Тихіше їдеш — далі будеш, або Фінансовий лізинг автомобіля
Олена Костенко, консультант
Будівельна компанія — лізингоотримувач отримала за лізингом автомобіль (обліковується на балансі лізингоотримувача). У платежах викупну вартість не позначено.
Що розуміється під лізинговими платежами: чистий лізинговий платіж (дохід лізингодавця) або платіж, що враховує вартість автомобіля? Згідно з договором, укладеним організацією, чистий лізинговий платіж менше суми амортизації. У якому розмірі включати до витрат лізингові платежі для обчислення податку на прибуток? Відповіді на ці запитання ви знайдете в цій статті.
ДОКУМЕНТИ СТАТТІ
Закон про податок на прибуток
— Закон України «Про оподаткування прибутку підприємств» від 28.12.1994 р. № 334/94-ВР.Закон про ПДВ
— Закон України «Про податок на додану вартість» від 03.04.1997 р. № 168/97-ВР.Закон № 723
— Закон України «Про фінансовий лізинг» від 16.12.1997 р. № 723/97-ВР.П(С)БО 14
— Положення (стандарт) бухгалтерського обліку 14 «Оренда», затверджене наказом Мінфіну від 28.07.2000 р. № 181.Лист № 1462
— лист ДПАУ «Щодо оподаткування операцій фінансового лізингу» від 27.02.2003 р. № 1462/16/15-2116.Лист № 7107
— лист ДПАУ «Щодо деяких питань оподаткування» від 13.12.1999 р. № 7107/6/15-1116.Лист № 512
— лист ДПАУ «Про договір фінансового лізингу» від 12.11.2004 р. № 512/2/15-1114.Лист № 982
— лист ДПАУ «Щодо податкового обліку ПДВ при здійсненні вилучення предметів фінансового лізингу через несплату лізингових платежів» від 06.02.2009 р. № 982/6/16-1515-26.
П(С)БО 14
поділяє оренду на фінансову та операційну. У бухгалтерському обліку операційна оренда відображається на позабалансових рахунках, а фінансова — на балансі підприємства.У цьому
стандарті також наведено умови віднесення оренди до фінансової (див. інформаційний блок).
П(С)БО 14
Оренда вважається фінансовою за наявності
хоча б однієї з наведених нижче ознак:1) орендар набуває права власності на орендований актив після закінчення строку оренди;
2) орендар має можливість та намір придбати об’єкт оренди за ціною, нижчою за його справедливу вартість на дату придбання;
3) строк оренди становить більшу частину строку корисного використання (експлуатації) об’єкта оренди;
4) теперішня вартість мінімальних орендних платежів з початку строку оренди дорівнює або перевищує справедливу вартість об’єкта оренди;
5) орендований актив має особливий характер, що дає змогу лише орендареві використовувати його без витрат на його модернізацію, модифікацію, дообладнання;
6) орендар може продовжити оренду активу за плату, значно нижчу за ринкову орендну плату;
7) оренду може бути припинено орендарем, який відшкодовує орендодавцю його втрати від припинення оренди.
Жоден з нормативних актів, що існують в Україні, не дає визначення поняття «лізинговий платіж». Щоправда, у
Законі № 723 перелічено складові, які може включати лізинговий платіж. Їх наведено на рисунку (див. с. 20).

З викладеного вище виходить, що під лізинговими платежами може розумітися як дохід лізингодавця, так і платіж, що враховує вартість об’єкта лізингу.
Відповідно до
Закону № 723 договір лізингу має бути складено в письмовій формі. Істотними умовами такого договору є предмет і строк лізингу, розмір лізингових платежів, інші умови.При оподаткуванні операцій фінансового лізингу слід керуватися нормами
Закону про податок на прибуток і Закону про ПДВ, оскільки саме ці закони є ключовими законами з питань оподаткування. А Закон № 723 визначає загальні правові та економічні засади фінансового лізингу. Про це також ідеться і в листі № 512.У
листі № 1462 зазначено, що відповідно до ст. 7 Закону про податок на прибуток при нарахуванні лізингових платежів лізингоотримувач збільшує валові витрати на таку частину лізингового платежу, що дорівнює сумі процентів або комісій, нарахованих на вартість об’єкта фінансового лізингу. При цьому не враховується частина лізингового платежу, що надається в рахунок компенсації частини вартості об’єкта фінансового лізингу, за результатами податкового періоду, в якому здійснюється таке нарахування.При цьому в податковому обліку оренда вважатиметься фінансовим лізингом лише в тому випадку, якщо в договорі зазначити
одну з наведених нижче умов (згідно з п.п. 1.18.2 Закону про податок на прибуток):— об’єкт лізингу передається на строк, протягом якого амортизується не менше 75 % його первісної вартості за нормами амортизації, визначеними у
ст. 8 Закону про податок на прибуток, і лізингоотримувач зобов’язаний придбати об’єкт лізингу у власність протягом строку дії лізингового договору або в момент його закінчення за ціною, визначеною в зазначеному лізинговому договорі;— сума лізингових платежів з початку строку лізингу дорівнює або перевищує первісну вартість об’єкта лізингу;
— у лізинг передається об’єкт, що перебуває у складі основних фондів лізингодавця протягом строку перших 50 % амортизації його первісної вартості. При цьому загальна сума лізингових платежів має дорівнювати або перевищувати 90 % від звичайної ціни на такий об’єкт лізингу, що діє на початку строку дії лізингового договору, збільшеної на суму процентів, розрахованих виходячи з облікової ставки НБУ, та визначеної на дату початку дії лізингового договору на весь його строк;
— майно, що передається у фінансовий лізинг, виготовлене на замовлення лізингоотримувача, і після закінчення дії лізингового договору не може бути використане іншими особами, крім зазначеного лізингоотримувача, виходячи з його технологічних та якісних характеристик.
Листом № 7107
визначено, що лізингові платежі за договорами фінансового лізингу лізингоотримувачі включають до валових витрат у повному обсязі, за винятком таких складових лізингового платежу:— суми, що відшкодовує при кожному платежі частину вартості об’єкта лізингу, яка амортизується за строк, за який уноситься лізинговий платіж;
— витрат лізингодавця на ремонт об’єкта лізингу, якщо сума витрат на поліпшення такого основного фонду перевищує 5 % балансової (залишкової) вартості відповідного основного фонду на початок звітного періоду. При цьому слід зауважити, що лізингоотримувачу з метою визначення розміру суми відшкодування частині вартості об’єкта лізингу необхідно вести облік балансової вартості таких основних фондів окремо щодо кожного такого об’єкта і в цілому щодо групи, до якої належить об’єкт, незалежно від їх приналежності до відповідних груп;
— витрат на страхування, не передбачених
п.п. 5.4.6 Закону про податок на прибуток (див. інформаційний блок).
Закон про податок на прибуток
До валових витрат включаються:
<…>
5.4.6. Будь-які витрати зі страхування ризиків загибелі врожаю, транспортування продукції платника податку; цивільної відповідальності, пов’язаної з експлуатацією транспортних засобів, що перебувають у складі основних фондів платника податку; екологічної та ядерної шкоди, що може бути завдана платником податку іншим особам; майна платника податку; кредитних та інших ризиків платника податку, пов’язаних із здійсненням ним господарської діяльності, у межах звичайної ціни страхового тарифу відповідного виду страхування, діючого на момент укладення такого страхового договору, за винятком страхування життя, здоров’я або інших ризиків, пов’язаних з діяльністю фізичних осіб, що перебувають у трудових відносинах з платником податку, обов’язковість якого не передбачена законодавством, або будь-які витрати зі страхування сторонніх фізичних чи юридичних осіб.
Якщо умови страхування передбачають виплату страхового відшкодування на користь платника податку — страхувальника, застраховані збитки, понесені таким платником податку, відносяться до його валових витрат у податковий період їх понесення, а суми страхового відшкодування таких збитків включаються до валових доходів такого платника податку у податковий період їх отримання.
Віднесення до складу валових витрат платника податку витрат із страхування (крім витрат по медичному, пенсійному страхуванню та за обов’язковими видами страхування) здійснюється в розмірі, що не перевищує 5 відсотків валових витрат за звітний податковий період, наростаючим підсумком з початку року, а для сільськогосподарських підприємств — за звітний податковий рік.
Після договору фінансового лізингу може бути укладено додатковий договір продажу. Проте, на думку ДПАУ, що викладена в
листі № 512, укладення договору купівлі-продажу об’єкта фінансового лізингу, у разі якщо умову переходу права власності на цей об’єкт передбачено договором фінансового лізингу, не є обов’язковим.Розглянемо приклад розрахунку та відображення в обліку лізингових платежів.
Приклад.
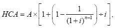
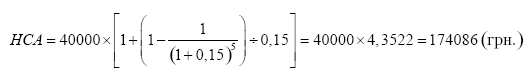
Будівельне підприємство отримало за лізингом автомобіль на 3 роки з орендною ставкою 30 % річних, мінімальні орендні платежі виплачуються один раз на півроку, їх розмір становить 40000 грн. (без ПДВ). Після закінчення строку лізингу право власності переходить до лізингоотримувача.Спочатку слід розрахувати теперішню вартість мінімальних орендних платежів (ТВА). Використаємо формулу, наведену в додатку 1 до П(С)БО 14:

де A — сума мінімального орендного платежу, що сплачується регулярно (ануїтет);
n — кількість періодів, за які сплачується орендна плата і нараховуються відсотки;
i — ставка відсотка для вказаного періоду.

Загальна сума фінансових витрат становитиме:
40000
х 6 - 174086 = 240000 - 174086 = 65914 (грн.).Сума фінансових витрат кожного періоду розподіляється в частині оплати за автомобіль та в частині відсотків, нарахованих на вартість автомобіля починаючи з другого періоду, визначається як добуток залишку заборгованості за період на відсоткову ставку цього періоду, як показано в табл. 1.
Примітка
: платіж першого періоду не розподіляється, оскільки вся сума йде на покриття вартості автомобіля.
Таблиця 1
Розрахунок фінансових витрат у складі орендних платежів
| Період | Лізингові платежі | Залишок зобов’язання за лізингом на кінець періоду | ||
| мінімальна сума лізингових платежів, що сплачуються регулярно | фінансові витрати | за автомобіль | ||
| 1-й період (півріччя) | 40000 | — | 40000 | 174086 - 40000 = 134086 |
| 2-й період | 40000 | 134086 х 0,15 = 20113 | 40000 - 20113 = 19887 | 114199 = 134086 - 19887 |
| 3-й період | 40000 | 17130 | 22870 | 91329 |
| 4-й період | 40000 | 13699 | 26301 | 65028 |
| 5-й період | 40000 | 9754 | 30246 | 34782 |
| 6-й період | 40000 | 5218 | 34782 | 0 |
| Усього | 240000 | 65914 | 174086 |
|
Відобразимо в табл. 2 проводки щодо обліку лізингових операцій.
Таблиця 2
Відображення в обліку лізингоотримувача операцій фінансового лізингу
| Зміст операції | Бухгалтерський облік | Сума,грн. | Податковий облік | ||
| дебет | кредит | ВД | ВВ | ||
| 1. Отримано автомобіль | 152 | 531 | 174086 | — | — |
| 2. Відображено податковий кредит з ПДВ:240000:5 | 641 | 531 | 48000* | — | — |
| 3. Уведено в експлуатацію автомобіль | 105 | 152 | 174086 | — | — |
| 4. Нараховано амортизацію автомобіля за 3 роки | 92 | 131 | 52000 | — | 52000 |
| 5. Нараховано лізингові платежі: | |||||
| — у частині компенсації вартості автомобіля | 531 | 611 | 174086 | — | — |
| — у частині винагороди лізингодавця | 952 | 684 | 65914 | — | 65914 |
| 6. Сплачено лізингові платежі (з урахуванням ПДВ): 174086 + 65914 + 48000 | 611, 684, 531 | 311 | 288000 | — | — |
| * Згідно з листом № 982, якщо до лізингового платежу включено винагороду лізингодавцю за отримане в лізинг майно та/або компенсацію інших витрат лізингодавцю, які безпосередньо пов’язані з виконанням договору лізингу, то ці частини лізингового платежу є об’єктом обкладення ПДВ та оподатковуються у визначеному законом порядку. | |||||
