Тише едешь — дальше будешь, или Финансовый лизинг автомобиля
Елена Костенко, консультант
Строительная компания — лизингополучатель получила по лизингу автомобиль (учитывается на балансе лизингополучателя). В платежах выкупная стоимость не обозначена.
Что понимается под лизинговыми платежами: чистый лизинговый платеж (доход лизингодателя) или платеж, учитывающий стоимость автомобиля? Согласно договору, заключенному организацией, чистый лизинговый платеж меньше суммы амортизации. В каком размере включать в расходы лизинговые платежи для исчисления налога на прибыль? Ответы на эти вопросы вы найдете в данной статье.
ДОКУМЕНТЫ СТАТЬИ
Закон о налоге на прибыль
— Закон Украины «О налогообложении прибыли предприятий» от 28.12.1994 г. № 334/94-ВР.Закон об НДС
— Закон Украины «О налоге на добавленную стоимость» от 03.04.1997 г. № 168/97-ВР.Закон № 723
— Закон Украины «О финансовом лизинге» от 16.12.1997 г. № 723/97-ВР.П(С)БУ 14
— Положение (стандарт) бухгалтерского учета 14 «Аренда», утвержденное приказом Минфина от 28.07.2000 г. № 181.Письмо № 1462
— письмо ГНАУ «О налогообложении операций финансового лизинга» от 27.02.2003 г. № 1462/16/15-2116.Письмо № 7107
— письмо ГНАУ «О некоторых вопросах налогообложения» от 13.12.1999 г. № 7107/6/15-1116.Письмо № 512
— письмо ГНАУ «О договоре финансового лизинга» от 12.11.2004 г. № 512/2/15-1114.Письмо № 982
— письмо ГНАУ «О налоговом учете НДС при осуществлении изъятия предметов финансового лизинга из-за неуплаты лизинговых платежей» от 06.02.2009 г. № 982/6/16-1515-26.
П(С)БУ 14
подразделяет аренду на финансовую и операционную. В бухгалтерском учете операционная аренда отражается на забалансовых счетах, а финансовая — на балансе предприятия.В этом
стандарте также приведены условия отнесения аренды к финансовой (см. информационный блок).
П(С)БУ 14
Аренда считается финансовой при наличии
хотя бы одного из приведенных ниже признаков:1) арендатор приобретает право собственности на арендованный актив после окончания срока аренды;
2) арендатор имеет возможность или намерение приобрести объект аренды по цене ниже его справедливой стоимости на дату покупки;
3) срок аренды составляет большую часть срока полезного использования (эксплуатации) объекта аренды;
4) настоящая стоимость минимальных арендных платежей с начала срока аренды равняется или превышает справедливую стоимость объекта аренды;
5) арендованный актив носит особый характер, который дает возможность только арендатору использовать его без затрат на его модернизацию, модификацию, дооборудование;
6) арендатор может продлить аренду актива за плату, значительно ниже рыночной арендной платы;
7) аренда может быть остановлена арендатором, который возмещает арендодателю его затраты от прекращения аренды.
Ни один из существующих в Украине нормативных актов не дает определение понятию «лизинговый платеж». Правда, в
Законе № 723 перечислены составляющие, которые может включать лизинговый платеж. Они представлены на рисунке (см. с. 20).

Составляющие лизингового платежа
Из вышесказанного следует, что под лизинговыми платежами может пониматься как доход лизингодателя, так и платеж, учитывающий стоимость объекта лизинга.
В соответствии с
Законом № 723 договор лизинга должен быть составлен в письменной форме. Существенными условиями такого договора являются: предмет и срок лизинга, размер лизинговых платежей, прочие условия.При налогообложении операций финансового лизинга следует руководствоваться нормами
Закона о налоге на прибыль и Закона об НДС, поскольку именно эти законы являются ключевыми законами по вопросам налогообложения. А Закон № 723 определяет общие правовые и экономические основы финансового лизинга. Это же говорится и в письме № 512.В
письме № 1462 сказано, что в соответствии со ст. 7 Закона о налоге на прибыль при начислении лизинговых платежей лизингополучатель увеличивает валовые расходы на такую часть лизингового платежа, которая равна сумме процентов или комиссий, начисленных на стоимость объекта финансового лизинга. При этом не учитывается часть лизингового платежа, который предоставляется в счет компенсации части стоимости объекта финансового лизинга, по результатам налогового периода, в котором осуществляется такое начисление.При этом в налоговом учете аренда будет считаться финансовым лизингом только в том случае, если в договоре указать
одно из нижеприведенных условий (согласно п.п. 1.18.2 Закона о налоге на прибыль):— объект лизинга передается на срок, на протяжении которого амортизируется не менее 75 % его первоначальной стоимости по нормам амортизации, определенным в
ст. 8 Закона о налоге на прибыль, и лизингополучатель обязан приобрести объект лизинга в собственность на протяжении срока действия лизингового договора или в момент его окончания по цене, определенной в указанном лизинговом договоре;— сумма лизинговых платежей с начала срока лизинга равняется или превышает первоначальную стоимость объекта лизинга;
— в лизинг передается объект, который находится в составе основных фондов лизингодателя на протяжении срока первых 50 % амортизации его первоначальной стоимости. При этом общая сумма лизинговых платежей должна равняться или быть больше 90 % от обычной цены на такой объект лизинга, действующей в начале срока действия лизингового договора, увеличенной на сумму процентов, рассчитанных исходя из учетной ставки НБУ, и определенной на дату начала действия лизингового договора на весь его срок;
— имущество, которое передается в финансовый лизинг, изготовлено по заказу лизингополучателя и после окончания действия лизингового договора не может быть использовано другими лицами, кроме указанного лизингополучателя, исходя из его технологических и качественных характеристик.
Письмом № 7107
определено, что лизинговые платежи по договорам финансового лизинга лизингополучатель включает в валовые расходы в полном объеме, за исключением следующих составляющих лизингового платежа:— суммы, возмещающей при каждом платеже часть стоимости объекта лизинга, которая амортизируется за срок, за который вносится лизинговый платеж;
— расходов лизингодателя на ремонт объекта лизинга, если сумма расходов на улучшение такого основного фонда превышает 5 % балансовой (остаточной) стоимости соответствующего основного фонда на начало отчетного периода. При этом следует указать, что лизингополучателю, в целях определения размера суммы возмещения части стоимости объекта лизинга, необходимо вести учет балансовой стоимости таких основных фондов отдельно по каждому такому объекту и в целом по группе, к которой относится объект, независимо от их принадлежности к соответствующим группам;
— расходов по страхованию, не предусмотренных
п.п. 5.4.6 Закона о налоге на прибыль (см. информационный блок).
Закон о налоге на прибыль
В валовые расходы включаются:
<…>
5.4.6. Любые расходы по страхованию рисков гибели урожая, транспортировке продукции плательщика налога; гражданской ответственности, связанной с эксплуатацией транспортных средств, находящихся в составе основных фондов плательщика налога; экологического и ядерного ущерба, который может быть нанесен плательщиком налога другим лицам; имущества плательщика налога; кредитных и других рисков плательщика налога, связанных с осуществлением им хозяйственной деятельности, в пределах обычной цены страхового тарифа соответствующего вида страхования, действующего на момент заключения такого страхового договора, за исключением страхования жизни, здоровья или других рисков, связанных с деятельностью физических лиц, находящихся в трудовых отношениях с плательщиком налога, обязательность которого не предусмотрена законодательством, или любые расходы по страхованию сторонних физических или юридических лиц.
Если условия страхования предусматривают выплату страхового возмещения в пользу плательщика налога — страхователя, застрахованные убытки, понесенные таким плательщиком налога, относятся к его валовым расходам в налоговый период их понесения, а суммы страхового возмещения таких убытков включаются в валовые доходы такого плательщика налога в налоговый период их получения.
Отнесение в состав валовых расходов плательщика налога расходов по страхованию (кроме расходов по медицинскому, пенсионному страхованию и по обязательным видам страхования) осуществляется в размере, не превышающем 5 процентов валовых расходов за отчетный налоговый период, нарастающим итогом с начала года, а для сельскохозяйственных предприятий — за отчетный налоговый год.
После договора финансового лизинга может быть заключен дополнительный договор продажи. Однако по мнению ГНАУ, изложенному в
письме № 512, заключение договора купли-продажи объекта финансового лизинга, если условие перехода права собственности на этот объект предусмотрено договором финансового лизинга, является необязательным.Рассмотрим пример расчета и отражения в учете лизинговых платежей.
Пример.
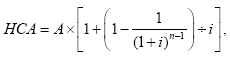
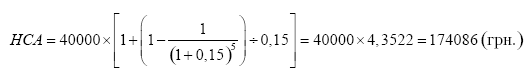
Строительное предприятие получило по лизингу автомобиль на 3 года с арендной ставкой 30 % годовых, минимальные арендные платежи выплачиваются 1 раз в полгода, их размер составляет 40000 грн. (без НДС). После окончания срока лизинга право собственности переходит к лизингополучателю.Сначала необходимо рассчитать настоящую стоимость минимальных арендных платежей (НСА). Используем формулу, представленную в Приложении 1 к П(С)БУ 14:

где А — сумма минимального лизингового платежа (аннуитет);
n — количество периодов, за которые выплачиваются лизинговые платежи и начисляются проценты;
i — арендная ставка для указанного периода.

Общая сумма финансовых расходов составит:
40000
х 6 - 174086 = 240000 - 174086 = 65914 (грн.).Сумма финансовых расходов каждого периода распределяется в части оплаты за автомобиль и в части процентов, начисленных на стоимость автомобиля, начиная со второго периода, определяется как произведение остатка задолженности за период и процентной ставкой этого периода, как показано в табл. 1.
Примечание
: платеж первого периода не распределяется, так как вся сумма идет на покрытие стоимости автомобиля.
Таблица 1
Расчет финансовых затрат в составе арендных платежей
| Период | Лизинговые платежи | Остаток обязательства по лизингу на конец периода | ||
| минимальная сумма лизинговых платежей, которые уплачиваются регулярно | финансовые затраты | за автомобиль | ||
| 1 период (полугодие) | 40000 | — | 40000 | 174086 - 40000 = 134086 |
| 2 период | 40000 | 134086 х 0,15 = 20113 | 40000 - 20113 = 19887 | 114199 = 134086 - 19887 |
| 3 период | 40000 | 17130 | 22870 | 91329 |
| 4 период | 40000 | 13699 | 26301 | 65028 |
| 5 период | 40000 | 9754 | 30246 | 34782 |
| 6 период | 40000 | 5218 | 34782 | 0 |
| Всего | 240000 | 65914 | 174086 |
|
Отразим в табл. 2 проводки по учету лизинговых операций.
Таблица 2
Отражение в учете лизингополучателя операций финансового лизинга
| Содержание операции | Бухгалтерский учет | Сумма, грн. | Налоговый учет | ||
| дебет | кредит | ВД | ВР | ||
| 1. Получен автомобиль | 152 | 531 | 174086 | — | — |
| 2. Отражен налоговый кредит по НДС:240000/5 | 641 | 531 | 48000* | — | — |
| 3. Введен в эксплуатацию автомобиль | 105 | 152 | 174086 | — | — |
| 4. Начислена амортизация автомобиля за 3 года | 92 | 131 | 52000 | — | 52000 |
| 5. Начислены лизинговые платежи: | |||||
| — в части компенсации стоимости автомобиля | 531 | 611 | 174086 | — | — |
| — в части вознаграждения лизингодателю | 952 | 684 | 65914 | — | 65914 |
| 6. Уплачены лизинговые платежи (с учетом НДС):174086 + 65914 + 48000 | 611, 684, 531 | 311 | 288000 | — | — |
| * Согласно письму № 982, если в лизинговый платеж включено вознаграждение лизингодателю за полученное в лизинг имущество и/или компенсация других затрат лизингодателя, которые непосредственно связаны с выполнением договора лизинга, то эти части лизингового платежа являются объектом обложения НДС и облагаются налогом в определенном законом порядке. | |||||
