ФІНАНСОВИЙ ЛІЗИНГ (ОРЕНДА)
Правові основи
Згідно з ч. 2 ст. 1 Закону про фінансовий лізинг за договором фінансового лізингу лізингодавець зобов'язується придбати у власність річ у продавця (постачальника) згідно з установленими лізингоотримувачем специфікаціями та умовами і передати її в користування лізингоотримувачу на певний строк не менше одного року за встановлену плату (лізингові платежі).
Учасниками договору фінансового лізингу згідно зі ст. 4 Закону про фінансовий лізинг можуть бути:
— лізингодавець — юридична особа, яка передає право володіння та користування предметом лізингу лізингоотримувачу;
— лізингоотримувач — фізична або юридична особа, яка отримує право володіння та користування предметом лізингу від лізингодавця;
— продавець (постачальник) — фізична або юридична особа, у якої лізингодавець придбаває річ, яка в майбутньому буде передана як предмет лізингу лізингоотримувачу;
— інші фізичні або юридичні особи, які є сторонами багатостороннього договору фінансового лізингу.
Продавець (постачальник) може одночасно виступати і лізингодавцем за договором фінансового лізингу. Слід звернути увагу, що лізингодавцем може виступати тільки юридична особа.
ПК також містить визначення фінансового лізингу (оренди). І оскільки для цілей податкового обліку саме це визначення (класифікація) має вирішальне значення, наведемо його. Під фінансовим лізингом (орендою) розуміється господарська операція, яка здійснюється фізичною чи юридичною особою і передбачає передачу орендарю майна, яке є основним засобом згідно з ПК і придбане чи виготовлене орендодавцем, а також усіх ризиків і винагород, пов'язаних з правом користування та володіння об'єктом лізингу (п.п. 14.1.97 ПК).
Лізинг (оренда) вважається фінансовим, якщо лізинговий (орендний) договір містить одну з таких умов:
— об'єкт лізингу передається на строк, протягом якого амортизується не менш як 75 % його первісної вартості, а орендар зобов'язаний на підставі лізингового договору та протягом строку його дії придбати об'єкт лізингу з наступним переходом права власності від орендодавця до орендаря за ціною, визначеною у такому лізинговому договорі;
— балансова (залишкова) вартість об'єкта лізингу на момент закінчення дії лізингового договору, передбаченого таким договором, становить не більше 25 % первісної вартості ціни такого об'єкта лізингу, що діє на початок строку дії лізингового договору;
— сума лізингових (орендних) платежів з початку строку оренди дорівнює первісній вартості об'єкта лізингу або перевищує її;
— майно, що передається у фінансовий лізинг, виготовлене на замовлення лізингоотримувача (орендаря) і після закінчення дії лізингового договору не може бути використано іншими особами, крім лізингоотримувача (орендаря), виходячи з його технологічних та якісних характеристик.
Під терміном «строк фінансового лізингу» слід розуміти передбачений лізинговим договором строк, що розпочинається з дати передачі ризиків, пов'язаних зі зберіганням або використанням майна, або права на отримання будь-яких вигод чи винагород, пов'язаних з його використанням, або будь-яких інших прав, що випливають з прав на володіння, користування чи розпорядження таким майном, лізингоотримувачу (орендарю) та закінчується строком закінчення дії лізингового договору, уключаючи будь-який період, протягом якого лізингоотримувач має право прийняти одноосібне рішення про продовження строку лізингу згідно з умовами договору.
При цьому незалежно від того, регулюється господарська операція нормами п.п. 14.1.97 ПК чи ні, сторони договору мають право при укладенні договору (операції) визначити таку операцію як оперативний лізинг без права подальшої зміни статусу такої операції до закінчення дії відповідного договору.
Існує і поняття зворотного лізингу (оренди) , під яким розуміється господарська операція, що здійснюється фізичною чи юридичною особою і передбачає продаж основних засобів фінансовій організації з одночасним зворотним отриманням таких основних засобів такою фізичною або юридичною особою в оперативний чи фінансовий лізинг.
Суб'єктам, які бажають здавати у фінансовий лізинг (оренду) майно, необхідно знати, що ця операція є фінансовою послугою і підпадає під дію Закону про фінпослуги, яким висунуто вимогу, що надавати такі послуги можуть тільки фінансові установи. Водночас зараз діє Положення про надання фінансових послуг.

Рис. 1. Базова схема фінансового лізингу
Згідно з п. 2.1 цього Положення юридична особа може надавати послугу фінансового лізингу, якщо у предметі діяльності, визначеному статутними (установчими) документами, передбачено здійснення діяльності з надання послуг фінансового лізингу та враховано вимоги законодавства щодо можливості поєднання фінансових послуг, а також за наявності:
1) внутрішніх правил з надання послуги з фінансового лізингу, затверджених уповноваженим органом юридичної особи, згідно з установчими документами;
2) кваліфікованих працівників, які безпосередньо здійснюють діяльність з фінансового лізингу (укладення, супровід і виконання відповідних договорів), мають вищу освіту з фінансового, економічного або юридичного напрямів та не мають непогашеної або незнятої судимості за корисливі злочини;
3) довідки про взяття на облік юридичної особи, виданої Держфінпослуг (за формою додатка 1 до Положення про надання фінансових послуг);
4) керівників (засновників), які не мають непогашеної або незнятої судимості за корисливі злочини;
5) документа, що підтверджує право власності або користування приміщенням за місцезнаходженням юридичної особи.
Такі лізингодавці зобов'язані щокварталу подавати звітність до Держфінпослуг не пізніше 20 числа місяця, наступного за звітним кварталом (п. 2.5 Порядку № 27).
Юридичні особи, які систематично надають послуги з фінансового лізингу (уклали протягом календарного року три і більше договорів фінансового лізингу) або уклали хоча б один договір фінансового лізингу на суму, що дорівнює чи перевищує 80000 гривень, у своїй діяльності повинні керуватися вимогами Закону № 249 та іншими нормативними актами у сфері попередження і протидії легалізації (відмиванню) доходів, отриманих злочинним шляхом, і фінансуванню тероризму. Щоправда, при цьому сам Закон № 249 установлює «контрольну» суму у 150 тис. грн. Це означає, що суб'єкт, який здійснив таку операцію, підпадає під обов'язковий моніторинг, що проводиться спеціально уповноваженим органом виконавчої влади з проведення фінансового моніторингу.
Розрахунок орендної плати
За допомогою договору фінансового лізингу суб'єкт господарської діяльності (орендар), не маючи достатніх оборотних коштів для придбання необхідного йому об'єкта, може отримати право користування цим об'єктом на довгостроковій основі шляхом сплати лізингодавцю лізингових платежів з правом подальшого викупу цього об'єкта або без такого. Лізінгодавець, передаючи об'єкт у фінансовий лізинг (оренду), отримує лізингові платежі, до складу яких входить не тільки відшкодування вартості самого об'єкта, а й винагорода за послуги з надання об'єкта у користування.
Відповідно до ст. 16 Закону про фінансовий лізинг сума лізингового платежу за договором фінансового лізингу може включати:
а) суму, яка відшкодовує частину вартості предмета фінансового лізингу;
б) платіж як винагороду лізингодавцю за отримане в лізинг майно;
в) компенсацію відсотків за кредитом;
г) інші витрати лізингодавця, безпосередньо пов'язані з виконанням договору фінансового лізингу.
При складанні договору фінансового лізингу серед інших істотних умов необхідно зазначити розмір, склад і графік сплати лізингових платежів, умови їх перегляду.
Для визначення порядку розрахунку орендних платежів у цілях бухгалтерського обліку необхідно визначитися з термінами, якими оперує П(С)БО 14.
Мінімальні орендні платежі — платежі, які підлягають сплаті орендарем упродовж строку оренди (за вирахуванням вартості послуг і податків, що підлягають сплаті орендодавцю, і непередбаченої орендної плати), збільшені на суму гарантованої ліквідаційної вартості об’єкта оренди.
У разі можливості та наміру орендаря придбати об'єкт оренди за ціною нижче його справедливої вартості на дату придбання, мінімальні орендні платежі складаються з мінімальної орендної плати за весь строк оренди і суми, яку слід сплатити згідно з угодою на придбання об'єкта оренди.

Рис. 2. Схема складових ліквідаційної вартості об'єкта оренди
Гарантована ліквідаційна вартість (див. рис. 2):
1) для орендаря — частина ліквідаційної вартості, що гарантується до сплати орендарем або пов'язаною з ним стороною;
2) для орендодавця — частина ліквідаційної вартості, яка гарантується до сплати орендарем або незалежною третьою стороною, здатною за своїм фінансовим положенням відповідати за гарантією.
Негарантована ліквідаційна вартість (див. рис. 2 на с. 5) — частина ліквідаційної вартості об'єкта оренди, отримання якої орендодавцем не забезпечується або гарантується тільки пов'язаною з ним стороною.
При проведенні довгострокових операцій на ринку потрібно враховувати, що з часом вартість грошей зменшується. Кредитору дуже важливо знати, які доходи буде отримано від операції, що проводиться, для того, щоб визначити, чи варто взагалі вкладати кошти. Позичальника ж цікавить, скільки та коли він повинен сплачувати кредитору і чи буде перевищено доходи від використання позикових коштів витратами на позику. Усе зазначене приводить до поняття майбутньої вартості залежно від ставок складних відсотків, а також до поняття теперішньої вартості майбутніх надходжень з урахуванням фактора часу.
Теперішня вартість платежів (щодо орендних операцій — мінімальних орендних платежів) — це приведена до цього моменту вартість платежів, отримання яких очікується в майбутньому. Приведена вартість — це завжди вартість у даний момент, якому в розрахунках приписується значення часу, що дорівнює нулю. Така вартість розраховується шляхом дисконтування, тобто шляхом приведення платежів за часом до нульового моменту з використанням дисконтної ставки.
Визначення дисконтованої вартості ґрунтується на розумінні того, що з економічної точки зору безглуздо безпосередньо (без приведення до одного тимчасового періоду) зіставляти грошові суми, що отримуються в різний час.
Стосовно операцій з фінансової оренди дисконтом є так звана орендна ставка відсотка.
Згідно з п. 4 П(С)БО 14 орендна ставка відсотка — це ставка відсотка, при використанні якої теперішня вартість суми мінімальних орендних платежів і негарантованої ліквідаційної вартості дорівнює справедливій вартості об'єкта фінансової оренди на початок строку оренди. Орендна ставка відсотка встановлюється орендодавцем для визначення суми орендної плати.
З поняттям теперішньої вартості нерозривно пов'язано таке поняття, як аннуїтет. Аннуїтет — це однакові за сумою мінімальні платежі (у нашому випадку — орендні), що здійснюються за конкретні рівні проміжки часу).
При оренді в майбутньому постійно надходитимуть орендні платежі, і для того, щоб визначити їх реальну вартість, необхідно обчислити нинішню вартість аннуїтету.
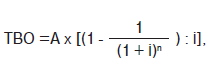
Теперішня вартість мінімальних орендних платежів (СВО) за договором фінансової оренди розраховується за формулою (якщо виплата орендних платежів проводиться наприкінці відповідного періоду):

де:
А — сума мінімального орендного платежу, що сплачується регулярно (аннуїтет);
n — кількість періодів, за які сплачується орендна плата та нараховуються відсотки;
і — ставка відсотка для зазначеного періоду (якщо платежі виплачуються щомісячно, то і ставка відсотка встановлюється для кожного місяця).
Облік у орендодавця
Бухгалтерський облік
Бухгалтерський облік фінансової оренди (фінансового лізингу) у орендодавця (лізингодавця) залежить від того, чи є орендодавець одночасно і продавцем об'єкта оренди чи орендодавець придбаває цей об'єкт у третьої особи (продавця) з метою подальшої його передачі орендарю.
У бухгалтерському обліку підприємства, що виступає одночасно і продавцем, і орендодавцем об'єкта , передача об'єкта у фінансову оренду відображається як дебіторська заборгованість орендаря в сумі мінімальних орендних платежів і негарантованої ліквідаційної вартості за вирахуванням фінансового доходу, що підлягає отриманню, з визнанням доходу від реалізації необоротних активів. Балансова (залишкова) вартість об'єкта фінансової оренди виключається з балансу орендодавця з її відображенням у складі інших витрат операційної діяльності. Причому зауважте: з 01.01.2008 р. Мінфін наказав орендодавцям уключати об'єкти фінансової оренди до складу необоротних активів, що утримуються для продажу. При передачі у фінансову оренду необоротного активу, що утримується для продажу, дохід визнається за кредитом субрахунку 712 «Дохід від реалізації інших оборотних активів», а витрати — за дебетом субрахунку 943 «Собівартість реалізованих виробничих запасів».
Для відображення довгострокової дебіторської заборгованості орендаря використовується субрахунок 181 «Заборгованість за майно, передане у фінансову оренду».
Різниця між сумою мінімальних орендних платежів і негарантованої ліквідаційної вартості об'єкта фінансової оренди і теперішньою вартістю зазначеної суми, визначеної за орендною ставкою відсотка, є фінансовим доходом орендодавця (відображається за кредитом субрахунку 732 «Відсотки отримані»).
Розподіл фінансового доходу між звітними періодами протягом строку оренди здійснюється із застосуванням орендної ставки відсотка на залишок дебіторської заборгованості орендаря на початок звітного періоду. Розподіл фінансового доходу між звітними періодами протягом строку фінансової оренди переглядається, якщо негарантована ліквідаційна вартість зменшилася.
Якщо орендодавцем є виробник об'єкта фінансової оренди, то:
— дебіторська заборгованість орендаря відображається як сума визнаного доходу (виручки) від реалізації готової продукції і теперішньої негарантованої ліквідаційної вартості об'єкта фінансової оренди одночасно з визнанням доходу (виручки) від реалізації готової продукції (за кредитом субрахунку 701 «Дохід від реалізації готової продукції»). При цьому дохід виробника від реалізації об'єкта фінансової оренди визнається за найменшою з двох оцінок: справедливою вартістю цього об'єкта або теперішньою вартістю мінімальних орендних платежів, обчисленою за ринковою ставкою відсотка;
— собівартість реалізованого об'єкта фінансової оренди (дебет субрахунку 901 «Собівартість реалізованої готової продукції») визначається за його балансовою вартістю, зменшеною на теперішню негарантовану ліквідаційну вартість, віднесену на збільшення дебіторської заборгованості орендаря;
— фінансовим доходом орендодавця — виробника об'єкта фінансової оренди (кредит субрахунку 732 «Відсотки отримані») є різниця між сумою мінімальних орендних платежів і негарантованої ліквідаційної вартості об'єкта фінансової оренди та теперішньою вартістю зазначеної суми.
Витрати орендодавця з укладення договору про фінансову оренду (юридичні послуги, комісійні винагороди) визнаються іншими витратами (субрахунок 977 «Інші витрати звичайної діяльності») того звітного періоду, в якому їх понесено (п. 15
П(С)БО 14).
Що стосується другого варіанта (орендодавець придбаває об'єкт у сторонньої особи для подальшої передачі у фінансову оренду), то орендодавець не прибуткує це майно собі на баланс і, відповідно, при передачі об'єкта орендарю не відображає ані доходи від реалізації, ані витрати у вигляді собівартості реалізованого об'єкта. Це зумовлено тим, що по суті орендодавець здійснює не придбання об'єкта, а надання послуг з фінансової оренди. Крім того, об'єкт може передаватися безпосередньо від продавця до орендаря, оминаючи орендодавця. Отже, ні доходи, ні витрати, крім доходів від надання фінансових послуг, орендодавець у бухгалтерському обліку не відображає. Частина орендного платежу, що покриває вартість об'єкта оренди, відображається орендодавцем через
рахунки обліку розрахунків (субрахунок 181 «Заборгованість за майно, передане у фінансову оренду», 377 «Розрахунки з іншими дебіторами»).
Зазначимо, що авторитетні бухгалтери-практики настійно радять уникати такого варіанта.

Рис. 3. Порядок відображення в бухгалтерському обліку орендаря операцій з фінансової оренди
Податковий облік
Передача майна у фінансовий лізинг (оренду) для цілей оподаткування прирівнюється до його продажу у момент такої передачі. При цьому орендодавець збільшує доходи, а в разі передачі у фінансовий лізинг майна, яке на момент такої передачі перебувало у складі основних засобів орендодавця, — прирівнює до нуля балансову вартість відповідного об'єкта основних засобів згідно з правилами, визначеними ст. 146 ПК для їх продажу, тобто відповідно до п. 146.13 ПК включає суму перевищення доходів від відчуження об'єкта над балансовою вартістю цього об'єкта до складу доходів, а суму перевищення балансової вартості над доходами від такого продажу — до складу витрат.
При нарахуванні лізингового платежу орендодавець збільшує доходи на ту частину лізингового платежу, що дорівнює сумі відсотків або комісій, нарахованих на вартість об'єкта фінансового лізингу (без урахування частини лізингового платежу, вартості об'єкта фінансового лізингу, що надається в рахунок компенсації частини), за наслідками податкового періоду, в якому здійснюється таке нарахування.
У випадку якщо в майбутніх податкових періодах орендар повертає об'єкт фінансового лізингу орендодавцю без придбання такого об'єкта у власність, така передача прирівнюється для цілей оподаткування до зворотного продажу орендарем такого об'єкта орендодавцю за ціною, що визначається на рівні суми лізингових платежів у частині компенсації вартості об'єкта фінансового лізингу, не сплачених за такий об'єкт лізингу на дату такого повернення.
Якщо вартість об'єкта фінансового лізингу, який уперше або повторно вводиться в експлуатацію, визначається договором у сумі, меншій, ніж вартість витрат на його придбання або спорудження, орган державної податкової служби має право провести позапланову перевірку для визначення рівня звичайної ціни.
Що стосується ПДВ, то відповідно до п.п. 14.1.191 ПК постачанням товарів, зокрема, вважається фактична передача матеріальних активів іншій особі на підставі договору про фінансовий лізинг (повернення матеріальних активів згідно з угодою про фінансовий лізинг) або іншої домовленості, відповідно до якої оплату відстрочено, але право власності на матеріальні активи передається не пізніше дати здійснення останнього платежу.
За приписами п.п. «а» п. 185.1 ПК операції з передачі об'єкта фінансового лізингу в користування лізингоотримувачу/орендарю є об'єктом обкладення ПДВ. Згідно з п. 187.6 ПК датою виникнення податкових зобов'язань з ПДВ орендодавця (лізингодавця) для операцій фінансової оренди (лізингу) є дата фактичної передачі об'єкта фінансової оренди (лізингу) у користування орендарю (лізингоотримувачу). Базою оподаткування є договірна (контрактна) вартість, але не нижче ціни придбання об'єкта фінансового лізингу (п. 188.1 ПК).
Що стосується частини орендного платежу, який є відсотками (комісією) за надання послуги фінансового лізингу, то згідно з п.п. 196.1.2 ПК вони не є об'єктом обкладення ПДВ.
Облік у орендаря
Бухгалтерський облік
Орендар відображає в бухгалтерському обліку отриманий у фінансову оренду об'єкт одночасно як актив і як зобов'язання за найменшою на початок строку оренди з оцінок: справедливою вартістю активу або теперішньою вартістю суми мінімальних орендних платежів. У бухгалтерському обліку для відображення суми довгострокової кредиторської заборгованості перед орендодавцем використовується субрахунок 531 «Зобов'язання з фінансової оренди» . За кредитом здійснюється нарахування заборгованості, а за дебетом — її погашення, переведення в короткострокові зобов'язання.
Різниця між сумою мінімальних орендних платежів і вартістю об'єкта фінансової оренди, за якою його було відображено в бухгалтерському обліку орендаря на початку строку фінансової оренди, є фінансовими витратами орендаря і відображається в бухгалтерському обліку та звітності тільки в сумі, що належить до звітного періоду. Розподіл фінансових витрат між звітними періодами протягом строку оренди здійснюється із застосуванням орендної ставки відсотка на залишок зобов'язань на початок звітного періоду.
Якщо в договорі про фінансову оренду не зазначено орендну ставку відсотка, то для визначення теперішньої вартості суми мінімальних орендних платежів і розподілу фінансових витрат орендар застосовує ставку відсотка на можливі позики орендаря.
Орендар, уключивши об'єкт фінансової оренди до складу активів, нараховує на його вартість амортизацію протягом періоду очікуваного використання об'єкта.
При цьому періодом очікуваного використання об'єкта фінансової оренди є строк корисного використання (якщо договором передбачено перехід права власності на актив до орендаря) або коротший із двох періодів — строк оренди або строк корисного використання об'єкта фінансової оренди (якщо перехід права власності на об'єкт фінансової оренди після закінчення строку оренди не передбачено).
Метод нарахування амортизації об'єкта фінансової оренди визначається орендарем відповідно до П(С)БО 7. Вибір методу нарахування амортизації закріплюється підприємством у наказі про облікову політику. Сума амортизаційних відрахувань уключається до витрат орендаря і відображається на рахунках 23 «Виробництво», 91 «Загальновиробничі витрати», 92 «Адміністративні витрати», 93 «Витрати на збут», 94 «Інші витрати операційної діяльності» залежно від напряму використання об'єкта.
У тому ж порядку, який передбачено для власних об'єктів основних засобів та нематеріальних активів, орендар відображає в бухгалтерському обліку витрати на ремонт і поліпшення (модернізацію) об'єкта, отриманого за договором фінансового лізингу, а саме: витрати на підтримку об'єкта в робочому стані відображаються у складі витрат підприємства. Витрати орендаря на поліпшення об'єкта фінансової оренди (модернізація, модифікація, добудова, дообладнання, реконструкція тощо), що призводять до збільшення майбутніх економічних вигод, спочатку очікуваних від його використання, відображаються як капітальні інвестиції, які включаються до вартості об'єкта фінансової оренди.
У загальному виді операції з обліку фінансової оренди в орендаря показано на рис. 3.
Податковий облік
Згідно з п. 153.7 ПК орендар уключає вартість об'єкта фінансового лізингу (без урахування відсотків, нарахованих, або таких, що будуть нараховані, відповідно до договору) до складу основних засобів з метою амортизації, за наслідками податкового періоду, в якому відбувається така передача.
Що стосується частини лізингових платежів у вигляді відсотків чи комісій, нарахованих на вартість об'єкта фінансового лізингу, то орендар відображає їх суму у складі витрат у тому звітному податковому періоді, на який припадає нарахування таких сум. Інакше кажучи, орендар відображає такі суми у складі витрат не відразу при отриманні об'єкта лізингу, а поступово протягом усього строку дії договору фінансового лізингу (у міру їх нарахування у строки, обумовлені договором).
Витрати на нарахування відсотків за договором фінансового лізингу розцінюються п.п. 138.10.5 ПК як фінансові витрати з уключенням до складу інших витрат (крім фінансових витрат, які включені до собівартості кваліфікаційних активів відповідно до положень (стандартів) бухгалтерського обліку).
Такий порядок відображення отриманого у фінансовий лізинг об'єкта діє незалежно від того, переходить право власності на такий об'єкт до орендаря після закінчення строку дії договору чи ні. Якщо право власності не переходить до орендаря і об'єкт підлягає поверненню орендодавцю, у податковому обліку така операція згідно з п. 153.7 ПК відображається як зворотний продаж орендарем такого об'єкта орендодавцю за загальновстановленими правилами продажу об'єктів основних засобів. При цьому ціна визначається на рівні суми лізингових платежів у частині компенсації вартості об'єкта фінансового лізингу, несплачених за такий об'єкт лізингу на дату такого повернення.
Що стосується ПДВ, то орендар (лізингоотримувач) уключає його суму (за наявності податкової накладної) до складу податкового кредиту того звітного періоду, в якому ним фактично отримано об'єкт фінансового лізингу на підставі п. 198.2 ПК. Право на податковий кредит виникає, якщо такий об'єкт надалі використовуватиметься у виробництві та/або постачанні товарів (послуг) в оподатковуваних операціях у межах господарської діяльності орендаря.
При цьому сума ПДВ уключається до складу податкового кредиту незалежно від того, чи почав використовуватися об'єкт в оподаткованих операціях у межах господарської діяльності платника податків протягом звітного податкового періоду, а також від того, чи здійснював платник податку оподатковані операції протягом такого звітного податкового періоду.
Підприємство — неплатник ПДВ на суму сплаченого (нарахованого) ПДВ збільшує первісну вартість об'єкта лізингу.
Операції з нарахуваня та сплати процентів або комісій у складі орендного (лізингового) платежу в межах договору фінансового лізингу не є об'єктом обкладення ПДВ (п.п. 196.1.2 ПК).
Придбання орендодавцем майна у третьої особи з метою його подальшої передачі у фінансовий лізинг (оренду) орендарю
Орендодавець придбаває за замовленням орендаря виробниче обладнання у стороннього підприємства за вартістю 210000 грн. (зокрема ПДВ — 35000 грн.). За умовами договору фінансової оренди строк його дії становить 5 років (60 місяців), після закінчення яких орендар повністю відшкодує орендодавцю вартість обладнання і воно перейде у власність орендаря.
Орендну ставку відсотка встановлено на рівні 24 % на рік (або 2 % на місяць). Орендні платежі сплачуються щомісячно не пізніше останнього дня кожного місяця.
Покажемо розрахунок сум орендних платежів, ґрунтуючись на методиці, наведеній в П(С)БО 14 (див. таблицю «Графік платежів за декількома періодами» на с. 11). Але раніше зазначимо, що в цьому випадку теперішня вартість суми мінімальних орендних платежів (ТВО) дорівнює справедливій (договірній) вартості обладнання і становить 210000 грн.
Нам потрібно визначити суму мінімального орендного платежу (А), що сплачуватиметься регулярно (аннуїтет). Ця сума є постійною та сплачується орендарем протягом усього строку дії договору фінансової оренди. Аннуїтет складається з двох складових: відшкодування вартості обладнання (ВвО) і плати за надання обладнання в оренду (ФД — фінансові доходи).
Для розрахунку суми аннуїтета (А) звертаємося до формули:
Для того, щоб визначити невідому нам складову А, перетворимо формулу таким чином:
Виходячи з даних нашого прикладу, розрахуємо суму аннуїтета (мінімального орендного платежу, що сплачується регулярно):

Далі визначаємо суму фінансових доходів (ФДі) за кожен місяць (графа 3 табл. «Графік платежів за декількома періодами» на с.11), що входять до складу аннуїтета:
ФД1 = 210000,00 х 0,02 = 4200,00 (грн.);
ФД2 = 208158,73 х 0,02 = 4163,17 (грн.)
тощо.
Відповідно у складі аннуїтета сума відшкодування вартості обладнання в кожному місяці (ВвОі) (графа 4 таблиці «Графік платежів за декількома періодами») складе:
ВвО1 = 6041,27 - 4200,00 = 1841,27 (грн.);
ВвО2 = 6041,27 - 4163,17 = 1878,10 (грн.)
тощо.
Залишок зобов'язань з оренди на кінець кожного місяця (графа 5 таблиці «Графік платежів за декількома періодами») є заборгованістю орендаря з відшкодування вартості обладнання, отриманого у фінансову оренду, і розраховується таким чином:
на кінець 1-го місяця: 210000,00 - 1841,27 = 208158,73 (грн.);
на кінець 2-го місяця: 208158,73 - 1878,10 = 206280,63 (грн.)
тощо.
Графік платежів за декількома періодами
| Дата | Орендні платежі (у тому числі ПДВ) | Залишок зобов'язань з оренди на кінець періоду | ||
| аннуїтет | фінансові доходи | за обладнання | ||
| 1 | 2 | 3 | 4 (гр. 2 - гр. 3) | 5 (гр. 5 попереднього рядка - |
| — | — | — | — | 210000,00 |
| 1-й місяць | 6041,27 | 4200,00 | 1841,27 | 208158,73 |
| 2-й місяць | 6041,27 | 4163,17 | 1878,10 | 206280,63 |
| 3-й місяць | 6041,27 | 4125,61 | 1915,66 | 204364,97 |
| … | … | … | … | … |
| Усього | 362476,37 | 152476,37 | 210000,00 | 0 |
Нижче показано порядок відображення в бухгалтерському та податковому обліку орендодавця й орендаря операцій з фінансової оренди на основі даних наведеного прикладу.
| № з/п | Зміст операції | Бухгалтерський облік | Податковий облік | |||||
| дебет | кредит | сума | доходи | витрати | первісна вартість об'єкта | рядок декларації з податку на прибу-ток або додатка | ||
| 1 | 2 | 3 | 4 | 5 | 6 | 7 | 8 | 9 |
| В орендодавця | ||||||||
| 1 | Здійснено передоплату продавцю обладнання | 371 | 311 | 210000,00 | — | — | — | — |
| 2 | Відображено податковий кредит з ПДВ (за наявності податкової накладної) | 641 | 644 | 35000,00 | — | — | — | — |
| 3 | Оприбутковано обладнання від продавця, призначене для подальшого продажу | 286 | 631 | 175000,00 | — | — | — | — |
| 4 | Списано суму податкового кредиту з ПДВ | 644 | 631 | 35000,00 | — | — | — | — |
| 5 | Відображено залік заборгованостей | 631 | 371 | 210000,00 | — | — | — | — |
| 6 | Передано орендарю обладнання у фінансовий лізинг (відображено дохід) | 181 | 712 | 210000,00 | 175000,00 | — | — | 03.17 додатка IД |
| 7 | Нараховано податкові зобов'язання з ПДВ | 712 | 641 | 35000,00 | — | — | — | — |
| 8 | Нараховано частину орендного платежу, що припадає на фінансовий дохід (відсотки) | 373 | 732 | 4200,00 | 4200,00 | — | — | 03.7 додатка IД |
| 9 | Отримано орендний платіж: | |||||||
| — у частині відшкодування вартості оренди | 311 | 377 | 1841,27 | — | — | — | — | |
| — у частині фінансового доходу | 311 | 373 | 4200,00 | — | — | — | — | |
| 10 | Списано суму доходів і витрат на фінансовий результат | 712 | 791 | 175000,00 | — | — | — | — |
| В орендаря | ||||||||
| 1 | Отримано у фінансовий лізинг обладнання від орендодавця | 152 | 531 | 175000,00 | — | — | — | — |
| 2 | Суму ПДВ уключено до складу податкового кредиту (за наявності податкової накладної) | 641 | 531 | 35000,00 | — | — | — | — |
| 3 | Обладнання введено в експлуатацію | 104 | 152 | 175000,00 | — | — | 175000,00 | — |
| 4 | Частину довгострокової заборгованості, що підлягає погашенню протягом 12 місяців з дати балансу, переведено до складу поточної | 531 | 611 | 24695,32 | — | — | — | — |
| 5 | Нараховано амортизацію на вартість обладнання, що використовується для виробництва продукції | 91 | 131 | 3000,00 | — | 3000,00* | — | Графа 2 таблиці 1 додатка АМ |
| 6 | Сплачено орендний платіж: | |||||||
| — у частині відшкодування вартості обладнання | 611 | 311 | 1841,27 | — | — | — | — | |
| 7 | Суму фінансових витрат списано на фінансовий результат | 792 | 952 | 4200,00 | — | — | — | — |
| * Ураховується у витратах у момент реалізації виробленої продукції | ||||||||
Передача орендодавцем у фінансовий лізинг (оренду) власного майна, що значиться в нього на балансі
За умовами попереднього прикладу припустимо, що орендодавець передає у фінансову оренду власне обладнання, що значиться в нього на балансі. Справедлива вартість обладнання, зазначена в договорі фінансової оренди, — 210000 грн. (зокрема ПДВ — 35000 грн.). Первісна вартість обладнання — 340000 грн., залишкова — 190000 грн.
В орендаря ці операції буде відображено в бухгалтерському обліку в тому ж порядку, що й у прикладі 1.
Наведемо відображення цих операцій в обліку орендодавця:
| № з/п | Зміст операції | Бухгалтерський облік | Податковий облік | ||||
| дебет | кредит | сума | доходи | витрати | рядок декларації з податку на прибуток або додатка до неї | ||
| 1 | Переведено обладнання до складу необоротних активів, що утримуються для продажу (за справедливою вартістю) | 286 | 104 | 175000,00 | — | — | — |
| 2 | Списано суму нарахованої амортизації об'єкта необоротних активів при прийнятті рішення про перекваліфікацію його в необоротний актив, що утримується для продажу | 131 | 104 | 150000,00 | — | — | — |
| 3 | Списано суму перевищення залишкової вартості над його справедливою вартістю | 946 | 104 | 15000,00 | — | 15000,00 | 06.4.16 |
| 4 | Обладнання передано орендарю | 181 | 712 | 210000,00 | — | — | — |
| 5 | Нараховано податкові зобов'язання з ПДВ | 712 | 641 | 35000,00 | — | — | — |
| 7 | Нараховано орендний платіж: | ||||||
| — у частині, що відшкодовує вартість обладнання | 377 | 181 | 1841,27 | — | — | — | |
| 8 | Отримано орендний платіж: | 311 | 377 | 1841,27 | — | — | — |
| 9 | Сформовано фінансовий результат: | ||||||
| — на суму доходів від реалізації обладнання | 712 | 791 | 175000,00 | — | — | — | |
| — на суму балансової вартості обладнання | 791 | 943 | 175000,00 | — | — | — | |
| — на суму перевищення залишкової вартості над його справедливою вартістю | 791 | 946 | 15000,00 | — | — | — | |
| — на суму фінансових доходів | 732 | 792 | 4200,00 | — | — | — | |
| Примітка. Рахунок 181 закриється в той момент, коли орендар повністю відшкодує орендодавцю вартість обладнання і воно перейде у власність орендаря, тобто після закінчення 5 років (60 місяців). | |||||||
