Прем’єр-міністром було озвучено, що кожен, хто залишився без даху над головою, кожен, чий дім чи квартира були знищені окупантом, зможе залишити заявку на відшкодування в «Дії». Для цього було створено Фонд відновлення зруйнованого майна та інфраструктури. І щойно війна буде завершена, має розпочатися відновлення всього, що зруйнував ворог.
Станом на сьогодні ця функція вже додана в «Дію». Ба більше, 01.04.2022 Верховною Радою України було прийнято за основу проєкт Закону (№ 7198) «Про компенсацію за пошкодження та знищення окремих категорій об’єктів нерухомого майна внаслідок бойових дій, терористичних актів, диверсій, спричинених військовою агресією Російської Федерації» (далі — законопроєкт № 7198). На момент підготовки цього матеріалу статус зазначеного проєкту — готується до другого читання.
Отже, до його «остаточного» прийняття, підписання Президентом України та набрання ним чинності всі ми перебуваємо в умовах, коли ані механізм визначення розміру руйнування (пошкодження) майна громадян, ані процедура отримання ними компенсації за зруйноване (пошкоджене) майно, ані роль органів місцевого самоврядування чи інших органів у цьому процесі залишаються поки що не врегульованими на законодавчому рівні.
Цей матеріал підготовлений, як то кажуть, про всяк випадок, якщо з якихось причин відбудеться затримка в набранні чинності законопроєктом № 7198. Однозначно можу сказати, що без залучення до процесу збору інформації про зруйноване (пошкоджене) житло громадян саме органів місцевого самоврядування не обійдеться. Підтвердженням тому може слугувати попередній досвід нашої ж країни, а також положення вже наявного законопроєкту № 7198.
Можу сказати, що вже декілька тижнів поспіль багато хто з органів місцевого самоврядування звертається із запитаннями, яким чином щонайменше фіксувати руйнування та якого алгоритму дій дотримуватися, і, на мою думку, це цілком правильні запитання.
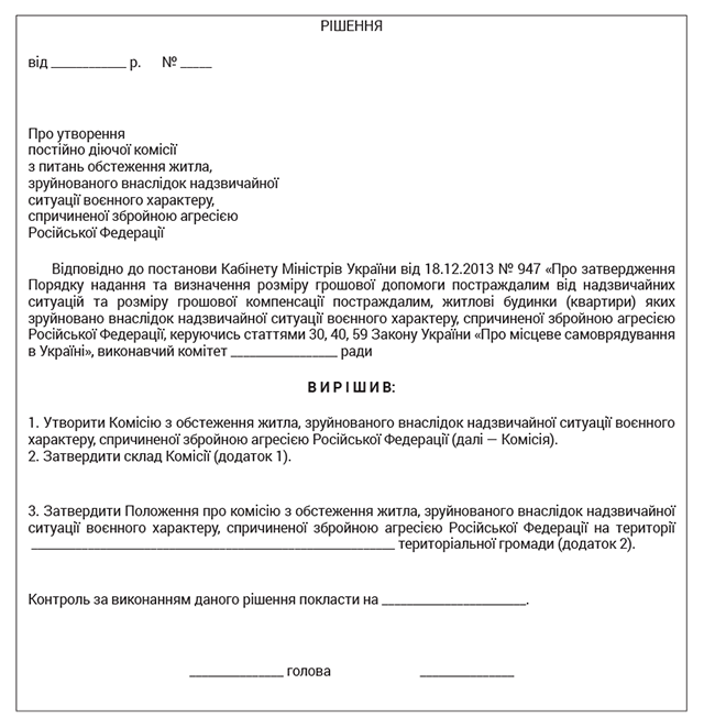
Чи не єдиним документом, який може допомогти в цих питаннях станом на сьогодні, є Порядок надання та визначення розміру грошової допомоги постраждалим від надзвичайних ситуацій та розміру грошової компенсації постраждалим, житлові будинки (квартири) яких зруйновано внаслідок надзвичайної ситуації воєнного характеру, спричиненої збройною агресією Російської Федерації, затверджений постановою КМУ від 18.12.2013 № 947 (далі — Порядок).
Не зупинятимуся на тих базових положеннях цього Порядку, що визначають суб’єктів, які мають право на таку компенсацію, а перейду безпосередньо до того, що мали робити органи місцевого самоврядування в той час (коли події відбувалися в Луганській та Донецькій областях) саме в частині визначення та підтвердження фактів руйнування (пошкодження) житла фізичних осіб.
Отже, зазначеним Порядком передбачається, що органи місцевого самоврядування, а в разі їх відсутності — військово-цивільні адміністрації населених пунктів (звертаю увагу, що в межах територій Донецької та Луганської областей на той час діяли і продовжують діяти в переважній більшості саме військово-цивільні адміністрації, які утворювалися відповідно до Закону України від 03.02.2015 № 141-VIII «Про військово-цивільні адміністрації», тому в Порядку саме вони і наводяться; у межах же інших територій України після введення воєнного стану було утворено військові адміністрації різного рівня (обласні, районні, населених пунктів):
| 1 | проводять обстеження пошкодженого або зруйнованого житла |
| 2 | обліковують таке житло |
| 3 | складають і затверджують списки постраждалих на відповідній території |
| 4 | збирають інформацію, необхідну для прийняття рішень щодо надання або відмови в наданні грошової компенсації |
| 5 | видають довідки про визнання особи постраждалою внаслідок надзвичайної ситуації (звісно, йдеться про ситуацію воєнного характеру) |
Пунктом 12 зазначеного Порядку передбачається, що для проведення обстеження житла, зруйнованого внаслідок надзвичайної ситуації воєнного характеру, спричиненої збройною агресією Російської Федерації, органи місцевого самоврядування, а у разі їх відсутності — військово-цивільні адміністрації населених пунктів:
| 1 | утворюють комісію з обстеження житла, зруйнованого внаслідок надзвичайної ситуації воєнного характеру, спричиненої збройною агресією Російської Федерації (далі — комісія з обстеження) |
| 2 | призначають голову, заступника голови комісії з обстеження |
| 3 | затверджують склад комісії з обстеження із залученням за згодою депутатів відповідної місцевої ради, представників райдержадміністрацій та правоохоронних органів, а також представників громадських об’єднань та неприбуткових організацій |
У разі потреби до обстеження житла відповідно до законодавства можуть за згодою залучатися фахівці проєктних і науково-дослідних організацій та інші суб’єкти господарювання, у тому числі ті, які мають право проводити обстеження та технічну інвентаризацію об’єктів нерухомого майна.
Не знаю повсюдну практику, яка складається в тих громадах, де відбулися руйнування, але точно знаю, що органи місцевого самоврядування деяких таких територіальних громад уже почали це робити, не очікуючи нової нормативної бази. І я їх розумію. Оскільки залежно від масштабів руйнувань, робота такої комісії може бути досить тривалою. Крім іншого, потрібно виходити й з того, що бажано зафіксувати оперативно такі руйнування та пошкодження, тобто за можливості максимально наближено до часу, коли це відбулося (знову ж таки, якщо це є можливим, тобто діяти доцільно по ситуації, яка у всіх різна).
В органів місцевого самоврядування, які до нас зверталися, виникало логічне запитання: яким саме органом має бути утворено комісію з обстеження зруйнованого внаслідок надзвичайної ситуації воєнного характеру, спричиненої збройною агресією Російської Федерації (далі — Комісія)? Зазначений Порядок це питання не деталізує, тому, на мою думку, знову ж таки необхідно виходити з реалій, в яких існує та чи інша громада. Як на мене, то таку Комісію можна утворити і рішенням виконавчого комітету. Щонайменше це дозволяє зробити ст. 30 Закону України від 21.05.1997 № 280/97-ВР «Про місцеве самоврядування в Україні».

За результатами обстеження Комісія складає акт обстеження житла, зруйнованого (пошкодженого) внаслідок надзвичайної ситуації воєнного характеру, спричиненої збройною агресією Російської Федерації (далі — Акт), за формою згідно з додатком 1 до Порядку у двох примірниках, один з яких надається заявнику або його представнику. В Акті зазначається висновок про технічний стан житла на момент його обстеження: «зруйноване», «пошкоджене», «було зруйноване, але на момент обстеження є повністю відбудованим» або «було зруйноване, але на момент обстеження є частково відбудованим». У разі коли житло пошкоджене, зазначається його придатність до проживання: придатне чи непридатне для проживання.
Комісія зазначає в Акті, що житло було зруйноване, але на момент обстеження є повністю або частково відбудованим, лише у випадку, якщо наявні документи (матеріали) дають можливість однозначно дійти висновку, що житло було зруйноване саме внаслідок надзвичайної ситуації воєнного характеру, спричиненої збройною агресією Російської Федерації.
| Довідково У разі незгоди із висновком комісії з обстеження заявник має право на повторне обстеження (перегляд висновку) комісією в строки, встановлені цим Порядком, з обов’язковим залученням відповідного фахівця проєктної або науково-дослідної організації, або іншого суб’єкта господарювання, який має право на здійснення будівельно-технічної експертизи та/або технічної інвентаризації, та/або експертного обстеження об’єктів нерухомого майна за вибором та за кошти заявника. |
Передбачається, що заявник або його представник мають право долучатися до роботи Комісії під час обстеження та складання Акта, підписувати його, надавати пояснення, окрему думку, додавати інші документи та/або інформацію, які заявник або його представник вважають за потрібне додати, здійснювати фото- та відеофіксацію обстеження житла.
Заявник або його представник під час обстеження житла та складання Акта мають право надати Комісії експертні висновки, звіти або інші документи фахівців проєктних і науково-дослідних організацій та інших суб’єктів господарювання, які мають право на здійснення будівельно-технічної експертизи та/або технічної інвентаризації об’єктів нерухомого майна. Такі документи є обов’язковими для врахування Комісією під час складання Акта .
| Довідково Під час проведення обстеження житла, яке на момент обстеження залишається зруйнованим, та складання Акта обстеження такого житла Комісія може враховувати фото- та відеоматеріали, в яких зафіксовано факт руйнування житла, попередні акти обстеження, довідки, експертні висновки чи звіти, акти про пожежу, витяги з Єдиного реєстру досудових розслідувань та інші документи відповідних органів державної влади, органів місцевого самоврядування чи суб’єктів господарювання, що складені в межах їх повноважень, а також дані, що містяться в офіційних доповідях (повідомленнях) Верховного Комісара Організації Об’єднаних Націй з прав людини, Організації з безпеки та співробітництва в Європі, Міжнародного Комітету Червоного Хреста, Уповноваженого Верховної Ради України з прав людини, розміщені на вебсайтах зазначених організацій. Під час проведення обстеження житла, яке на момент обстеження є повністю або частково відбудованим, та складання Акта Комісія зобов’язана враховувати наявні попередні акти обстеження, довідки, експертні висновки чи звіти, акти про пожежу, витяги з Єдиного реєстру досудових розслідувань та інші документи відповідних органів державної влади, органів місцевого самоврядування чи суб’єктів господарювання, що складені в межах їх повноважень, а також може враховувати фото- та відеоматеріали, в яких зафіксовано факт руйнування житла та дані, що містяться в офіційних доповідях (повідомленнях) Верховного Комісара Організації Об’єднаних Націй з прав людини, Організації з безпеки та співробітництва в Європі, Міжнародного Комітету Червоного Хреста, Уповноваженого Верховної Ради України з прав людини, розміщені на вебсайтах зазначених організацій. У разі коли житло було зруйноване, але на дату обстеження є повністю або частково відбудованим, органи місцевого самоврядування, а в разі їх відсутності — військово-цивільні адміністрації населених пунктів протягом 30 робочих днів з дня прийняття рішення про проведення обстеження житла, але в будь-якому разі не пізніше дати такого обстеження перевіряють, чи наявні в них матеріали, зазначені в цьому пункті, а також за потреби надсилають запити для з’ясування таких обставин до органів державної влади, місцевого самоврядування, неприбуткових організацій та суб’єктів господарювання. |
Важливим питанням є також, що підставою для проведення обстеження житла є саме звернення заявника (зазвичай власника житла) або його представника.
У Порядку (п. 16) з цього приводу, зокрема, визначено, що для проведення обстеження житла, зруйнованого внаслідок надзвичайної ситуації воєнного характеру, спричиненої збройною агресією Російської Федерації, та для визнання особи постраждалою внаслідок надзвичайної ситуації заявники або їх представники подають на розгляд органів місцевого самоврядування, а у разі їх відсутності — відповідних військово-цивільних адміністрацій населених пунктів за місцем розташування житла такі документи на кожен окремий об’єкт житла:
| 1 | заяву про проведення обстеження житла, зруйнованого внаслідок надзвичайної ситуації воєнного характеру, спричиненої збройною агресією Російської Федерації, та виплату грошової компенсації, за формою згідно з додатком 2 до цього Порядку |
| 2 | копію документа, що посвідчує особу та підтверджує громадянство України, або документа, що посвідчує особу та підтверджує її спеціальний статус |
| 3 | копію одного з передбачених Податковим кодексом України документа з даними про реєстраційний номер облікової картки платника податків (крім випадків, коли заявником є іноземець, особа без громадянства або особа, яка через свої релігійні переконання в установленому порядку відмовилася від прийняття реєстраційного номера облікової картки платника податку та повідомила про це відповідний контролюючий орган і має відмітку в паспорті громадянина України) |
| 4 | інформацію (інформаційну довідку або копію витягу) з Державного реєстру речових прав на нерухоме майно або нотаріально завірені копії документів, що підтверджують наявність права власності у заявника на житло на момент подання заяви про проведення обстеження житла та виплату грошової компенсації |
Передбачається, що органами місцевого самоврядування, а у разі їх відсутності — відповідними військово-цивільними адміністраціями населених пунктів здійснюється перевірка поданої інформації з Державного реєстру речових прав на нерухоме майно шляхом доступу до нього в порядку, визначеному Законом України «Про державну реєстрацію речових прав на нерухоме майно та їх обтяжень». Ось тут є певні проблеми, адже станом на сьогодні цей Реєстр має працювати з певними особливостями (тут варто нагадати про постанову КМУ від 06.03.2022 № 209 «Деякі питання державної реєстрації в умовах воєнного стану та внесення змін до постанови Кабінету Міністрів України від 28 лютого 2022 р. № 164»). На мою думку, тимчасово можна обійтися і без такої перевірки. Лише про це треба зазначити в положенні про Комісію. Як варіант, можна прописати, що така перевірка буде здійснена після відновлення доступу до зазначеного Реєстру (тут варто почекати відповідних нормативно-правових актів від Міністерства юстиції України, які мають бути розроблені на виконання постанови КМУ від 28.02.2022 № 164).
Пунктом 16 Порядку визначено, що заява та документи, передбачені цим пунктом, подаються в порядку, визначеному Законом України «Про адміністративні послуги» (в електронній формі — за технічної можливості).
Органи місцевого самоврядування, а у разі їх відсутності — військово-цивільні адміністрації населених пунктів приймають протягом п’яти календарних днів з дня надходження заяви за формою згідно з додатком 2 до Порядку рішення про проведення обстеження житла або надають заявнику чи його представнику можливість усунути недоліки в поданих документах та приймають протягом п’яти календарних днів з дня надходження доопрацьованих документів рішення про проведення обстеження житла, про що повідомляють заявника або його представника зворотними каналами зв’язку, що зазначені в заяві.
| Довідково Пам’ятаємо, що основною організаційною формою роботи будь-якої комісії є засідання, які проводяться у разі потреби. Рішення комісії оформлюється протоколом, який підписується головою та секретарем. Власне всі ці організаційні та процедурні моменти роботи, в тому числі і комісії з обстеження, можна і варто включити до положення про комісію з обстеження, про яке вже згадувалося вище у формі рішення про утворення такої комісії. |
Обстеження житла, зруйнованого внаслідок надзвичайної ситуації воєнного характеру, спричиненої збройною агресією Російської Федерації, повинно бути проведене у строк не більше 30 календарних днів з моменту прийняття відповідного рішення.
| Важливо Пунктом 18 Порядку визначено, що органи місцевого самоврядування, а у разі їх відсутності — військово-цивільні адміністрації населених пунктів протягом трьох робочих днів з дня проведення обстеження житла безоплатно та за наявності в акті обстеження висновку щодо його руйнації (пошкодження) видають заявнику або його представнику довідку про визнання особи постраждалою внаслідок надзвичайної ситуації за формою згідно з додатком 3 до Порядку. До речі, в рішенні виконавчого комітету про утворення комісії з обстеження можна окремим пунктом визначити особу, уповноважену та відповідальну за видачу зазначених довідок. Наприклад, цей пункт може звучати так: «Визначити уповноваженою особою органу місцевого самоврядування для підписання Довідки про визнання особи постраждалою внаслідок надзвичайної ситуації — секретаря Комісії з обстеження житла, зруйнованого внаслідок надзвичайної ситуації воєнного характеру, спричиненої збройною агресією Російської Федерації, ___________________________________________». |
Далі пунктом 21 Порядку визначено, що:
«Органи місцевого самоврядування, а у разі їх відсутності — військово-цивільні адміністрації населених пунктів формують та затверджують щомісяця до 5 числа списки постраждалих, житло яких зруйноване внаслідок надзвичайної ситуації воєнного характеру, спричиненої збройною агресією Російської Федерації, та надсилають їх разом з усіма наданими постраждалими або їх представниками документами, передбаченими пунктом 16 цього Порядку, копіями складених актів обстеження за формою згідно з додатком 1 та копіями виданих довідок про визнання особи постраждалою внаслідок надзвичайної ситуації за формою згідно з додатком 3 до структурних підрозділів з питань соціального захисту населення Донецької та Луганської облдержадміністрацій (далі — регіональні органи соціального захисту населення) за встановленою формою подання, що затверджується Мінреінтеграції, для подальшого їх внесення на розгляд комісій».
А ось тут, як на мене, виникає певна прогалина станом на сьогодні для подальших дій органів місцевого самоврядування, які здійснюють свої повноваження в інших, ніж вищезгадані, областях. Тому, знову ж таки на мою думку, тут варто звернутися саме до ваших військових адміністрацій щонайменше за отриманням від них консультацій на предмет ваших дій.
Вище було наведено інформацію саме щодо дій органів місцевого самоврядування в умовах, якщо в межах їх громад є житло, яке було зруйноване, пошкоджене у зв’язку зі збройною агресією Російської Федерації, і до таких органів уже почали звертатися власники зруйнованого (пошкодженого) житла.
Ще раз наголошую, що матеріал було побудовано на базі чинних станом на сьогодні положень постанови КМУ від 18.12.2013 № 947 «Про затвердження Порядку надання та визначення розміру грошової допомоги постраждалим від надзвичайних ситуацій та розміру грошової компенсації постраждалим, житлові будинки (квартири) яких зруйновано внаслідок надзвичайної ситуації воєнного характеру, спричиненої збройною агресією Російської Федерації».
Якщо виникає потреба зафіксувати факти руйнування (пошкодження) житла і з такими проханнями звертаються власники такого житла, вважаю, що можна спробувати застосувати і зазначену постанову, поки не набере чинності законопроєкт № 7198. Але тут уже вирішувати вам. Це лише порада. Пам’ятаємо, що в людей, можливо, виникає нагальна потреба виїхати і вони до від’їзду хочуть завершити ці справи.
Наостанок… Закликаю відстежувати долю законопроєкту № 7198. Зі свого боку обіцяємо, що матеріали щодо питань компенсації зруйнованого (пошкодженого) житла постійно будемо оновлювати з урахуванням прийняття нових нормативних актів, які будуть урегульовувати ці питання.
Примітка: Розроблено експертами в рамках Швейцарсько-українського проєкту DECIDE - «Децентралізація для розвитку демократичної освіти».
