ЗБЕРІГАННЯ ТА ЗНИЩЕННЯ
документів: навіщо, коли та як
Кому як не бухгалтеру знати цінність документів, що виникають у процесі провадження господарської діяльності підприємства. Глобальний сенс будь-якого документа, особливо бухгалтерського, полягає в підтвердженні факту здійснення тієї чи іншої господарської операції. Тому у справжнього бухгалтера до будь-яких документів ставлення дуже дбайливе. У сьогоднішній статті розповімо, які документи скільки часу потрібно зберігати, як належним чином знищити документи зі строком зберігання, що минув, а також нагадаємо про відповідальність у цій сфері.
Яна ІНДЮХОВА, економіст-аналітик Видавничого будинку «Фактор», y.indyukhova@id.factor.ua
Навіщо і хто повинен зберігати документи
Навіщо зберігати документи? Діяльність будь-якого підприємства чи фізособи-підприємця не може здійснюватися без документального супроводу. У процесі підприємницької діяльності здійснюються господарські операції. Точне визначення поняття «господарська операція» міститься у ст. 1 Закону про бухоблік — це дія або подія, яка викликає зміни у структурі активів та зобов'язань, власному капіталі підприємства. Документ, що містить відомості про господарську операцію та підтверджує її здійснення, називається первинним. Думаємо, запитання, навіщо зберігати документи, уже відпало саме собою: зрозуміло, що документ — це матеріальне підтвердження господарської діяльності, яка провадиться.
У п. 44.1 ПКУ також зазначається, що облік доходів і витрат підприємства та інших показників ведеться на підставі первинних документів, регістрів бухгалтерського обліку, фінансової звітності, інших документів. Заборонено формування показників податкової звітності, митних декларацій на підставі даних, не підтверджених документами. Про значення первинних документів читайте у статті «Первинні документи: складаємо, заповнюємо, підписуємо…» // «БТ», 2011, № 39, с. 10.
У ч. 7 ст. 9 Закону про бухоблік, зокрема, зазначено, що підприємство повинне забезпечувати належне зберігання первинних документів та регістрів бухгалтерського обліку протягом установленого строку.
Також про необхідність зберігання документів ідеться в п. 44.3 ПКУ: платники податків зобов'язані забезпечити зберігання документів не менше 1095 днів із дня подання податкової звітності, для складання якої використовуються зазначені документи, а в разі її неподання — з передбаченого ПКУ граничного строку подання такої звітності. Наприклад, декларація подається протягом 20 календарних днів, наступних за останнім днем звітного (податкового) місяця (п.п. 49.18.1 ПКУ). Декларації за травень 2012 року подаються не пізніше 20 червня 2012 року. Отже, для цього випадку при неподанні декларації строк у 1095 днів повинен відлічуватися з 21 червня 2012 року.
У разі ліквідації платника податків документи за період діяльності платника податків не менше 1095 днів, що передують даті ліквідації платника податків, у встановленому законодавством порядку передаються до архіву.
Без відповідних первинних документів ви не зможете відобразити доходи та витрати. Адже згідно з п. 135.2 ПКУ доходи визначаються на підставі первинних документів, що підтверджують отримання платником податків доходів, обов'язковість ведення та зберігання яких передбачена правилами ведення бухгалтерського обліку, та інших документів. Щоб урахувати витрати при визначенні об’єкта оподаткування також необхідна наявність первинних документів (п. 138.2 ПКУ). Витрати, не підтверджені відповідними розрахунковими, платіжними та іншими первинними документами, не враховуються при визначенні оподатковуваного прибутку (п.п. 139.1.9 ПКУ)*. На думку податкових органів, платники податків при веденні податкового обліку з податку на прибуток у разі втрати первинних документів повинні застосовувати норми п.п. 139.1.9 ПКУ, а в інших випадках — норми п. 44.5 ПКУ.
* Про це також згадується в листі ВАдСУ від 02.06.11 р. № 742/11/13-11.
У переліку обов'язків платника податків, який міститься у ПКУ, зазначено, що він, зокрема, зобов'язаний забезпечувати зберігання документів, пов'язаних з виконанням податкового обов'язку, протягом установлених строків, тобто протягом 1095 календарних днів (п.п. 16.1.12 ПКУ).
Що стосується зберігання документів, які свідчать про факти нарахування та сплати утримуваних до 01.01.11 р. внесків до соцфондів (до ПФУ, ФТВП, ФБ та ФНВ), та щодо утримуваного з 01.01.11 р. ЄВС, то слід мати на увазі таке: строки зберігання таких первинних документів насамперед залежать від проведення перевірок.
За пенсійними внесками ПФУ може перевірити за весь період із моменту проведення попередньої перевірки. ФТВП також має право здійснити перевірку за попередні роки, а в разі виявлення порушень або зловживань — за більш ранні періоди. ФБ має право перевірити за будь-який рік без застосування строку давності. ФНВ у загальному випадку може перевірити за весь період з моменту проведення попередньої перевірки (докладніше див. Пошту тижня «За які періоди фонди можуть перевіряти документи» // «БТ», 2008, № 18, с. 46 та Тему тижня «Перевірки соцфондів з 2011 року» // «БТ», 2011, № 16, с. 33 ).
Що стосується ЄВС, який справляється сьогодні, то згідно з ч. 16 ст. 25 Закону про ЄВС строк давності щодо нарахування, застосування та стягнення сум недоїмки, штрафів та нарахованої пені не застосовується. Про це свідчить і лист ПФУ від 31.01.12 р. № 2153/03-20 (див. ком. «Документи для перевірок ПФУ зберігаємо безстроково: роз'яснює Пенсійний фонд» // «БТ», 2012, № 16, с. 6).
Як бачимо, обов'язок зберігати документи протягом визначеного строку закріплено законодавчо.
Крім того, згідно з ч. 3 ст. 8 Закону про бухоблік власник або уповноважений орган (посадова особа), який здійснює керівництво підприємством, несе відповідальність, зокрема, за забезпечення фіксування фактів здійснення всіх господарських операцій у первинних документах, збереження оброблених документів, регістрів та звітності протягом установленого строку, але не менше трьох років. Відразу зауважимо, що строк у 3 роки застосовується не до всіх документів. Строки зберігання документів систематизовано в Переліку № 41. Проте з 01.01.13 р. діятиме новий нормативно-правовий акт, що регламентує строки зберігання документів — Перелік № 578. У Шпаргалці бухгалтера цього номера узагальнено інформацію про діючі та нові строки зберігання найбільш поширених документів.
Хто повинен зберігати документи? У нормах Закону про бухоблік, що встановлюють обов'язок зберігання документів, ідеться про юросіб. Незважаючи на це, фізособам-підприємцям також рекомендовано дотримуватись загальних строків зберігання документів, установлених Переліком № 41 (див. листи Держкомархіву від 25.02.02 р. № 02-160, від 02.10.01 р. № 05-923).
Платники єдиного податку, як і інші суб'єкти господарювання, повинні зберігати документи. Так, у листі ДПСУ від 06.01.12 р. № 432/6/15-2216є зазначено, що платники податків зобов'язані забезпечити зберігання документів, визначених у п. 44.1 ПКУ, а також документів, пов'язаних з виконанням вимог законодавства, контроль за дотриманням якого покладено на контролюючі органи, не менше 1095 днів із дня подання податкової звітності, для складання якої використовуються зазначені документи, а в разі її неподання — з передбаченого ПКУ граничного строку подання такої звітності.
Порядок зберігання та знищення документів, що створюються під час діяльності юросіб усіх форм власності, визначають Правила роботи архівних підрозділів. Порядок роботи з документами фізосіб-підприємців поки що не врегульовано. Проте Держкомархівом передбачалася розробка такого нормативного документа (див. лист Держкомархіву від 07.06.06 р. № 03-622).
Строки та умови зберігання документів
Про Переліки № 41 і № 578. Строки зберігання типових документів, що створюються в результаті діяльності підприємства, наразі регламентуються Переліком № 41, а з 01.01.13 р. — Переліком № 578.
Через те, що ці документи мають чималий обсяг, на сторінках газети повністю їх не розміщуватимемо. За необхідності ви зможете самостійно відшукати Переліки № 41 і № 578 у повному обсязі (для цього радимо звернутися до достовірного джерела — сайта ВРУ http://rada.gov.ua/). А ми у Шпаргалці бухгалтера наведемо строки зберігання найбільш поширених документів (див. с. 23).
У Переліках № 41 і № 578 наведено строки зберігання в розрізі двох груп підприємств:
1) у графі 3 Переліків № 41 і № 578 указані строки зберігання для організацій, в діяльності яких створюються документи НАФ;
2) у графі 4 Переліків № 41 і № 578 містяться строки зберігання для організацій, у діяльності яких не створюються документи НАФ.
Організації, в діяльності яких утворюються документи НАФ повного та вибіркового прийому (державні та комунальні організації), передають документи НАФ на постійне зберігання до державних архівів або архівних відділів міських рад в обов'язковому порядку. Інші організації передають документи на підставі угод між власником документів та відповідною архівною установою.
У процесі діяльності підприємств здебільшого не створюються документи НАФ, тому у Шпаргалці бухгалтера ми наведемо строки зберігання тільки для таких організацій.
Експертиза цінності документа. Згідно з п.п. 4.2.1 Правил роботи архівних підрозділів установи незалежно від форм власності зобов'язані не пізніше одного року з початку діяльності звернутися до одного з держархівів, у зоні комплектування якого вони знаходяться, для проведення експертизи цінності документів з метою їх можливого віднесення до НАФ.
Ця процедура проводиться експертними та експертно-перевірними комісіями за участі власника документів або уповноваженої ним особи. Порядок утворення та діяльності комісій з проведення експертизи цінності документів, а також Порядок віднесення документів Національного архівного фонду до унікальних, їх обліку та зберігання, затверджені постановою КМУ від 08.08.07 р. № 1004.
Унесення документів до НАФ здійснюється на підставі рішення експертно-перевірної комісії про схвалення опису справ постійного зберігання та його затвердження в установленому Держархівом порядку.
Завданням експертної комісії юрособи є організація та проведення експертизи цінності документів, що створилися в діловодстві юрособи. Експертна комісія юрособи приймає рішення про схвалення та подання до експертно-перевірної комісії (експертної комісії архівного відділу райдержадміністрації, міської ради) проектів таких документів: опису справ постійного зберігання, внесених до НАФ, опису справ з особового складу, номенклатури справ, інструкції з діловодства, положення про службу діловодства, архівні підрозділи та експертні комісії, анотовані переліки унікальних документів НАФ, акти про вилучення для знищення документів, не внесених до НАФ, акти про вилучення документів із НАФ.
Заборонено знищувати документи без попереднього проведення експертизи їх цінності.
Згідно з п.п. 4.5.1 Правил роботи архівних підрозділів експертиза цінності документів здійснюється щорічно працівниками служби діловодства установи разом з експертною комісією під методичним керівництвом архіву установи.
Майте на увазі: обчислення строків зберігання документів здійснюється з 1 січня року, наступного за роком завершення їх діловодством. Наприклад, обчислення строку зберігання справ, завершених діловодством у 2011 році, починається з 1 січня 2012 року (п. 2.9 Переліку № 41). Строки зберігання документів, визначені в Переліках № 41 і № 578, є мінімальними, їх не можна скорочувати. Продовження строків зберігання документів допускається у випадках, якщо ця вимога викликана специфічними особливостями роботи конкретної організації (п. 2.11 Переліку № 41).
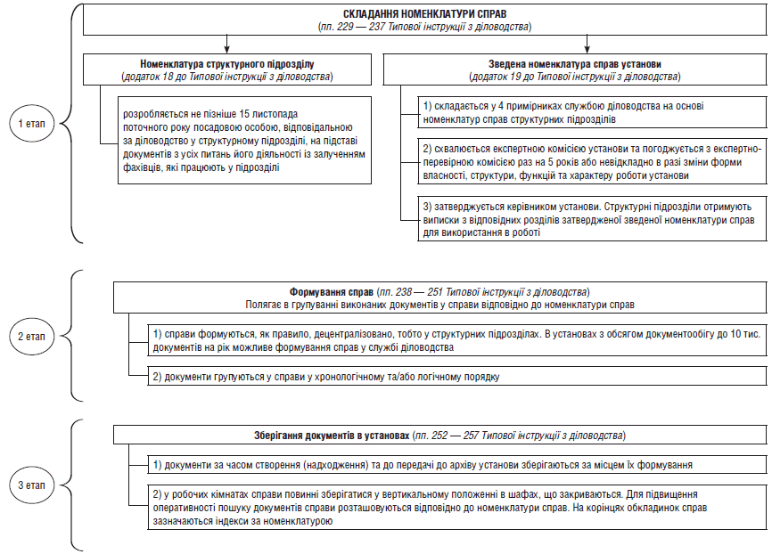
Формування номенклатури справ. Виконані документи групуються у справи відповідно до номенклатури справ. Для центральних органів виконавчої влади, ради міністрів АРК та місцевих органів виконавчої влади розроблено Типову інструкцію з діловодства. Зазначені органи повинні розробити відповідно до Типової інструкції з діловодства та затвердити за погодженням з державними архівними установами власні інструкції з діловодства та типові інструкції з діловодства для однорідних за характером діяльності підприємств, установ, організацій, які належать до сфери їх управління. Щодо звичайних підприємств, на наш погляд, при організації діловодства їм також можна орієнтуватися на Типову інструкцію з діловодства.
Етапи, які проходять уже виконані документи від виконання до зберігання на підприємстві згідно з Типовою інструкцією з діловодства, проілюстровано на рис. 1 на с. 27. Подальші етапи руху документа від експертизи його цінності до передачі до архіву на зберігання відображено на рис. 2 на с. 28. Ще раз звернемо увагу: неухильно дотримуватись норм Типової інструкції з діловодства звичайні підприємства не зобов'язані, але її можна взяти за основу при розробленні власної інструкції з діловодства.
Місце зберігання документів
Де зберігати документи? Згідно зі ст. 32 Закону про архіви підприємства мають право створювати архівні підрозділи для постійного або тимчасового зберігання документів, що не належать державі, територіальним громадам, передавати документи НАФ на зберігання до державних та інших архівних установ. Підприємства зобов'язані забезпечити збереження документів, що накопичилися за час їх діяльності, до проведення експертизи їх цінності та протягом року з дня реєстрації цих юросіб у встановленому законодавством порядку погодити свою номенклатуру справ з однією з державних архівних установ або архівним відділом міської ради.
Згідно з п.п. 2.1 Правил роботи архівних підрозділів установи створюють архіви для зберігання документів, закінчених діловодством, користування ними зі службовою, виробничою, науковою та іншою метою, а також для захисту законних прав та інтересів громадян. При цьому керівництво установи повинне забезпечити архів необхідним приміщенням, обладнанням та кадрами.
Отже, по суті, місце, де зберігаються вже виконані документи, називають архівом.
Пункт 2.2 Правил роботи архівних підрозділів пропонує нам два варіанти створення архіву:
1) створити архів як самостійну структурну частину підприємства;
2) створити архів як частину служби діловодства підприємства (управління справами, загального відділу, канцелярії тощо).
На підприємствах з невеликою кількістю працівників відповідальність за роботу з архівними документами покладається на одного з працівників служби діловодства.
До складу документів архіву, зокрема, входять закінчені в поточному діловодстві документи постійного та тривалого (понад 10 років) зберігання, особові архівні документи працівників установи та інші документи (п. 2.7 Правил роботи архівних підрозділів).
Документи передаються до архіву через 2 роки після закінчення їх у діловодстві в упорядкованому стані за описами. Форму опису наведено в додатку 1 до Правил роботи архівних підрозділів.
Що стосується документів тимчасового зберігання, то їх можна передати до архіву підприємства за рішенням керівника. Але на практиці такі документи зберігаються безпосередньо в тих відділах/підрозділах підприємства, в яких їх створили.
На рис. 1 на с. 27 наведено етапи руху документів від виконання до зберігання на підприємстві.
Чи можна обійтися без архіву на підприємстві? Так, якщо в підприємства немає вільного місця для організації архіву, немає бажання набирати додатковий персонал або є причина більш вагома, ніж названі, то про зберігання документів можна домовитися з місцевою архівною установою. Крім державних архівних установ, є й підприємства недержавної власності, що надають послуги зі зберігання документів. Також можна скористатися послугами державних нотаріальних контор (згідно з п. 22 ст. 34 Закону про нотаріат). Якщо ви вдастеся до послуг сторонніх організацій, то слід якнайретельніше проконтролювати документальне оформлення відносин, оскільки ці документи підтверджують здійснення витрат (наприклад, наказ керівника про передачу документів на зберігання до архіву/іншого підприємства (у ньому бажано обґрунтувати причину передачі документів до архіву, наприклад — зважаючи на відсутність вільного місця тощо); акт приймання-передачі виконаних робіт архівної установи; документ про оплату послуг тощо).
Нюанси зберігання документів
Скільки зберігати документи, якщо податкових перевірок не було? Насамперед звертаємо вашу увагу на примітки, наведені в графах 5 Переліків № 41 і № 578. Документи з нетривалим строком зберігання можна знищувати тільки за умови завершення податковими органами перевірки з питань дотримання податкового законодавства (наприклад, облікові регістри, податкові накладні, майнові доручення). При виникненні спорів, розбіжностей, слідчих та судових справ такі документи повинні зберігатися до прийняття остаточного рішення.
Згідно з п. 44.4 ПКУ, якщо документи, пов'язані з предметом перевірки, проведенням процедури адміністративного оскарження прийнятого за її результатами податкового повідомлення-рішення або судового розгляду, то вони повинні зберігатися до закінчення перевірки та передбаченого законом строку оскарження прийнятих за її результатами рішень та/або вирішення справи судом, але не менше 1095 днів. Тобто для таких документів мінімальний строк зберігання становить 3 роки (1095 днів), знищити їх можна тільки після закінчення цього строку за умови закінчення перевірки або закінчення процедури оскарження чи судового розгляду.
Проте судячи з усього, навіть якщо за 3 роки ваше підприємство не перевірили, то ви, незважаючи на це, маєте право позбутися старих документів. Такий висновок можна зробити, проаналізувавши п. 102.1 ПКУ. Так, контролюючий орган у загальному випадку має право самостійно визначити суму грошових зобов'язань платника податків у випадках, визначених ПКУ, не пізніше закінчення 1095 дня, наступного за останнім днем граничного строку подання податкової декларації та/або граничного строку сплати грошових зобов'язань, нарахованих контролюючим органом, а якщо така податкова декларація була подана пізніше, — за днем її фактичного подання. Якщо протягом зазначеного строку контролюючий орган не визначає суму грошових зобов'язань, платник податків вважається вільним від такого грошового зобов'язання, а спір стосовно такої декларації та/або податкового повідомлення не підлягає розгляду в адміністративному або судовому порядку. Тому недоцільно зберігати документи, які вже не зможуть стати підставою для нарахування зобов'язань ані самим платником податків, ані податковим органом. Але якщо закінчення строку в 1095 днів раптом збіжиться з періодом перевірки вашого підприємства, то в такому разі вам доведеться дочекатися закінчення перевірки, як того вимагає п. 44.4 ПКУ.
Що стосується документів, пов'язаних з обчисленням та сплатою внесків до соцфондів та ЄВС, то їх доцільніше зберігати за всі періоди, за які не проводилася перевірка (див. лист ПФУ від 31.01.12 р. № 2153/03-20 та ком. до нього «Документи для перевірок ПФУ зберігаємо безстроково: роз'яснює Пенсійний фонд» // «БТ», 2012, № 16, с. 6).
Інші нюанси зберігання документів. Деякі документи необхідно зберігати до ліквідації підприємства (наприклад, річну фінансову звітність, документи про переоцінку основних засобів, колективні договори).

Рис. 1. Етапи руху документів від виконання до зберігання на підприємстві

Рис. 2. Етапи руху документів від експертизи їх цінності до здавання до архіву
У табл. 1 наведемо відповіді на деякі актуальні запитання, пов'язані зі зберіганням документів.
Таблиця 1. Нюанси зберігання документів
| Запитання | Відповідь |
| 1 | 2 |
| Хто на підприємстві має бути відповідальним за зберігання бухгалтерської документації? | Згідно з п. 6.7 Положення № 88 зберігання первинних документів та облікових регістрів, що пройшли обробку та були підставою для складання звітності, а також бухгалтерських звітів та балансів, оформлення та передачу їх до архіву забезпечує головний бухгалтер підприємства. Тобто, як правило, головний бухгалтер не може бути відповідальним за зберігання документів, його завдання — оформити та передати до архіву. Відповідальність за зберігання документів зазвичай покладається на працівника служби діловодства підприємства, а якщо підприємство невелике і такої служби немає — то на обраного керівником працівника |
| ПКУ та Переліки № 41 і № 578 по-різному визначають тривалість зберігання деяких документів. На який нормативний акт необхідно орієнтуватися? | Дійсно, ПКУ пропонує один строк зберігання — 1095 днів із дня подання податкової звітності, для складання якої використовуються ці документи, а в разі її неподання — з передбаченого ПКУ граничного строку подання цієї звітності. Переліки № 41 і № 578 більш універсальні, оскільки містять строки зберігання документів, про які ПКУ не згадує. Тому, на наш погляд, щоб уникнути претензій з боку контролюючих органів, радимо орієнтуватися на більш тривалий строк. Тобто вибирати, де вказано більший строк зберігання того чи іншого документа — у ПКУ чи в Переліках № 41, № 578, та його дотримуватись. Звернемо увагу, що відлік строку зберігання ПКУ та Переліки № 41, № 578 також визначають по-різному. У ПКУ йдеться про дату подання звітності (дату граничного строку подання), а згідно з п. 2.9 Переліку № 41 (п. 2.10 Переліку № 578) строк зберігання відлічується з 1 січня року, наступного за роком завершення діловодства документа. Для своєї ж безпеки радимо відлічувати строк з початку нового року. Наприклад, строк зберігання документа, який було складено 21 липня 2011 року, відлічувати з 1 січня 2012 року |
| У якому вигляді (паперовому чи електронному) має зберігатися звітність, надіслана до ДПС засобами телекомунікаційного зв'язку, та отримані квитанції, що засвідчують час і факт прийняття звітності? | Платники податків можуть зберігати звітність, відправлену до ДПС засобами телекомунікаційного зв'язку, та отримані квитанції, що засвідчують час і факт прийняття звітності, в електронному вигляді: у вигляді архіву переданих до органу ДПС файлів податкових документів з накладеними на них ЕЦП (див. консультацію в ЄБПЗ, розд. 020.03). Тобто без необхідності роздруковувати документи не потрібно(1). Детальні вимоги до електронних документів див. у ст. 13 Закону про електронні документи. У скороченому варіанті ці вимоги вказані також у п. 6.4 Положення № 88. Ще варто додати: згідно з абзацом другим ст. 7 Закону про електронні документи в разі відправки електронного документа декільком адресатам або його зберігання на декількох електронних носіях інформації кожен з електронних примірників вважається оригіналом електронного документа. Основи зберігання електронних документів в архівних підрозділах регламентовано Порядком № 49 |
| Який строк зберігання архіву файлів про подання звітності органам ДПС в електронному вигляді (у тому числі, якщо перевірка не проводилася 3 роки)? | Згідно з п. 4 розд. II Інструкції № 233, податкові документи в електронному вигляді з обов'язковими реквізитами (у тому числі з ЕЦП платника податків (його посадових осіб)), подані відповідно до цієї Інструкції, згідно із законодавством є оригіналами, мають юридичну силу, повинні зберігатися та можуть використовуватися під час судового або досудового вирішення спорів. |
| Чи можна знищити документи, якщо на підприємстві є їх копії в електронному вигляді? | Ні, у такому разі паперові оригінали документів доведеться зберігати протягом законодавчо встановлених строків. Це пов'язане з тим, що відскановані документи, тобто ті, які первісно створювалися не в електронному вигляді, не може бути визнано електронними документами як такими. Ви можете заперечити — на ньому ж видно підписи та печатки, проте все одно такий відсканований документ не є електронним у розумінні Закону про електронні документи та не має юридичної сили, зважаючи на відсутність на ньому обов'язкового реквізиту — ЕЦП |
| Які строки передбачено для зберігання документів, пов'язаних з обчисленням та сплатою податків і зборів суб'єктів господарювання (фізосіб та юросіб), якщо перевірка органом ДПС не проводилася понад | Платники податків зобов'язані забезпечити зберігання документів, визначених у п. 44.1 ПКУ, а також документів, пов'язаних з виконанням вимог законодавства, контроль за дотриманням якого покладено на контролюючі органи, не менше 1095 днів із дня подання податкової звітності, для складання якої використовуються зазначені документи, а в разі її неподання — із передбаченого цим Кодексом граничного строку подання такої звітності. |
| Як бути з документами, за якими ще не закінчився строк зберігання, а підприємство ліквідується? | Позбутися документів унаслідок ліквідації підприємства не вдасться. Згідно з ч. 3 ст. 32 Закону про архіви в разі ліквідації юросіб ліквідаційні комісії зобов'язані забезпечити збереженість їх архівних документів і за погодженням із центральним органом виконавчої влади у сфері архівної справи та діловодства або уповноваженою ним архівною установою визначити місце подальшого зберігання архівних документів цих юросіб (усі первинні документи, регістри бухгалтерського обліку, бухгалтерська звітність та інші документи, пов'язані з обчисленням і сплатою податків і зборів (обов'язкових платежів) за період 1095 днів, що передують даті останньої господарської операції, — протягом 3 років із дня здачі до архіву, документи про нарахування та виплату зарплати найманим працівникам — протягом 70 років) |
| Що робити, якщо документ пошкоджено або загублено? | На щастя, що робити в такій ситуації описано в самому ПКУ. Так, у разі втрати, пошкодження або дострокового знищення документів платник податків зобов'язаний у п'ятиденний строк із дня такої події письмово повідомити орган ДПС за місцем обліку в порядку, установленому ПКУ для подання податкової звітності, та митний орган, яким було здійснено митне оформлення відповідної митної декларації (п. 44.5 ПКУ)(3). Платник податків зобов'язаний відновити втрачені документи протягом 90 календарних днів із дня, наступного за днем надходження повідомлення до органу ДПС, митного органу. |
| (1) Згідно з ч. 6 ст. 9 Закону про бухоблік у разі складання та зберігання первинних документів і регістрів бухгалтерського обліку на машинних носіях інформації підприємство зобов'язане за свій рахунок виготовити їх копії на паперових носіях на вимогу інших учасників господарських операцій, а також правоохоронних органів та відповідних органів у межах їх повноважень, передбачених законами. (2) Примірний договір про визнання електронних документів міститься в додатку 1 до Інструкції № 233. (3) Крім того, у п. 6.10 Положення № 88 зазначено, що в разі зникнення чи знищення документів керівник повинен письмово повідомити про це правоохоронні органи та наказом призначити комісію для встановлення переліку відсутніх документів та розслідування причин їх зникнення чи знищення. Результати роботи комісії оформляються актом, який затверджується керівником. Копія акта направляється органу, у сфері управління якого перебуває підприємство, установа, а також ДПІ — підприємствами в 10-денний строк. | |
Знищення документів
Що потрібно зробити перед знищенням документів? Знищити документи, які не становлять цінності для НАФ, можна тільки у випадку, коли закінчився строк їх зберігання.
Згідно з п. 3.6 Переліку № 41 організації, в діяльності яких не утворюються документи НАФ, складають акти про вилучення для знищення документів після підготовки описів справ тривалого (понад 10 років) зберігання та з особового складу.
Акти одночасно з описами справ подаються на розгляд експертній комісії організації, після чого схвалені акти про вилучення для знищення разом з описами справ з особового складу подаються на погодження експертно-перевіряючій комісії відповідного держархіву.
Знищення документів здійснюється після затвердження акта керівником організації, якщо практична потреба в них відпала та строки їх зберігання закінчилися.
Форму акта про вилучення для знищення документів, не внесених до НАФ, наведено в додатку 7 до Правил роботи архівних підрозділів.
Роль підприємств вторсировини. Справи, відібрані для знищення, передаються організаціям із заготівлі вторинної сировини за накладними, в яких указується вага паперової макулатури, переданої для переробки*. Дата здачі документів, їх вага та номер накладної вказуються в актах про вилучення документів для знищення. Ці акти вкладаються у справу архівного фонду організації та зберігаються в архіві організації (п. 3.7 Переліку № 41).
* Відповідно до листа Держкомархіву від 12.01.01 р. № 05-26 віднесення організації до категорії підприємств, що займаються заготівлею вторинної сировини, підтверджується її статутом, затвердженим та зареєстрованим у встановленому порядку.
При незначному обсязі документів, виділених до знищення, вони можуть бути спалені, про що в акті робиться відповідна відмітка. Щоб визначити, чи є обсяг незначним, підприємства можуть звернутися до підприємств із заготівлі вторсировини. Ці підприємства проводять експертизу кількості документів та надають висновок про те, що їх обсяг незначний. Якщо підприємство отримає позитивний висновок, то може провести знищення самостійно.
Відповідальність за порушення порядку зберігання та знищення документів
Нюанси застосування штрафів у сфері зберігання документів . Порушуючи порядок зберігання та знищення документів, готуйтеся до досить істотних фінансових санкцій.
Згідно з п. 3.8 Переліку № 41 порушення строків зберігання документів є незаконним та тягне відповідальність згідно з чинним законодавством.
Насамперед про відповідальність за порушення у сфері зберігання документів згадується в п. 121.1 ПКУ. Крім ПКУ, про порушення у сфері зберігання документів та відповідальність за такі порушення йдеться, зокрема, у ККУ та КпАП.
Крім того, майте на увазі, що згідно з п. 112.1 ПКУ притягнення до фінансової відповідальності платників податків за порушення законів з питань оподаткування, іншого законодавства, контроль за дотриманням якого покладено на контролюючі органи, не звільняє їх посадових осіб за наявності відповідних підстав від притягнення до адміністративної або кримінальної відповідальності. Аналізуючи практичну реалізацію цієї норми, можна дійти висновку: якщо вас притягнули до відповідальності за ст. 121.1 ПКУ і ви сплатили штраф у розмірі 510 грн., це вас не звільняє від відповідальності згідно з ККУ, КпАП.
Санкції. У табл. 2 систематизовано найбільш поширені порушення, пов'язані зі зберіганням документів, та відповідальність за них.
Таблиця 2. Відповідальність за порушення у сфері зберігання документів
| № з/п | Порушення | Відповідальність | Чим передбачена | Хто компетентний застосувати санкцію |
| 1 | 2 | 3 | 4 | 5 |
| 1 | Незабезпечення платником податків зберігання первинних документів, облікових та інших регістрів, бухгалтерської та статистичної звітності, інших документів з питань обчислення та сплати податків і зборів протягом установлених ст. 44 ПКУ строків їх зберігання та/або ненадання платником податків контролюючим органам оригіналів документів або їх копій при здійсненні податкового контролю | Штраф у розмірі 510 грн. | Ч. 1 п. 121.1 ПКУ | Податкові органи |
| Повторне порушення протягом року | Штраф у розмірі 1020 грн. | Ч. 2 п. 121.1 ПКУ | ||
| 2 | Умисне знищення, пошкодження або приховування, вчинене з корисливих мотивів чи в інших особистих інтересах | Штраф до 850 грн. або обмеження волі на строк до 3 років | Ч. 1 ст. 357 ККУ | Суди |
| Ті самі дії, що спричинили порушення роботи підприємства, установи чи організації, або вчинені щодо особливо важливих документів | Штраф до 1190 грн. або обмеження волі строком до 3 років, або позбавлення волі на той самий строк | Ч. 2 ст. 357 ККУ | ||
| 3 | Недбале зберігання, псування, незаконне знищення, приховування, незаконна передача іншій особі архівних документів, порушення порядку щодо доступу до зазначених документів, а також неповідомлення державної архівної установи про наявні архівні документи в разі виникнення загрози знищення або значного погіршення їх стану | Попередження або накладення штрафу на громадян від 51 до 119 грн. | Ч. 1 ст. 921 КпАП | Суди (ст. 221 КпАП) |
| Попередження або накладення штрафу на посадових осіб — від 85 до 170 грн. | ||||
| 4 | Ті самі дії, вчинені особою, яку протягом року було піддано адміністративному стягненню за одне з порушень, передбачених ч. 1 ст. 921 КпАП | Штраф на громадян від 119 до 340 грн. | Ч. 2 ст. 921 КпАП | |
| Штраф на посадових осіб — від 170 до 680 грн. | ||||
| 5 | Відсутність бухгалтерського обліку або ведення його з порушенням установленого порядку | Штраф від 136 до 255 грн. | Ч. 1 ст. 1642 КпАП | Органи державної контрольно-ревізійної служби (ст. 2341 КпАП) |
| 6 | Ті самі дії, вчинені особою, яку протягом року було піддано адміністративному стягненню за одне з правопорушень, зазначених в ч. 1 ст. 1642 КпАП | Штраф від 170 до 340 грн. | Ч. 2 ст. 1642 КпАП | |
| 7 | Порушення керівниками та іншими посадовими особами підприємств, установ, організацій установленого законом порядку ведення податкового обліку | Штраф у розмірі від 85 до 170 грн. | Ч. 1 ст. 1631 КпАП | Органи ДПС складають протокол про адміністративне правопорушення (п. 1 ст. 255 КпАП), а суд виносить рішення (ст. 211 КпАП) |
| 8 | Дії, передбачені ч.1 ст. 1631 КпАП, учинені особою, яку протягом року було піддано адміністративному стягненню за те саме порушення | Штраф у розмірі від 170 до 255 грн. | Ч. 2 ст. 1631 КпАП | |
| 9 | Незабезпечення належного стану первинного обліку | Штраф на посадових осіб — від 170 до 255 грн. | Ч. 1 ст. 1863 КпАП | Органи держстатистики (ст. 2443 КпАП ). Органи внутрішніх справ (п. 1 ст. 255 КпАП) |
| 10 | Дії, передбачені ч. 1 ст. 1863 КпАП, учинені повторно протягом року після накладення адміністративного стягнення | Штраф на посадових осіб — від 255 до 425 грн. | Ч. 2 ст. 1863 КпАП |
Деякі фахівці вважають, що в разі умисного знищення, псування приховування документів та в інших випадках, коли можна запідозрити наявність наміру, існує ймовірність притягнення до відповідальності за ст. 364, 365 і 367 ККУ — як перевищення, зловживання владою або службовими повноваженнями, чи халатність. На наш погляд, відповідальність за цими нормами застосовна у сфері зберігання документів залежно від того, до чого призведе умисне знищення, псування та приховування документів.
На цьому завершуємо розмову про зберігання документів. Таблицю зі строками зберігання найбільш поширених документів наведено у Шпаргалці бухгалтера на с. 25. Сподіваємося, що ви дотримували порядок зберігання документів і вам не доведеться сплачувати штрафи.
Документи і скорочення статті
ПКУ — Податковий кодекс України від 02.12.10 р. № 2755-VI.
ККУ — Кримінальний кодекс України від 05.04.01 р. № 2341-III.
КпАП — Кодекс України про адміністративні правопорушення від 07.12.84 р. № 8073-X.
Закон про ЄВС — Закон України «Про збір та облік єдиного внеску на загальнообов'язкове державне соціальне страхування» від 08.07.10 р. № 2464-VI.
Закон про бухоблік — Закон України «Про бухгалтерський облік та фінансову звітність в Україні» від 16.07.99 р. № 996-XIV.
Закон про архіви — Закон України «Про Національний архівний фонд та архівні установи» від 24.12.93 р. № 3814-XII.
Закон про нотаріат — Закон України «Про нотаріат» від 02.09.93 р. № 3425-XII.
Закон про електронні документи — Закон України «Про електронні документи та електронний документообіг» від 22.05.03 р. № 851-IV.
Перелік № 41 — Перелік типових документів, що створюються в діяльності органів державної влади та місцевого самоврядування, інших установ, організацій і підприємств, із зазначенням термінів зберігання документів, затверджений наказом Головархіву при КМУ від 20.07.98 р. № 41 (втратить чинність з 01.01.13 р.).
Перелік № 578/5 — Перелік типових документів, що створюються під час діяльності органів державної влади та місцевого самоврядування, інших установ, підприємств та організацій, із зазначенням строків зберігання документів, затверджений наказом Мін'юсту від 12.04.12 р. № 578/5 (набере чинності з 01.01.13 р.).
Положення № 88 — Положення про документальне забезпечення записів у бухгалтерському обліку, затверджене наказом Мінфіну від 24.05.95 р. № 88.
Правила роботи архівних підрозділів — Правила роботи архівних підрозділів органів державної влади, місцевого самоврядування, підприємств, установ і організацій, затверджені наказом Держкомархіву від 16.03.01 р. № 16.
Типова інструкція з діловодства — Типова інструкція з діловодства у центральних органах виконавчої влади, Раді міністрів Автономної Республіки Крим, місцевих органах виконавчої влади, затверджена постановою КМУ від 30.11.11 р. № 1242.
Інструкція № 233 — Інструкція з підготовки та подання податкових документів в електронному вигляді засобами телекомунікаційного зв'язку, затверджена наказом ДПАУ від 10.04.08 р. № 233.
Порядок № 49 — Порядок зберігання електронних документів в архівних установах, затверджений наказом Держкомархіву від 25.04.05 р. № 49.
ЄБПЗ — Єдина база податкових знань, розміщена на сайті ДПСУ: http://sts.gov.ua/ebpz
НАФ — Національний архівний фонд.
ЕЦП — електронний цифровий підпис.
ДПС — Державна податкова служба.
ПФУ — Пенсійний фонд України.
ФТВП — Фонд соціального страхування у зв'язку з тимчасовою втратою працездатності.
ФБ — Фонд загальнообов'язкового державного соціального страхування України на випадок безробіття.
ФНВ — Фонд соціального страхування від нещасних випадків на виробництві і професійних захворювань України.
ЄВС — єдиний внесок на загальнообов'язкове державне соціальне страхування.
