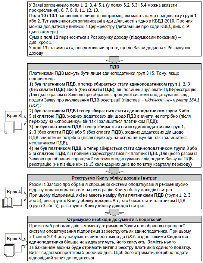
Розділ V. Як перейти на єдиний податок



Про перехідні операції ми детально розповідали у «ВД», 2013, № 16, с. 25; № 13, с. 13.
Розділ VI. Як змінити групу єдиного податку
Насамперед зазначимо, що єдиноподатники можуть переходити з групи до групи в будь-якому напрямку: як за зростанням, так і за убуванням. При цьому не заборонено перейти, наприклад, з групи 1 відразу до групи 5 або з групи 5 до групи 2. Зрозуміти, як здійснити зазначені переходи, допоможе така схема:
Добровільна міграція єдиноподатників між групами


Разом із добровільними міграціями між групами існують також і обов’язкові. Вони здійснюються лише в одному напрямку: за зростанням. Обов’язок перейти до «вищої» групи виникає у підприємця тоді, коли його річний дохід перевищує максимум, допустимий для цієї групи.
Зрозуміти, як здійснюються обов’язкові переходи, допоможе схема:
Примусовий перехід до «вищої» групи

Розділ VII. Як перейти з єдиного податку на загальну систему оподаткування
Добровільна відмова від спрощеної системи оподаткування

Крім добровільного переходу зі спрощеної системи на загальну, існує також і примусовий перехід. Обов’язок залишити «спрощенку» виникає у тому випадку, коли підприємець порушує правила роботи на єдиному податку.
Схема дій при обов’язковому переході така сама, як і при добровільному. Відрізняються лише строки подання Заяви про відмову від «спрощенки». Детальніше про це — у табл. 4.
Випадки примусового переходу на загальну систему оподаткування
Таблиця 4
| Порушення | Коли подавати Заяву (про відмову від «спрощенки») | З якого числа підприємець стає загальносистемником |
| 1 | 2 | 3 |
| Група 1 | ||
| Річний дохід перевищив 150 тис. грн. і підприємець не бажає переходити до груп 2, 3 або 5 | Потрібно подати Заяву не пізніше 20-го числа місяця, наступного за кварталом перевищення* | З 1-го числа місяця, наступного за кварталом перевищення |
| Річний дохід перевищив 20 млн грн. після того, як підприємець перейшов до групи 5 | ||
| Група 2 | ||
| Річний дохід перевищив 1 млн грн. і підприємець не бажає переходити до групи 3 або 5 | Потрібно подати Заяву не пізніше 20-го числа місяця, наступного за кварталом перевищення* | З 1-го числа місяця, наступного за кварталом перевищення |
| Річний дохід перевищив 20 млн грн. після того, як підприємець перейшов до групи 5 | ||
| Групи 1 і 2 | ||
| Застосування негрошового способу розрахунків (бартер, вексель тощо) | Подати Заяву, на нашу думку, слід відразу, як тільки стало відомо про порушення (щоб податківці під час перевірки не виявили порушення до того, як отримають Заяву**). Однак до кінця року підприємець має право бути єдиноподатником групи 1 або 2 (оскільки звітний період для груп 1 і 2 — це календарний рік) | З 1-го числа місяця, наступного за роком, в якому відбулося порушення |
| Провадження діяльності, забороненої для всіх єдиноподатників (перша частина табл. 1) | Рекомендуємо подати Заяву відразу, як тільки стало відомо про порушення (щоб податківці під час перевірки не виявили порушення до того, як отримають Заяву**). Зверніть увагу: незважаючи на порушення, підприємець може залишатися єдиноподатником групи 1 або 2 аж до кінця календарного року (оскільки звітний період для груп 1 і 2 — це календарний рік) | З 1-го числа місяця, наступного за роком, в якому підприємець здійснив заборонений вид діяльності |
| Провадження діяльності, не зазначеної в Заяві про застосування спрощеної системи оподаткування єдиноподатника групи 1 або 2 (нагадуємо, що Свідоцтво єдиноподатника, в якому раніше зазначалися види діяльності, скасують з 01.01.2014 р.) | ||
| Провадження діяльності, забороненої для єдиноподатників групи 1 або 2 (друга частина табл. 1)*** | ||
| Єдиноподатник групи 1 найняв хоча б одного працівника, а групи 2 — найняв 11-го працівника (нагадуємо, що у групі 2 максимально дозволене число найманих працівників — 10 осіб) | Подати Заяву, на нашу думку, слід відразу, як тільки стало відомо про порушення (щоб податківці під час перевірки не виявили порушення до того, як отримають Заяву**). Однак до кінця року підприємець має право бути єдиноподатником групи 1 або 2 (оскільки звітний період для груп 1 і 2 — це календарний рік) | З 1-го числа місяця, наступного за роком, в якому підприємець найняв зайвого працівника |
| Наявність податкового боргу на 1-ше число місяця протягом двох послідовних кварталів | Заяву подавати не потрібно, податківці самі анулюють реєстрацію підприємця як платника єдиного податку | З 1-го числа місяця, наступного за другим кварталом боргу |
| Група 3 | ||
| Річний дохід перевищив 3 млн грн. і підприємець не бажає переходити до групи 5 | Потрібно подати Заяву не пізніше 20-го числа місяця, наступного за кварталом перевищення* | З 1-го числа місяця, наступного за кварталом перевищення |
| Річний дохід перевищив 20 млн грн. після того, як підприємець перейшов до групи 5 | ||
| Підприємець найняв 21-го працівника (нагадаємо, що у групі 3 дозволено використовувати працю не більше 20 найманих працівників) | Рекомендуємо подати Заяву відразу, як тільки стало відомо про порушення (щоб податківці під час перевірки не виявили порушення до того, як отримають Заяву**) | З 1-го числа місяця, наступного за кварталом перевищення |
| Група 5 | ||
| Річний дохід перевищив 20 млн грн. | Потрібно подати Заяву не пізніше 20-го числа місяця, наступного за кварталом перевищення* | З 1-го числа місяця, наступного за кварталом перевищення |
| Групи 3 і 5 | ||
| Застосування негрошового способу розрахунків (бартер, вексель тощо) | Рекомендуємо подати Заяву відразу, як тільки стало відомо про порушення (щоб податківці під час перевірки не виявили порушення до того, як отримають Заяву**) | З 1-го числа місяця, наступного за кварталом порушення |
| Провадження діяльності, забороненої для всіх єдиноподатників (перша частина табл. 1) | ||
| Наявність податкового боргу на 1-ше число місяця протягом двох послідовних кварталів | Заяву подавати не потрібно, податківці самі анулюють реєстрацію підприємця як платника єдиного податку | З 1-го числа місяця, наступного за другим кварталом боргу |
Примітки
* Зверніть увагу! Перенесення строку подання Заяви у ПКУ не передбачене. Тому, якщо 20-те число припадає на вихідний або святковий день, Заяву слід подати заздалегідь.
Наприклад, якщо перевищення доходу відбудеться в I кварталі 2014 року, то Заяву потрібно буде подати не пізніше за 18 квітня 2014 року.
** Якщо підприємець не подасть Заяву, а податківці під час перевірки виявлять порушення, вони самі анулюють його реєстрацію як єдиноподатника. При цьому підприємець:
1) буде визнаний загальносистемником «заднім числом», тобто з 1-го числа місяця, наступного за кварталом порушення (у тому числі члени групи 1 або 2, не чекаючи кінця року), з усіма обов’язками і санкціями, що з цього випливають;
2) не зможе стати єдиноподатником як мінімум протягом чотирьох послідовних кварталів після прийняття рішення про анулювання його реєстрації як єдиноподатника (нова редакція пункту 299.11 ПКУ згідно із Законом № 657 (див. с. 4 цього номера), яка почне діяти з 01.01.2014 р.).
*** У цій ситуації можна спробувати перейти до «вищої» групи єдиноподатників. Це, звичайно, не зовсім узгоджується з нормами ПКУ, однак податківці до цієї ситуації ставляться поблажливо. Зокрема, у листі від 07.12.2012 р. № 6815/0/61-12/23-50.0214 за тих часів ще ДПСУ роз’яснила, що єдиноподатник групи 2, надавши послуги платнику податку на прибуток, може перейти або: — до «вищої» групи (3 або 5); — на загальну систему оподаткування. Аналогічне роз’яснення є у БЗ Міндоходів.
Детально про перехідні операції в єдиноподатника розповідалося у «ВД», 2013, № 16, с. 25. Про звітність підприємця при переходах див. у «ВД», 2013, № 9, с. 40.
Документи консультації
ПКУ — Податковий кодекс України від 02.12.2010 р. № 2755-VI.
Закон про ЄСВ — Закон України «Про збір та облік єдиного внеску на загальнообов’язкове державне соціальне страхування» від 08.07.2010 р. № 2464-VI.
Закон про РРО — Закон України «Про застосування реєстраторів розрахункових операцій у сфері торгівлі, громадського харчування і послуг» від 06.07.95 р. № 265/95-ВР.
Закон № 657 — Закон України «Про внесення змін до Податкового кодексу України щодо обліку та реєстрації платників податків» від 24.10.2013 р. № 657-VII.
Положення № 1394 — Положення про реєстрацію платників податку на додану вартість, затверджене наказом Міністерства фінансів України від 07.11.2011 р. № 1394.
Порядок № 1675 — Порядок подання заяви про застосування спрощеної системи оподаткування, затверджений наказом Міністерства фінансів України від 20.12.2011 р. № 1675.
Законопроект № 3053 (ще не прийнятий) — проект Закону «Про внесення змін до Податкового кодексу України (щодо уточнення складу доходу для платників єдиного податку)» від 06.08.2013 р. № 3053.
