Вообще, старт медицинской реформе в Украине был дан Законом № 2168. Этот Закон определяет государственные финансовые гарантии предоставления необходимых пациентам услуг по медицинскому обслуживанию (медицинских услуг) и лекарственным средствам надлежащего качества за счет средств Государственного бюджета Украины по программе медицинских гарантий. С его внедрением полностью меняется система финансирования области здравоохранения.
Также постановлением КМУ «Об образовании Национальной службы здоровья Украины» от 27.12.2017 г. № 1101 был создан новый центральный орган исполнительной власти, который реализует государственную политику в сфере государственных финансовых гарантий медицинского обслуживания населения и деятельность которого направляется и координируется Кабинетом Министров Украины через Министра здравоохранения, — НСЗУ. Именно за этим органом закреплена одна из таких основных задач, как выполнение функций заказчика медицинских услуг и лекарственных средств по программе медицинских гарантий.
Что нужно сделать ЗЗО для того, чтобы начать сотрудничать с НСЗУ? На официальном веб-сайте НСЗУ (http://nszu.gov.u/) определены основные этапы (см. схему).

Именно о практических моментах автономизации (т. е. о мерах по реализации 1 этапа) будет идти речь в этой статье.
Что же такое — автономизация? Дело в том, что в настоящее время большинство заведений здравоохранения действуют в форме коммунальных учреждений/заведений, для которых основным источником ресурсов является бюджетное финансирование. В свою очередь, получение и распоряжение средствами, которые не являются бюджетным финансированием, вызывают определенные сложности для таких учреждений/заведений. Выход из сложившейся ситуации законотворцы нашли в форме автономизации, т. е. в изменении организационно-правовой формы хозяйствования в коммунальное некоммерческое предприятие.
В соответствии с постановлением № 391 получение статуса КНП является одним из обязательных условий, которые должны выполнить ЗЗО для заключения договоров с НСЗУ и перехода на новую систему финансирования медицинского заведения.
В частности, постановлением № 391 предусмотрены следующие требования:
• наличие лицензии на осуществление хозяйственной деятельности по медицинской практике, других разрешительных документов, предусмотренных законом;
• наличие у предоставителя необходимой для предоставления услуг по медицинскому обслуживанию населения (медицинских услуг) по договору материально-технической базы, соответствующей требованиям отраслевых стандартов в сфере здравоохранения, примерных табелей материально-технического оснащения, утвержденных МОЗ;
• наличие условий для медицинского обслуживания и свободного доступа в здания и помещения предоставителя медицинских услуг лиц с инвалидностью и других маломобильных групп населения в соответствии с законодательством*;
* Вступает в силу с 1 января 2019 года.
• регистрация предоставителя как юридического лица (кроме государственного или коммунального учреждения) или как физического лица — предпринимателя;
• соответствие критериям, установленным в порядке использования средств соответствующей бюджетной программы, во исполнение которой заключаются договоры о медицинском обслуживании населения.
Рабочей группой по вопросам реформы финансирования сферы здравоохранения Украины при Минздраве 14.02.2018 г. была одобрена обновленная редакция Методических рекомендаций по вопросам преобразования заведений здравоохранения из бюджетных учреждений в коммунальные некоммерческие предприятия. На страницах нашей газеты мы рассматривали ключевые моменты, которые определены в указанных Методических рекомендациях. По этому вопросу предлагаем посмотреть материалы «Преобразование заведений здравоохранения в предприятия» (см. «Бюджетная бухгалтерия», 2017, № 22), «Преобразование бюджетных медзаведений в коммунальные некоммерческие предприятия: обновлены Методрекомендации» (см. «Бюджетная бухгалтерия», 2018, № 9).
Каким образом происходит реорганизация заведений здравоохранения?
Отметим, что действующее законодательство Украины не содержит единого определения такого понятия, как «реорганизация». Так, в ст. 104 ГКУ предусмотрен такой способ прекращения юридического лица, как реорганизация. Согласно этой норме прекращение юридического лица происходит в результате передачи своего имущества, обязанностей и прав другому юридическому лицу или нескольким лицам — правопреемникам. Юридическое лицо прекращается одним из следующих способов: разделение, преобразование, слияние, присоединение.
В нашем случае идет речь именно о реорганизации путем преобразования ЗЗО из коммунальной организации (заведения, учреждения) в КНП.
Юридическим обоснованием такого процесса стал Закон № 2002. В свою очередь, этим документом были внесены изменения в Закон № 2801.
Благодаря таким изменениям, в частности, определено заведение здравоохранения как юридическое лицо любой формы собственности и организационно-правовой формы или его обособленное подразделение, которое обеспечивает медицинское обслуживание населения на основе соответствующей лицензии и профессиональной деятельности медицинских (фармацевтических) работников.
В зависимости от формы собственности ЗЗО образуются и функционируют как государственные, коммунальные, частные или основанные на смешанной форме собственности. Государственные и коммунальные заведения здравоохранения не подлежат приватизации.
По организационно-правовой форме ЗЗО коммунальной собственности могут образовываться и функционировать как коммунальные некоммерческие предприятия или коммунальные учреждения. Такая норма предусмотрена в ст. 16 Закона № 2801.
Также в этой статье предусмотрено следующее: ЗЗО, образованные в результате реорганизации государственных и коммунальных ЗЗО — государственных и коммунальных учреждений, могут иметь обособленное имущество (в том числе средства), закрепленное за ними на праве оперативного управления, самостоятельный баланс, самостоятельно утверждать штатное расписание, иметь счета в учреждениях банков, печати.
Какое законодательное обоснование существует для создания и деятельности КНП?
Отметим, что на законодательном уровне прямого определения КНП не существует. Но если проанализировать нормы ХКУ, можно сформировать такие особенности деятельности для этой организационно-правовой формы хозяйствования.
Так, в соответствии со ст. 52 ХКУ некоммерческое хозяйствование — это самостоятельная систематическая хозяйственная деятельность, осуществляемая субъектами хозяйствования, которая направлена на достижение экономических, социальных и других результатов без цели получения прибыли.
Некоммерческая хозяйственная деятельность осуществляется субъектами хозяйствования государственного или коммунального сектора экономики в отраслях (видах деятельности), в которых согласно ст. 12 ХКУ запрещается предпринимательство, на основе решения соответствующего органа государственной власти или ОМС.
В свою очередь, ст. 53 ХКУ предусмотрено, что некоммерческая хозяйственная деятельность может осуществляться субъектами хозяйствования на основе права собственности или права оперативного управления в организационных формах, которые определяются собственником или соответствующим органом управления или ОМС с учетом требований, предусмотренных ХКУ и другими законами.
В случае, если хозяйственная деятельность юридического лица, зарегистрированного как субъект некоммерческого хозяйствования, приобретает характер предпринимательской деятельности, к нему применяются положения ХКУ и других законов, которыми регулируется предпринимательство.
В соответствии со ст. 78 ХКУ коммунальное унитарное предприятие образуется компетентным ОМС в распорядительном порядке на базе обособленной части коммунальной собственности и входит в сферу его управления. Орган, в сферу управления которого входит коммунальное унитарное предприятие, является представителем собственника — соответствующей территориальной громады и выполняет его функции в пределах, определенных этим Кодексом и другими законодательными актами. Имущество коммунального унитарного предприятия находится в коммунальной собственности и закрепляется за таким предприятием на праве хозяйственного ведения (коммунальное коммерческое предприятие) или на праве оперативного управления (коммунальное некоммерческое предприятие).
Учитывая вышеуказанное, можно утверждать, что КНП — это предприятие, образованное соответствующим ОМС за счет обособленной части имущества территориальной громады с целью выполнения функций, возложенных на него уставом, без цели получения прибыли.
Важно!
Некоммерческое не означает, что предприятие не может получать доходы (прибыль), а заключается в том, что доходы (прибыль) такой некоммерческой или неприбыльной организации используются исключительно для финансирования расходов на содержание такой организации, реализации цели (целей, задач) и направлений деятельности, определенных ее учредительными документами.
Рассмотрим, какой алгоритм действий необходимо пройти для реорганизации ЗЗО в КНП.
Шаг 1. Принятие соответствующим ОМС решения о реорганизации ЗЗО из коммунальной организации (заведения, учреждения) в КНП путем преобразования. Как уже отмечалось ранее, в случае реорганизации путем преобразования происходит прекращение одного юридического лица и создание нового юридического лица.
Так называемое первое решение ОМС, в частности, должно содержать:
• порядок и условия прекращения коммунальной организации (заведения, учреждения) путем преобразования в КНП;
• срок заявления требований кредиторами (от 2-х до 6-ти месяцев со дня обнародования уведомления о решении относительно прекращения юридического лица);
• персональный состав комиссии по прекращению юридического лица;
• размер уставного капитала (но не обязательно) и наименование вновь созданного КНП.
Важно!
До 31.12.2018 г. кредиторы коммунальных ЗЗО, которые реорганизуются путем преобразования в КНП, не вправе требовать от них выполнения необеспеченных обязательств, прекращения или досрочного выполнения обязательства или обеспечения выполнения обязательства. Согласие кредитора на замену должника в обязательстве в таком случае не требуется.
Приведем пример решения ОМС.

Шаг 2. Подача председателем комиссии по прекращению ЗЗО государственному регистратору заявления о начале процедуры преобразования такого заведения.
В соответствии с ч. 10 ст. 17 Закона № 755 для государственной регистрации решения о прекращении юридического лица, принятого его участниками или соответствующим органом юридического лица, а в случаях, предусмотренных законом, — соответствующим государственным органом, подают такие документы:
• экземпляр оригинала (нотариально удостоверенную копию) решения участников юридического лица или соответствующего органа юридического лица, а в случаях, предусмотренных законом, — решение соответствующего государственного органа о прекращении юридического лица;
• экземпляр оригинала (нотариально удостоверенную копию) документа, которым утвержден персональный состав комиссии по прекращению (комиссии по реорганизации, ликвидационной комиссии) или ликвидатора, регистрационные номера учетных карточек налогоплательщиков (или сведения о серии и номере паспорта — для физических лиц, которые из-за своих религиозных убеждений отказались от принятия регистрационного номера учетной карточки налогоплательщика и уведомили об этом соответствующий контролирующий орган и имеют отметку в паспорте о праве осуществлять платежи по серии и номеру паспорта), срок заявления кредиторами своих требований — в случае отсутствия указанных сведений в решении участников юридического лица или соответствующего органа юридического лица, а в случаях, предусмотренных законом, — в решении соответствующего государственного органа о прекращении юридического лица.
Как мы видим, в случае принятия ОМС решения в том формате, который был приведен в примере, председатель комиссии по прекращению подает государственному регистратору лишь оригинал такого решения. После внесения соответствующих сведений в Реестр к комиссии по прекращению переходят полномочия по управлению ЗЗО.
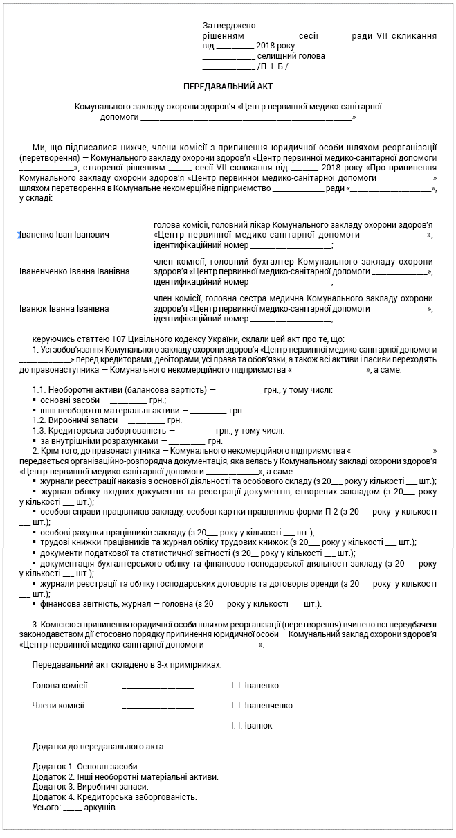
Шаг 3. Проведение инвентаризации имущества и подготовка передаточного акта.
Важно!
До 31.12.2018 г. обязательная оценка имущества, предусмотренная Законом Украины «Об оценке имущества, имущественных прав и профессиональной оценочной деятельности в Украине» от 12.07.2001 г. № 2658-III, для ЗЗО, реорганизуемых путем преобразования в КНП, не применяется.
Порядок проведения инвентаризации активов и обязательств и оформления ее результатов определен Положением об инвентаризации активов и обязательств, утвержденным приказом Минфина от 02.09.2014 г. № 879 (ср. ).
По общему правилу, предусмотренному ч. 2 ст. 107 ГКУ, после окончания срока для предъявления требований кредиторами и удовлетворения или отклонения этих требований комиссия по прекращению юридического лица составляет передаточный акт (в случае преобразования), который должен содержать положение о правопреемстве относительно имущества, прав и обязанностей юридического лица, прекращаемого путем разделения, относительно всех его кредиторов и должников, включая обязательства, оспариваемые сторонами. Передаточный акт утверждают участники юридического лица или орган, который принял решение о его прекращении, кроме случаев, установленных законом.
По общему правилу все подписи на передаточном акте подлежат нотариальному удостоверению. Однако в нашем случае это не нужно делать на основании п. 12 ст. 15 Закона № 755.
Передаточный акт тесно связан с бухгалтерским учетом, поэтому данные бухгалтерского учета являются основой для формирования передаточного акта. Также они используются при уточнении сумм активов, обязательств и капитала правопреемника при инвентаризации.
Форма и содержание передаточного акта действующим законодательством не утверждены. Его можно оформить в виде обычного бухгалтерского баланса и приложить расшифровку по каждой строке. При этом для расшифровки можно использовать инвентаризационные ведомости или же сгруппировать передаваемые данные о материальных ценностях, задолженности и т. п. в соответствующих таблицах.
Есть и второй вариант: отказаться от бланка баланса, а просто перечислить все виды активов и пассивов (основные средства, МНМА, запасы, дебиторскую и кредиторскую задолженности и т. п.) и указать их стоимость. А в отдельных приложениях привести перечни объектов, дебиторов, кредиторов и т. п. с детализированной информацией о каждом передаваемом объекте и о каждом дебиторе и кредиторе.
Приводим возможный вариант передаточного акта:

Додаток 1
Основні засоби

Додаток 2
Інші необоротні матеріальні активи

Додаток 3
Виробничі запаси

Додаток 4
Кредиторська заборгованість
После окончания срока для предъявления требований кредиторами (минимум 2 месяца), проведения инвентаризации активов и обязательств, подготовки передаточного акта соответствующий ОМС может переходить к следующему — 4-му шагу.
А именно к рассмотрению и принятию «второго» решения — решению о создании коммунального некоммерческого предприятия.
Это решение в обязательном порядке должно содержать такие положения:
• об утверждении передаточного акта;
• о создании КНП;
• о размере уставного капитала КНП;
• о закреплении имущества на праве оперативного управления;
• об утверждении устава КНП.
Также в решении можно добавить положение о назначении руководителем вновь созданного КНП главного врача прекращенного ЗЗО путем продления с ним трудовых отношений.
Приводим пример возможного «второго» решения ОМС:

Некоторые ОМС объединяют решения о прекращении ЗЗО и создании КНП в один документ.
Шаг 5. После принятия соответствующего решения руководитель (главный врач) КНП подает государственному регистратору два пакета документов.
Первый касается прекращения юридического лица (коммунальной организации (заведения, учреждения здравоохранения)):
• заявление о государственной регистрации прекращения юридического лица в результате его реорганизации (форма 8*);
* Формы документов утверждены приказом Министерства юстиции Украины «Об утверждении форм заявлений в сфере государственной регистрации юридических лиц, физических лиц — предпринимателей и общественных формирований» от 18.11.2016 г. № 3268/5.
• экземпляр оригинала (нотариально удостоверенная копия) передаточного акта.
Второй — для государственной регистрации создания юридического лица, в нашем случае — КНП, а именно:
• заявление о государственной регистрации создания юридического лица (форма 1*);
• заявление об избрании юридическим лицом упрощенной системы налогообложения и/или регистрационное заявление о добровольной регистрации как плательщика налога на добавленную стоимость, и/или заявление о включении в Реестр неприбыльных учреждений и организаций по формам, утвержденным в соответствии с законодательством, — по желанию заявителя (или отдельно подается непосредственно в территориальный орган Государственной фискальной службы Украины);
• экземпляр оригинала (нотариально удостоверенная копия) решения учредителей;
• учредительный документ юридического лица (устав КНП);
• экземпляр оригинала (нотариально удостоверенная копия) передаточного акта.
Указанные пакеты документов подают одновременно.
Как и раньше, КНП имеют статус неприбыльных организаций. По этому вопросу разъяснение фискалов приведено далее.
Справка
Как указано в письме ГФС «О предоставлении методологической помощи» от 11.07.2017 г. № 18066/7/99-99-12-02-04-17, КНП могут быть включены в Реестр неприбыльных учреждений и организаций в случае соответствия требованиям, указанным в п. 133.4 Налогового кодекса Украины, в частности неприбыльным предприятием, учреждением и организацией является предприятие, учреждение и организация, которая одновременно соответствует таким требованиям:
• образована и зарегистрирована в порядке, определенном законом, который регулирует деятельность соответствующей неприбыльной организации;
• учредительные документы которой (или учредительные документы организации высшего уровня, на основании которых действует неприбыльная организация в соответствии с законом) содержат запрет распределения полученных доходов (прибылей) или их части среди учредителей (участников), членов такой организации, работников (кроме оплаты их труда, начисления единого социального взноса), членов органов управления и других связанных с ними лиц. Для целей этого абзаца не считается распределением полученных доходов (прибылей) финансирование расходов, определенных подпунктом 133.4.2 этого пункта;
• учредительные документы которой (или учредительные документы организации высшего уровня, на основании которых действует неприбыльная организация в соответствии с законом) предусматривают передачу активов одной или нескольким неприбыльным организациям соответствующего вида или зачисление в доход бюджета в случае прекращения юридического лица (в результате его ликвидации, слияния, разделения, присоединения или преобразования). Положение этого абзаца не распространяется на объединения и ассоциации объединений совладельцев многоквартирных домов;
• внесена контролирующим органом в Реестр неприбыльных учреждений и организаций.
Итак, пройдя вышеуказанный путь, который может занять минимум два с половиной месяца, при очень слаженной работе местного совета, депутатского корпуса и заведения здравоохранения, процесс автономизации завершен. В результате изменена организационно-правовая форма хозяйствования из коммунальной организации (заведения, учреждения) — бюджетного учреждения в КНП.
Приведем алгоритм реорганизации (преобразования) заведения здравоохранения из бюджетного учреждения в КНП:
Алгоритм реорганизации (преобразования) заведения здравоохранения из бюджетного учреждения в коммунальное некоммерческое предприятие
| Этапы | Сроки | Примечания |
| 1. Принятие соответствующим советом территориальной громады решения о прекращении ЗЗО путем его реорганизации (преобразования) из бюджетного учреждения в КНП. Такое решение должно содержать, в частности, следующие положения: — порядок и условия осуществления прекращения путем преобразования; — сведения о персональном составе комиссии по реорганизации; — сроки заявления кредиторами своих требований к ЗЗО (от 2 до 6 месяцев); — передача полномочий контроля за выполнением этого решения исполнительному комитету соответствующего совета или другому уполномоченному органу | ||
| 2. Подача государственному регистратору решения о прекращении ЗЗО и заявления о начале процедуры преобразования ЗЗО | В течение 3 рабочих дней с даты принятия решения (ч. 1 ст. 105 ГКУ) | Государственному регистратору подают такие документы (ч. 10 ст. 17 Закона № 755): — оригинал или нотариально удостоверенную копию решения о прекращении ЗЗО; — документы, подтверждающие личность и полномочия лица, которое предоставляет документ (паспорт, нотариально удостоверенную копию доверенности, если документы подаются представителем по доверенности) |
| 3. Государственная регистрация в Реестре и обнародование решения о реорганизации (преобразовании) ЗЗО | В течение 24 часов после поступления документов, кроме выходных и праздничных дней | В день проведения регистрационного действия технический администратор Реестра обеспечивает передачу соответствующих данных в информационные системы Пенсионного фонда Украины, налогового органа и статистики (ч. 2 ст. 13 Закона № 755). Реорганизация путем преобразования в отличие от других видов реорганизации юридических лиц не является основанием для проведения внеплановой проверки органами доходов и сборов и органами Пенсионного фонда юридического лица, которое преобразуется (п.п. 78.1.7 НКУ) |
| 4. Разработка устава КНП | 1 неделя (ориентировочный срок) | Устав рекомендовано утверждать вместе с передаточным актом (см. п. 9 таблицы) |
| 5. Принятие и рассмотрение требований кредиторов ЗЗО (удовлетворение или отклонение требований кредитора) | Предоставление ответа кредиторам по результатам рассмотрения — в течение 30 дней со дня получения требования. Удовлетворение требований — в течение срока, определенного решением о реорганизации ЗЗО (от 2 до 6 месяцев) | До 31.12.2018 г. кредиторы коммунальных ЗЗО, которые реорганизуются путем преобразования в КНП, не вправе требовать от них выполнения необеспеченных обязательств, прекращения или досрочного выполнения обязательства или обеспечения выполнения обязательства. Согласие кредитора на замену должника в обязательстве в таком случае не требуется |
| 6. Инвентаризация и оценка имущества ЗЗО | 1 месяц (ориентировочный срок) | До 31.12.2018 г. обязательная оценка имущества, предусмотренная Законом № 2658, для ЗЗО, которые реорганизуются путем преобразования в КНП, не применяется |
| 7. Составление передаточного акта. В этот документ включают информацию об имуществе, правах и обязательствах, которые передают от предприятия-правопреемника (то есть от ЗЗО к КНП) | После окончания срока для предъявления требований кредиторами (ч. 2 ст. 107 ГКУ) | В случае реорганизации (преобразования) все имущество, права и обязательства ЗЗО переходят к его правопреемнику — КНП (ч. 1 ст. 104 ГКУ, ч. 2 ст. 108 ГКУ). Передаточный акт подписывают председатель и члены комиссии по реорганизации (преобразованию) |
| 8. Принятие соответствующим советом территориальной громады решения о создании КНП путем реорганизации (преобразования). В такое решение необходимо включить, в частности, следующие положения: — утверждение передаточного акта; — создание КНП; — размер уставного капитала КНП; — закрепление имущества на праве оперативного управления; — утверждение устава КНП | Одним из пунктов решения является утверждение передаточного акта, подготовленного комиссией по реорганизации, советом территориальной громады — органом, принявшим решение о прекращении ЗЗО (бюджетного учреждения) (ч. 3 ст. 107 ГКУ) и устава КНП | |
| 9. Подача документов для государственной регистрации прекращения ЗЗО и создания КНП (ч. 1 ст. 17 Закона № 755), пакеты документов подаются одновременно. Документы для государственной регистрации прекращения ЗЗО: — заявление о государственной регистрации прекращения юридического лица в результате его реорганизации; — экземпляр оригинала (нотариально удостоверенная копия) передаточного акта; — доверенность, другой документ, подтверждающий полномочия представителя ЗЗО подать документы на регистрацию. Документы для государственной регистрации вновь созданного КНП: — заявление о государственной регистрации создания юридического лица; — заявление об избрании юридическим лицом упрощенной системы налогообложения и/или регистрационное заявление о добровольной регистрации как плательщика налога на добавленную стоимость, и/или заявление о включении в Реестр неприбыльных учреждений и организаций по формам, утвержденным в соответствии с законодательством, — по желанию заявителя; — экземпляр оригинала (нотариально удостоверенную копию) решения о создании ЗЗО-предприятия; — экземпляр устава ЗЗО-предприятия; — доверенность, другой документ, подтверждающий полномочия представителя ЗЗО подать документы на регистрацию; — передаточный акт (экземпляр оригинала, нотариально удостоверенная копия) | После окончания процедуры прекращения, но не ранее окончания срока заявления требований кредиторами (ч. 13 ст. 17 Закона № 755) | Согласно п.п. 5 ч. 13 ст. 17 Закона № 755 пакет документов для государственной регистрации прекращения ЗЗО и государственной регистрации вновь созданного КНП подают одновременно. Вместе с тем первой в Реестр вносят запись о прекращении ЗЗО, а потом — о создании нового КНП. Требования к оформлению документов предусмотрены ст. 15 Закона № 755, в частности: устав КНП подают в письменной форме, прошивают, пронумеровывают и подписывают основатели (участники), уполномоченные ими лицами, при этом подлинность подписей на уставе удостоверяют нотариально |
| 10. Внесение в Реестр записи о проведении государственной регистрации вновь созданного КНП в результате преобразования ЗЗО и о проведении государственной регистрации прекращения ЗЗО, а также обнародование государственным регистратором таких результатов | В течение 24 часов после поступления документов, кроме выходных и праздничных дней | Дата внесения соответствующей записи в Реестр является датой государственной регистрации КНП. В день проведения регистрационного действия технический администратор Реестра обеспечивает передачу соответствующих данных в информационные системы Пенсионного фонда Украины, налогового органа и статистики (ч. 2 ст. 13 Закона № 755). Сведения из Реестра о государственной регистрации создания КНП являются основанием для взятия такого предприятия на учет в органах государственной статистики, государственной фискальной службы и/или совершения других действий в соответствии с законодательством (ч. 3 ст. 13 Закона № 755) |
| 11. Открытие счетов в учреждениях банков | По этому вопросу разъяснения предоставлены Казначейством в письме «О предоставлении информации и копий документов» от 03.07.2018 г. № 16-08/29-10743 (см. на с. 5) | |
| 12. Изменение статуса распорядителя бюджетных средств на получателя бюджетных средств, открытие счетов КНП в Казначействе как получателя | ||
| 13. Внесение изменений в трудовые книжки работников | После государственной регистрации создания КНП | Вносят соответствующую запись об изменении наименования ЗЗО в связи с проведением реорганизации. Уведомление трудового коллектива о реорганизации ЗЗО (сокращение или перевод на другую должность в случае необходимости) |
| 14. Оформление и регистрация права пользования объектами недвижимости (зданиями) за КНП. Регистрацию проводит соответствующий государственный регистратор | 1,5 — 2 месяца | После государственной регистрации КНП осуществляют переоформление прав на здания и земельные участки |
| 15. Оформление и регистрация за КНП права пользования земельными участками (в том числе аренды) | 4 — 9 месяцев | |
| 16. Подача в Министерство здравоохранения заявления о переоформлении лицензии на осуществление хозяйственной деятельности по медицинской практике | В течение 3 месяцев | Согласно ч. 4 ст. 15 Закона № 222 старые лицензии сохраняют свое действие в течение 3 месяцев со дня регистрации правопреемника. За это время необходимо получить новые лицензии |
| 17. Переоформление аккредитационного сертификата заведения здравоохранения |
И вот наконец бывшее ЗЗО имеет статус КНП. Что делать дальше?
В соответствии с гражданским законодательством юридическое лицо является прекратившимся со дня внесения в единый государственный реестр записи о его прекращении, а юридическое лицо считается созданным со дня его государственной регистрации (ст. 104 ГКУ). То есть именно дата внесения соответствующей записи в Реестр является датой государственной регистрации КНП.
Учитывая это, советуем после этого решить следующие вопросы:
• открыть счета в учреждении банка;
• включить КНП в сеть как получателя бюджетных средств (по этому вопросу см. письмо ГКСУ от 03.07.2018 г. № 16-08/29-10743 на с. 5);
• открыть счета как получателя бюджетных средств в Казначействе;
• утвердить финансовый план КНП;
• подать в Казначейство ликвидационный баланс, а также бюджетную и финансовую отчетность (в объеме годовой);
• решить кадровые вопросы, в частности внести изменения в трудовые книжки работников запись об изменении наименования ЗЗО в связи с проведением реорганизации;
• начать готовить документы для переоформления лицензии на осуществление медицинской практики;
• решить организационные вопросы о продолжении выполнения договоров, заключенных ЗЗО (уведомить контрагентов о правопреемнике);
• организовать процесс проведения процедур закупок (подробнее об этом см. на с. 22);
• переоформить право пользования земельными участками и объектами недвижимости.
Важно! В соответствии с ч. 4 ст. 15 Закона № 222 если лицензиат прекращается в результате слияния, присоединения или преобразования и его правопреемник намеревается осуществлять вид хозяйственной деятельности, на осуществление которого лицензиат имел лицензию, такой правопреемник имеет право для обеспечения завершения организационных мероприятий, связанных с получением новой лицензии на его осуществление, осуществлять в срок, не превышающий 3 месяцев, такой вид хозяйственной деятельности на основании ранее выданной лицензии. После окончания этого срока правопреемник обязан получить новую лицензию, а ранее выданная лицензия подлежит аннулированию.
Конечно, это не полный перечень дел, которые необходимо выполнить КНП.
Например, для того чтобы КНП начать полноценно работать, необходимо перейти с бухгалтерского учета, введенного национальными положениями (стандартами) бухгалтерского учета в государственном секторе, на бухгалтерский учет, который применяют предприятия. Обо всем этом мы расскажем в следующих номерах нашей газеты.
Нормативные документы и сокращения
ГКУ — Гражданский кодекс Украины от 16.01.2003 г. № 435-IV.
НКУ — Налоговый кодекс Украины от 02.12.2010 г. № 2755-VI.
Закон № 2168 — Закон Украины «О государственных финансовых гарантиях медицинского обслуживания населения» от 19.10.2017 г. № 2168-VIII.
Закон № 2801 — Закон Украины «Основы законодательства Украины о здравоохранении» от 19.11.92 г. № 2801-ХII.
Закон № 222 — Закон Украины «О лицензировании видов хозяйственной деятельности» от 02.03.2015 г. № 222-VIII.
Закон № 2658 — Закон Украины «Об оценке имущества, имущественных прав и профессиональной оценочной деятельности в Украине» от 12.07.2001 г. № 2658-III.
НСЗУ — Национальная служба здоровья Украины.
ЗЗО — заведение здравоохранения.
КНП — коммунальное некоммерческое предприятие.
ОМС — орган местного самоуправления.
Реестр — Единый государственный реестр юридических лиц, физических лиц — предпринимателей и общественных формирований
