Керівникам обласних, Київської міської
військових адміністрацій, закладів вищої
та фахової передвищої освіти
На виконання підпункту 14 пункту 2 розділу III та підпункту 5 пункту 1 розділу IV Положення про організацію роботи з охорони праці та безпеки життєдіяльності учасників освітнього процесу в установах і закладах освіти, затвердженого наказом Міністерства освіти і науки України від 26.12.2017 № 1669, зареєстрованого в Міністерстві юстиції України 23 січня 2018 року за № 100/31552, з урахуванням доручення Прем’єр-міністра України від 10.06.2022 № 14529/0/1-22 за результатами наради, проведеної 7 червня, щодо підготовки закладів освіти до 2022/23 навчального року, забезпечення проходження ними осінньо-зимового періоду 2022/23 року, створення безпечних умов перебування у закладах освіти дітей, учнів, студентів і працівників з урахуванням збройної агресії Російської Федерації Міністерство освіти і науки України розробило та пропонує для врахування в роботі інструктивно-методичні матеріали щодо порядку підготовки закладу освіти до нового навчального року та опалювального сезону з питань цивільного захисту, охорони праці та безпеки життєдіяльності на заміну інструктивно-методичних матеріалів, що надіслані листом МОН від 29.07.2020 № 1/9-406.
Міністр Сергій ШКАРЛЕТ
- - - - - - - - - - - - - - - - - - - - - - - - - - - - - - - - - - - - - - - - - - - - - - - - -
Додаток
до листа Міністерства освіти і науки України
11.07.2022 № 1/7707-22
ІНСТРУКТИВНО-МЕТОДИЧНІ МАТЕРІАЛИ
щодо порядку підготовки закладу освіти до нового навчального року та опалювального сезону з питань цивільного захисту, охорони праці та безпеки життєдіяльності
I. Загальні положення
Відповідно до Положення про організацію роботи з охорони праці та безпеки життєдіяльності учасників освітнього процесу в установах і закладах освіти, затвердженого наказом Міністерства освіти і науки України від 26.12.2017 № 1669, зареєстрованого в Міністерстві юстиції України 23.01.2018 за № 100/31552 (далі — Положення), керівник закладу освіти є відповідальним за створення безпечних умов освітнього процесу та не дозволяє проведення освітнього процесу за наявності шкідливих та небезпечних умов.
З метою організації роботи із підготовки закладу освіти до нового навчального року керівник закладу освіти уживає заходів щодо приведення інженерно-технічних комунікацій, устаткування, обладнання у відповідність до чинних стандартів, правил, норм.
Задля організованого початку нового навчального року керівник закладу освіти наприкінці поточного навчального року видає наказ «Про підготовку до нового навчального року» (додаток 1), яким затверджує план заходів щодо підготовки закладу освіти до нового навчального року та опалювального сезону, план організаційних та ремонтних робіт, що передбачає виконання основних робіт до початку експлуатації приміщень закладу освіти в новому навчальному році, а також визначає склад, завдання і порядок роботи робочої комісії з перевірки виконання організаційних та ремонтних робіт.
Крім того, наказом закладу освіти до початку навчального року створюється постійно діюча технічна комісія з обстеження приміщень, інженерно-технічних комунікацій закладу освіти (додаток 2), яка проводить огляд будівель, приміщень, комунікацій з метою приведення інженерно-технічних комунікацій, устаткування, обладнання у відповідність до чинних стандартів, правил, норм з охорони праці, а також підготовки закладу освіти до опалювального сезону, визначає готовність навчальних кабінетів, майстерень, спортзалів, ігрових та спортивних майданчиків, інших приміщень, а також укриттів фонду захисних споруд цивільного захисту до нового навчального року та складає:
— акт обстеження приміщень та інженерних комунікацій закладу освіти до початку навчального року та опалювального сезону (додаток 3);
— акти-дозволи на введення їх в експлуатацію (додаток 4). До акта-дозволу на введення в експлуатацію спортзалу і спортивних споруд додаються відомості про випробування навчального спортивного обладнання, що розміщено в них для використання в освітньому процесі;
— акт оцінки стану готовності захисної споруди цивільного захисту (сховище або протирадіаційне укриття, що є на балансі закладу освіти (додаток 5);
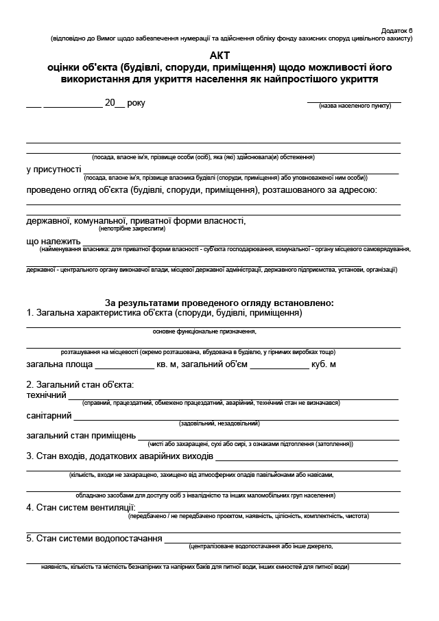
— акт оцінки об’єкта (будівлі, споруди, приміщення) щодо можливості його використання для укриття населення як найпростішого укриття (додаток 6).
Після огляду постійно діючою технічною комісією заклад освіти приймає в експлуатацію комісія, створена за наказом відповідного органу управління освітою (залежно від підпорядкування), до якої входять представник органу управління освітою (голова комісії), керівник закладу освіти, представник профспілкової організації закладу освіти (у разі відсутності профспілкової організації — уповноважений трудового колективу), представник територіального органу Державної служби якості освіти України, а також представники місцевих органів державного нагляду (цивільний захист, пожежна безпека, Національна поліція, охорона праці, санітарно-епідеміологічний нагляд тощо — за згодою).
Заклад вищої (фахової передвищої) освіти за відповідним наказом приймає в експлуатацію комісія у складі заступника керівника закладу вищої (фахової передвищої) освіти (голова комісії), представника профспілкової організації закладу вищої (фахової передвищої) освіти (у разі відсутності профспілкової організації — уповноваженого трудового колективу), представник територіального органу Державної служби якості освіти України, а також представників місцевих органів державного нагляду (цивільний захист, пожежна безпека, Національна поліція, охорона праці, санітарно-епідеміологічний нагляд тощо — за згодою).
Прийом в експлуатацію закладу освіти здійснюється на підставі акта прийому готовності закладу освіти до нового навчального року (додаток 7), що затверджується керівником, який утворив відповідну комісію.
На навчальні кабінети (лабораторії) закладу щороку перед початком навчального року складаються (оновлюються) паспорти (додаток 8).
Під час підготовки приміщень та обладнання закладу освіти до нового навчального року заступник керівника з адміністративно-господарської роботи проводить перегляд термінів перевірки експлуатації обладнання і технічних засобів, подає інформацію керівнику про необхідність проведення перевірки захисних засобів і обладнання, яке експлуатується в закладі освіти (додаток 9).
На виконання вимог наказу Міністерства охорони здоров’я України від 23.07.2002 № 280 «Щодо організації проведення обов’язкових профілактичних медичних оглядів працівників окремих професій, виробництв і організацій, діяльність яких пов’язана з обслуговуванням населення і може призвести до поширення інфекційних хвороб», зареєстрованого в Міністерстві юстиції України 8 серпня 2002 року за № 639/6927, та Порядку проведення медичних оглядів працівників певних категорій, затвердженого наказом Міністерства охорони здоров’я України від 21 травня 2007 року № 246, зареєстрованого в Міністерстві юстиції України 23 липня 2007 року за № 846/14113, перед початком навчального року керівник закладу освіти організовує проходження щорічного медичного огляду працівниками закладу освіти.
Під час укладання трудового договору з працівником керівник закладу освіти повинен поінформувати його про умови праці, наявність на робочому місці небезпечних і шкідливих виробничих факторів і про права на пільги та компенсації за роботу в таких умовах. Працівникові не може пропонуватися робота, яка за медичним висновком протипоказана йому за станом здоров’я.
Керівник закладу освіти має право в установленому законодавством порядку притягнути працівника, який ухиляється від проходження обов’язкового медичного огляду, до дисциплінарної відповідальності та відсторонити його від роботи без збереження заробітної плати.
Контроль за проходженням щорічних обов’язкових профілактичних медичних оглядів учнів, слухачів відповідно до ст. 169 Кодексу законів про працю України (особи віком до 21 року) покладається на керівника закладу освіти та орган управління освітою, якому підпорядкований заклад.
Після закінчення всіх підготовчих заходів до нового навчального року керівник закладу освіти видає наказ про призначення відповідальних осіб за організацію роботи з питань цивільного захисту, охорони праці, безпеки життєдіяльності в закладі освіти і окремих структурних підрозділах. Крім того, призначає відповідальних осіб за пожежну безпеку, стан безпеки будівель та споруд, електрогосподарства, газового господарства (якщо воно є в наявності), тепломережі, а також відповідальних з інших питань діяльності закладу освіти (за необхідності).
II. Перелік документів, що регулюють питання охорони праці, безпеки життєдіяльності в закладі освіти
Під час перевірки готовності закладу освіти до нового навчального року слід мати такі документи:
— матеріали щодо атестації закладу освіти (наявність висновку з охорони праці);
— правила внутрішнього трудового розпорядку для працівників закладу освіти, що затверджені керівником;
— колективний договір (наявність розділу «Охорона праці», комплексних заходів з цивільного захисту, охорони праці та безпеки життєдіяльності; матеріали щодо їх виконання (акти) оформлюють 2 рази на рік);
— посадові інструкції з розділом з охорони праці, безпеки життєдіяльності працівників закладу освіти з їхніми особистими підписами;
— наказ керівника закладу освіти про призначення відповідальних осіб (видається щорічно перед початком навчального року) за організацію роботи з питань цивільного захисту, охорони праці, безпеки життєдіяльності в закладі освіти і окремих структурних підрозділах (кабінети, лабораторії, майстерні, полігони тощо);
— наказ керівника закладу освіти про призначення відповідальних осіб за пожежну безпеку, стан безпеки будівель та споруд, електрогосподарства, газового господарства (якщо воно є в наявності), тепломережі, а також відповідальних з інших питань діяльності закладу освіти (за необхідності);
— наказ керівника закладу освіти про проведення навчання та перевірки знань посадових осіб з питань охорони праці та безпеки життєдіяльності, яким затверджується склад комісії з перевірки знань посадових осіб закладу освіти з питань охорони праці та безпеки життєдіяльності;
— протоколи засідання комісії з перевірки знань посадових осіб закладу освіти з охорони праці, безпеки життєдіяльності (оформляються один раз на 3 роки, новоприйнятих на роботу працівників — протягом місяця);
— посвідчення про перевірку знань з охорони праці, безпеки життєдіяльності керівника закладу освіти, його заступників і членів комісії з перевірки знань з охорони праці, безпеки життєдіяльності;
— план організаційно-технічних заходів щодо поліпшення стану умов і охорони праці, здоров’я працівників та учнів, слухачів (складається на календарний рік);
— план заходів щодо забезпечення пожежної безпеки закладу освіти (складається на календарний рік);
— план заходів щодо попередження дитячого дорожньо-транспортного травматизму (складається щорічно перед початком навчального року);
— акти обстеження приміщень та інженерних комунікацій закладу освіти до початку навчального року та опалювального сезону (оформлюють щорічно перед початком навчального року);
— акти-дозволи на проведення занять у спортивних залах (на спортивних майданчиках) (оформлюють щорічно перед початком навчального року);
— акти-дозволи на проведення занять у кабінетах (лабораторіях) фізики, хімії, біології, інформатики, охорони праці, безпеки життєдіяльності (оформлюють щорічно перед початком навчального року);
— акти-дозволи на введення в експлуатацію устаткування в навчальних майстернях і лабораторіях (оформлюють щорічно перед початком навчального року);
— акт оцінки стану готовності захисної споруди цивільного захисту (оформлюється щорічно перед початком навчального року у разі наявності сховища або протирадіаційного укриття);
— акт оцінки об’єкта (будівлі, споруди, приміщення) щодо можливості його використання для укриття населення як найпростішого укриття (оформлюється щорічно перед початком навчального року);
— матеріали щодо проведення атестації робочих місць за умовами праці (оформлюються не рідше одного разу на 5 років);
— протоколи перевірки опору заземлення устаткування (оформлюються один раз на два роки);
— акти технічного обслуговування й перевірки внутрішніх пожежних кранів (оформлюються один раз на 6 місяців);
— журнал обліку первинних засобів пожежогасіння;
— акт обробки дерев’яних конструкцій горищного приміщення будинку вогнезахисним складом (оформлюють один раз на 3 роки);
— акти перевірки стану вогнезахисної обробки дерев’яних конструкцій горищного приміщення (оформлюють один раз на 6 місяців);
— акт готовності закладу освіти до нового навчального року (оформлюють щорічно перед початком навчального року);
— перелік інструкцій з охорони праці (затверджується керівником закладу освіти);
інструкції з охорони праці для всіх професій і видів робіт (переглядаються один раз на 3 роки для робіт підвищеної небезпеки, на 5 років — для інших робіт);
— журнали реєстрації інструкцій з охорони праці;
— журнал обліку видачі інструкцій з охорони праці;
— програма вступного інструктажу з охорони праці (затверджується наказом закладу освіти);
— програма первинного інструктажу з охорони праці на робочому місці (затверджується наказом закладу освіти);
— журнал реєстрації вступного інструктажу з охорони праці;
— журнал реєстрації інструктажів з охорони праці на робочому місці;
— журнал реєстрації інструктажів з учнями, слухачами, студентами з безпеки життєдіяльності (в кожному кабінеті, лабораторії, майстерні тощо);
— журнал реєстрації нещасних випадків з працівниками;
— журнал реєстрації нещасних випадків з учнями, слухачами, студентами;
— журнал обліку професійних захворювань (отруєнь).
III. Стан пожежної безпеки в закладі освіти
Пожежна безпека в закладі освіти забезпечується шляхом проведення організаційних і практичних заходів та використання технічних засобів, спрямованих на запобігання пожежам, забезпечення безпеки учасників освітнього процесу, зниження можливих майнових втрат і зменшення негативних екологічних наслідків у разі їх виникнення, створення умов для успішного гасіння пожеж.
У закладі освіти щорічно на початку навчального року наказом керівника затверджується протипожежний режим, що містить порядок:
— утримання шляхів евакуації;
— застосування відкритого вогню;
— використання побутових електронагрівальних приладів;
— проведення тимчасових пожежонебезпечних робіт;
— проїзду та стоянки транспортних засобів;
— прибирання горючого пилу й відходів, зберігання промасленого спецодягу та ганчір’я, очищення елементів вентиляційних систем від горючих відкладень;
— відключення від мережі електроживлення обладнання та вентиляційних систем у разі пожежі;
— огляду, зачинення приміщень, будівель після закінчення занять і роботи закладу освіти;
— проходження посадовими особами навчання та перевірки знань з питань цивільного захисту, пожежної безпеки, а також проведення з працівниками протипожежних інструктажів та занять з пожежно-технічного мінімуму з призначенням відповідальних за їх проведення;
— організації експлуатації і обслуговування наявних засобів протипожежного захисту;
— проведення планово-попереджувальних ремонтів та оглядів електроустановок, опалювального, вентиляційного, технологічного, а також навчального обладнання;
— скликання у разі виникнення пожежі членів пожежно-рятувального підрозділу добровільної пожежної охорони (за наявності), посадових осіб, відповідальних за пожежну безпеку, виклику вночі, у вихідні та святкові дні;
— дій у разі виникнення пожежі: порядок і спосіб оповіщення учасників освітнього процесу, послідовність їх евакуації, виклику пожежно-рятувальних підрозділів, зупинки технологічного та навчального устаткування, вимкнення електроустановок, ліфтів, застосування засобів пожежогасіння тощо.
План евакуації оформлюється на кожен поверх будинку, затверджується керівником закладу освіти, підписується особою, яка відповідальна за пожежну безпеку будинку. За рішенням керівника закладу освіти Плани евакуації на кожен поверх будинку допускається затверджувати особистим підписом керівника закладу освіти або відповідним наказом закладу освіти. Він повинен містити схему поверху, на якій наносяться шляхи й напрямки евакуації, місця розташування первинних засобів пожежогасіння, електричних щитків й засобів зв’язку. План вивішується на видному місці, він повинен вчасно переглядатися з урахуванням наявних умов.
У куточку пожежної безпеки повинні бути розміщені плакати про заходи пожежної безпеки, інструкція з пожежної безпеки, список добровільної пожежної дружини з їхніми обов’язками.
Під час перевірки закладу освіти з питань пожежної безпеки слід мати такі документи:
1) акти про укомплектованість внутрішніх пожежних кранів: внутрішні пожежні крани повинні бути укомплектовані рукавами й приєднаними до них стовбурами, розміщені в настінних шафах і опломбовані. У місцях з’єднання пожежного рукава із краном і зі стовбуром повинні бути гумові ущільнювальні прокладки. На дверцятах шафи повинен бути нанесений літерний індекс із порядковим номером і номер телефону найближчої пожежної частини (оформлюються закладом освіти);
2) акти про технічне обслуговування і перевірку працездатності внутрішніх пожежних кранів:
внутрішні пожежні крани — не рідше двох разів на рік (навесні й восени) необхідно проводити роботи з технічного обслуговування й перевірятися на працездатність шляхом пуску води, для чого вибирають два вище від усіх розташовані пожежні крани, розгортають пожежні рукави й повністю відкривають вентилі. Довжина компактного струменя повинна бути не менше 17 м. Після цього пожежні рукави просушують і перекочують на нове укладання. Інші пожежні рукави повинні перекочуватися на нове укладання також не рідше двох разів на рік (оформлюються закладом освіти);
3) акти приймання вогнегасників після технічного обслуговування: споруди і приміщення закладу освіти повинні бути забезпечені вогнегасниками відповідно до Правил експлуатації та типових норм належності вогнегасників, що затверджені наказом МВС від 15.01.2018 № 25, зареєстровані в Міністерстві юстиції України 23 лютого 2018 року за № 225/31677;
4) акти про технічне обслуговування систем протипожежного захисту (СПЗ):
приміщення закладу обладнуються СПЗ відповідно до ДБН В.2.5-56:2014 «Системи протипожежного захисту»;
5) акти про стан горищ:
двері або люки горищ повинні бути постійно замкнені. На дверях або люках горищних приміщень повинні бути написи з визначенням місця зберігання ключів. Обробка дерев’яних конструкцій горищних приміщень вогнезахисним засобом повинна проводитися не рідше одного разу на 3 роки зі складанням акта. Перевірка стану вогнезахисної обробки повинна проводитись один раз на 6 місяців зі складанням акта (постійно діюча технічна комісія закладу освіти);
6) акти про стан зберігання фарб, лаків, розчинників й інших легкозаймистих рідин:
фарби, лаки, розчинники й інші легкозаймисті рідини повинні зберігатися в окремих будівлях — складах.
IV. Стан електрогосподарства
Під час огляду електрогосподарства закладу освіти необхідно звернути увагу на такі заходи, що направлені на безпечну його експлуатацію:
— наявність наказу закладу освіти про призначення відповідального за електрогосподарство, організацію навчання й перевірки знань з електробезпеки;
— навчання відповідального за електрогосподарство та електротехнічного персоналу закладу освіти повинно проводитися в спеціалізованому навчальному центрі із присвоєнням 4 групи електробезпеки один раз на три роки. Особи технічного персоналу, що виконують роботи, при яких може виникнути небезпека ураження електричним струмом, проходять інструктаж і перевірку знань один раз на рік за місцем роботи із присвоєнням I групи електробезпеки із записом у журналі реєстрації первинного інструктажу з охорони праці;
— наявність протоколів перевірки опору ізоляцій електромережі й заземлення устаткування, яка повинна проводитись один раз на два роки зі складанням протоколів. Недоліки, виявлені при перевірці опору ізоляції електромережі й заземлення устаткування, усуваються електротехнічним персоналом зі складанням акта або протоколу;
— стан електрощитових кімнат. Вхідні двері в електрощитову кімнату повинні бути постійно замкнені, оббиті з обох сторін жерстю із загином жерсті на торець дверей. На зовнішній стороні вхідних дверей повинно бути написане призначення приміщення, місце зберігання ключів і нанесений попереджуючий знак «Обережно! Електрична напруга»;
— стан електричних щитів. Усі електричні щити повинні постійно бути замкнені. На зовнішній стороні дверцят електрощитів має бути нанесено: порядковий номер щита, яка подається на щит напруга й попереджуючий знак «Обережно! Електрична напруга»;
— стан електромережі. Світильники повинні бути надійно підвішені до стелі й мати світлорозсіювальну арматуру. Комутаційні коробки мають бути закриті кришками. Корпуси й кришки електровимикачів і електророзеток не повинні мати відколів і тріщин, а також оголених контактів і приводів. Усі електророзетки та пристрої слід промаркувати за номінальною напругою;
— відсутність нестандартних (саморобних) електронагрівальних приладів, повітряних ліній електропередачі й зовнішніх електропроводок, прокладених територією закладу освіти над горючими покрівлями, навісами й відкритими складами горючих матеріалів;
— наявність паспортів на електроустановки;
— наявність освітлення території закладу освіти. На території мають бути освітлені пішохідні доріжки, вхідні двері, відкриті спортивні майданчики з підводкою електроживлення до стовпів підземним кабелем. Дверцята комутаційних люків на бетонних стовпах повинні бути постійно закриті.
V. Стан укриттів фонду захисних споруд цивільного захисту
Укриття фонду захисних споруд цивільного захисту (сховище, протирадіаційне укриття, споруди подвійного призначення, найпростіші укриття) (далі — укриття фонду ЗСЦЗ) мають утримуватися та експлуатуватися у стані, що дозволяє привести їх у готовність у разі необхідності.
Вимоги щодо утримання та експлуатації захисних споруд цивільного захисту, критеріїв неможливості подальшого утримання та експлуатації захисних споруд цивільного захисту, оформлення документів, що підтверджують таку неможливість, а також визначення зразків документів паперового обліку фонду захисних споруд, запровадження системи їх нумерації затверджені наказом МВС від 09.07.2018 № 579 «Про затвердження вимог з питань використання та обліку фонду захисних споруд цивільного захисту», що зареєстровані в Міністерстві юстиції України 30 липня 2018 року за № 879/32331.
Під час експлуатації укриттів фонду ЗСЦЗ не допускається виконання заходів, що знижують їх захисні властивості, надійність та безпеку.
Місця розташування укриттів фонду ЗСЦЗ позначаються за допомогою табличок (написів) та покажчиків руху до них.
Біля вхідних дверей до укриття фонду ЗСЦЗ вивішується табличка із зазначенням номера споруди, її власника, місця зберігання ключів, особи, відповідальної за утримання та експлуатацію відповідного укриття в мирний час, її місцезнаходження і номера телефону. У нічний час таблички позначення захисної споруди і входи мають бути освітлені або дубльовані світловими покажчиками.
Споруди, їх комунікації, інженерні мережі, інженерне та спеціальне обладнання, системи життєзабезпечення (далі — обладнання захисних споруд) мають утримуватися в належному технічному стані.
Входи до захисних споруд мають забезпечувати вільний доступ усередину їх приміщень, можливість користування ними особами з інвалідністю і мати достатню (нормативну) пропускну спроможність.
Підходи до зовнішніх дверей, двері і сходові марші мають утримуватися у справному стані, очищуватися від бруду і сміття, а в зимовий час — від снігу і льоду. Захаращення входів не допускається.
У разі відсутності на входах пандусів для забезпечення вільного користування сховищами особами з інвалідністю входи додатково обладнуються дерев’яними або металевими трапами.
Забезпечення укриттів фонду ЗСЦЗ первинними засобами пожежогасіння, обладнання здійснюється відповідно до норм належності залежно від основного функціонального призначення приміщень у мирний час та вимог Правил пожежної безпеки в Україні, затверджених наказом Міністерства внутрішніх справ України від 30 грудня 2014 року № 1417 (із змінами).
Місця розташування первинних засобів пожежогасіння, план евакуації із захисної споруди позначаються і освітлюються.
Споруди мають захищатися від підтоплення і затоплення ґрунтовими, поверхневими, технологічними та стічними водами.
Експлуатація та утримання електрообладнання укриттів фонду ЗСЦЗ здійснюються відповідно до вимог чинного законодавства у сфері улаштування електроустановок.
Приміщення укриттів фонду ЗСЦЗ мають забезпечуватися штучним освітленням. У них не допускається прокладання тимчасових електричних та інших інженерних мереж, а також незакріплених електричного обладнання і світильників. Електричні світильники мають бути захищеними від механічного пошкодження. Використання світильників із незахищеними лампами розжарювання не допускається.
Утримання та експлуатація обладнання укриттів фонду ЗСЦЗ здійснюються згідно з вимогами і рекомендаціями, визначеними технічною документацією на них, а також відповідними нормами і правилами.
VI. Утримання території закладу
Підходи до будинку, в’їзди й входи на ділянку, проїзди й доріжки повинні мати тверде покриття. У літню пору всю ділянку за 1 — 2 години до приходу учнів, слухачів слід щодня прибирати, траву, квіти, чагарники, доріжки поливати водою. У зимовий час ігрові майданчики, доріжки, щаблі сходів мають щодня очищатися від снігу й льоду, а також посипатися піском.
Господарський майданчик, який слід ізолювати від інших зон, розташовувати поблизу харчоблока, повинен мати тверде покриття й окремий в’їзд із вулиці. Сміттєзбиральники мають бути закриті кришками й розміщуватися під накриттям, не ближче 25 м від будинку.
Усі колодязі на території повинні бути закриті кришками, а ями повинні мати огородження.
Територія закладу освіти повинна вчасно очищатися від горючих відходів, сміття, листя, сухої трави тощо. Сміття повинно систематично вивозитися з території, спалювати його на території забороняється.
Необхідно звернути увагу на стан карнизів на даху споруди закладу освіти. Наявність моху, порослих дерев та рослин на карнизах свідчать про вихід з ладу покрівлі даху, облицювання плиткою, а згодом і руйнування карнизів та стін.
Додатки:



























