ТЕОРИЯ РАСПРЕДЕЛЕНИЯ
«Входящий» НДС: НК или расходы?
Прежде чем погрузиться в нюансы, связанные с перераспределением «входящего» НДС по результатам 2014 года, предлагаем освежить в памяти основные правила формирования НК.
Так, суммы НДС, уплаченные при приобретении товаров/услуг и НА:
• или включают в НК, если товары/услуги или НА ожидается использовать только в операциях, облагаемых НДС по ставкам 20 %, 7 % или 0 %, в рамках хозяйственной деятельности (п. 198.3 НКУ);
• или не включают в состав НК, если товары/услуги или НА предназначены для использования исключительно в необлагаемых операциях (п. 198.4 НКУ). В бухучете такие суммы включают в первоначальную стоимость приобретенных объектов (п. 9 П(С)БУ 9 «Запасы», п. 8 П(С)БУ 7 «Основные средства», п. 11 П(С)БУ 8 «Нематериальные активы», ср. ). Плательщики налога на прибыль имеют право включить такие суммы НДС в состав налоговых расходов или в стоимость соответствующего объекта НА на основании п.п. 139.1.6 НКУ.
Эти правила касаются также ситуации, когда часть приобретенных товаров/услуг используется в операциях, облагаемых НДС, а часть — в необлагаемых операциях. То есть можно достоверно определить (по физическим показателям) ту часть, которая используется в налогооблагаемых операциях. Например, если приобрели 500 кг бумаги, из которой 200 кг списали на производство рекламной продукции (ставка НДС — 20 %), а 300 кг — на производство книжек (освобожденная операция согласно п.п. 197.1.25 НКУ), то 2/5 «входящего» НДС можно включить в НК. Остальные 3/5 «входящего» НДС пойдут на расходы как составляющая первоначальной стоимости этой части приобретенной бумаги.
Если же приобретенные товары/услуги или НА используются как в налогооблагаемых операциях, так и в необлагаемых операциях и при этом невозможно выделить ту часть, которая касается каждого вида операций, то говорят об одновременном их использовании в налогооблагаемых и необлагаемых операциях. Например, коммунальные услуги или арендная плата за помещение, в котором осуществляется налогооблагаемая и необлагаемая деятельность. Для формирования НК по таким операциям в ст. 199 НКУ заложен механизм пропорционального распределения входящего НДС по специальному коэффициенту — ЧВ. Порядок распределения «входного» НДС показан на рис. 1 (с. 37).

Рис. 1. Распределение «входящего» НДС между НК и расходами
Распределение по ст. 199 НКУ
Сегодня мы сосредоточимся на распределении «входящего» НДС по товарам/услугам и НА, которые одновременно используются в налогооблагаемых и необлагаемых операциях. Его регламентирует ст. 199 НКУ.
Для распределения НДС используют коэффициент ЧВ (укр. «частка використання»), который определяют как отношение объема налогооблагаемых поставок к общему объему всех (налогооблагаемых и необлагаемых поставок). В общем случае ЧВ определяют за предыдущий календарный год. Если в предыдущем году не было необлагаемых операций, то ЧВ рассчитывают по данным первого отчетного периода, в котором были осуществлены налогооблагаемые и необлагаемые операции.
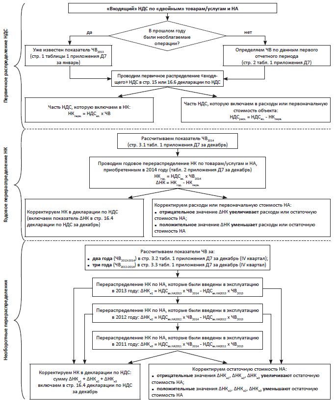
Распределение «входящего» НДС по ст. 199 НКУ условно можно распределить на три этапа.
1. Сначала НК формируется исходя из прошлогоднего показателя ЧВ (первичное распределение). Для этого сумму «входящего» НДС (НДСвх.) нужно умножить на ЧВ, т. е.:
НК = НДСвх. х ЧВ.
2. В конце года сумму НК по «двойным» товарам/услугам и НА корректируют исходя из фактического показателя ЧВ, сложившегося по результатам отчетного года (годовое перераспределение).
Заметим. Независимо от того, в каком отчетном периоде возникли основания для распределения (в начале или в конце года) для годового перераспределения НК учитывают данные об объемах поставки за весь год, а не за период, когда фактически осуществлялись налогооблагаемые и необлагаемые операции.
3. НК, сформированный по «двойным» НА, перераспределяют еще трижды (необоротное перераспределение): по итогам одного, двух и трех календарных лет, следующих за годом, в котором НА начали использоваться (введены в эксплуатацию).
Все нюансы распределения «входящего» НДС по товарам/услугам и НА, приобретенным для одновременного использования в налогооблагаемых и необлагаемых операциях, вы найдете на рис. 2 (см. с. 38).

Рис. 2. Распределение «входящего» НДС по ст. 199 НКУ
Операции, по которым НДС не распределяют
Мы уже выяснили, что не нужно распределять «входящий» НДС по товарам (их частям), предназначенным для использования исключительно в налогооблагаемых или исключительно в необлагаемых операциях.
Кроме того, в п. 199.6 НКУ перечислены операции, которые по своей сути являются льготными (не облагаются НДС), однако распределять НК по товарам/услугам и НА, которые частично использовались в этих операциях, не нужно. Такими операциями являются:
• реорганизация предприятия (п.п. 196.1.7 НКУ);
• поставка отходов и лома черных и цветных металлов, образовавшихся у плательщика НДС;
• поставка товаров/услуг в части производственной дотации из бюджета, полученной на покрытие разницы между фактическими расходами и регулируемыми ценами (п.п. 197.1.28 НКУ).
Кроме того, следует напомнить, что до конца 2014 года не применяются нормы ст. 199 НКУ (НК не распределяется) по операциям приобретения/создания НА для одновременного использования в налогооблагаемых операциях и необлагаемых операциях, которые подпадают под «зерновую» льготу (п. 151 подразд. 2 разд. ХХ НКУ)*.
* Подробнее о метаморфозах «зерновой» льготы по НДС в 2014 году читайте в «БН», 2014, № 43, с. 27.
Таким образом, приобретя товары/услуги и НА, которые будут использованы в перечисленных операциях, не нужно распределять НК. Его формируем по общим правилам, как при приобретении для налогооблагаемых операций.
Например, предприятие приобрело 1000 кг металлопроката стоимостью 12000 грн., в том числе НДС 2000 грн. Из этого металлопроката получили:
• готовую продукцию стоимостью 24000 грн., в том числе НДС 4000 грн.;
• 50 кг металлолома, стоимость которого 150 грн. (без НДС).
Предприятие продает металлолом без НДС (операция освобождена от обложения НДС до 01.01.15 г. на основании п. 23 подразд. 2 разд. XX НКУ). То есть использует часть приобретенного металлопроката в необлагаемой операции. Однако распределять «входящий» НДС между налогооблагаемыми и освобожденными операциями не нужно.
КОЭФФИЦИЕНТЫ РАСПРЕДЕЛЕНИЯ ЧВ
Каждому распределению своя доля
Формула. Порядок расчета показателя ЧВ описан в пп. 199.2 и 199.3 НКУ. Его определяют как отношение объемов поставки (без НДС) в налогооблагаемых операциях (Поблаг.) к совокупным объемам поставки в налогооблагаемых и в необлагаемых операциях (Пнеоблаг.). То есть можно применить следующую формулу:
![]()
Расчет ЧВ проводят в таблице 1 приложения Д7. Графа 4 этой таблицы по сути является знаменателем формулы, а гр. 5 — числитель этой формулы.
Напомним, что за декабрь 2014 года плательщики НДС будут подавать новую форму декларации по НДС, которая утверждена приказом МФУ от 23.09.14 г. № 966. Новая форма приложения Д7 не сильно отличается от предыдущей. Разве что учтена новая нумерация строк в декларации.
В таблице 1 приложения Д7 можно рассчитать 5 показателей ЧВ для разных целей. В приложении Д7 за декабрь (IV квартал) следует заполнить только стр. 3.1 — 3.3, которые понадобятся для годового перераспределения. На это обращали внимание и контролеры в письме Миндоходов от 06.08.13 г. № 14061/7/99-99-19-04-02-17 // «БН», 2013, № 44, с. 5.
Принцип расчета всех показателей ЧВ одинаковый. Отличие заключается только в том, данные каких налоговых периодов используются (они указаны в гр. 3 таблицы 1 приложения Д7).
Подсказки о том, какие данные деклараций по НДС нужно учитывать, есть в названиях гр. 4 и гр. 5, но применять их нужно с некоторыми поправками. Подробности вы найдете в табл. 1.
Таблица 1. Рассчитываем показатели ЧВ (таблица 1 приложения Д7)
| Номер графы | Название графы (строки) / порядок заполнения |
| 1 | 2 |
| 4, 5 | «Обсяги постачання (без податку на додану вартість)» |
| 4 | «загальний обсяг постачання (сума значень рядків 6, 8.1, 8.1.1 колонки А декларації та всіх уточнюючих розрахунків)» |
| Стр. 3.1 «один календарний рік (поточний)» Здесь собираем данные об общем объеме налогооблагаемых и необлагаемых операций за 2014 год. Это данные стр. 6, 8.1 и 8.1.1 (колонка А) старых форм НДС-декларации и УР, которые действовали до 01.12.14 г. Обратите внимание! Из декларации за декабрь 2014 года (новая форма декларации) нужно взять еще и данные стр. 8.1.2, хоть она и не упоминается в названии гр. 4. Дело в том, что стр. 8.1.2 указана в названии гр. 5 этой таблицы. Следовательно ее данные входят в числитель формулы. Поэтому даже сугубо из математических рассуждений мы должны ее учесть в знаменателе этой формулы. Очевидно, что это техническая ошибка. О новой корректирующей строке авторы новой НДС-декларации просто забыли. Нужно выбрать данные деклараций за январь — декабрь 2014 года и УР, которые были поданы как приложения к этим декларациям. Кроме того следует учесть такие данные из всех УР, которые были поданы в 2014 году как самостоятельные документы. Нюанс. Необходимо учесть и те УР, с помощью которых вы исправляли ошибки предыдущих лет, во избежание «цепной реакции» по исправлению ряда ошибок, связанных с изменением ЧВ за прошлые периоды. Подробнее об этом вы можете прочитать в «БН», 2013, № 1, с. 53. Даже если необлагаемые операции вы осуществляли в отдельных месяцах, для расчета ЧВ нужно брать данные о поставке (и их корректировке) за весь год | |
|
| Стр. 3.2 «два календарних роки (поточний та попередній)» Собираем такие же данные, как в стр. 3.1, но берем их за два года: 2013 и 2014 |
| Стр. 3.3 «три календарних роки (поточний та два попередніх)» Собираем такие же данные, как в стр. 3.1, но берем их за три года: 2012 — 2014 | |
| 5 | «оподатковувані операції (сума значень рядків 1.1, 1.2, 2.1, 2.2, 8.1, 8.1.1, 8.1.2 колонки А декларації та всіх уточнюючих розрахунків)» |
| Стр. 3.1 «один календарний рік (поточний)» Здесь указываем объем налогооблагаемых операций (по ставкам 20 %, 7 % и 0 %) за 2014 год. Это данные стр. 1, 2.1, 2.2, 8.1, 8.1.1 старых форм НДС-декларации и УР, которые действовали до 01.12.14 г. Из декларации за декабрь 2014 года (новая форма декларации) нужно взять данные стр. 1.1, 1.2, 2.1, 2.2, 8.1, 8.1.1 и 8.1.2 Обратите внимание! В стр. 8.1.1 старой формы декларации и стр. 8.1.2 новой НДС-декларации могли попасть корректировки двух типов: • операций, которые облагались НДС по ставке 0 % и были ранее указаны в стр. 2.1 или 2.2 декларации (налогооблагаемые операции); • освобожденных и необъектных операций, которые были ранее указаны в стр. 3 — 5 декларации (необлагаемые операции). Конечно, при определении показателя гр. 4 (знаменатель формулы) нужно учитывать все корректировки (налогооблагаемых и необлагаемых операций). А вот в гр. 5 (числитель формулы) нужно учесть корректировку только «нулевых» операций, которые ранее попали в стр. 2.1 или 2.2 декларации. Ведь только такие корректировки можно отнести к налогооблагаемым операциям. Так же, как и для гр. 4 берем данные деклараций по НДС за январь — декабрь 2014 года, УР, которые были поданы как приложения к этим декларациям, а также всех УР, которые были поданы в 2014 году как самостоятельные документы | |
| Стр. 3.2 «два календарних роки (поточний та попередній)» Собираем такие же данные, как в стр. 3.1, но берем их за два года: 2013 и 2014 | |
| Стр. 3.3 «три календарних роки (поточний та два попередніх)» Собираем такие же данные, как в стр. 3.1, но берем их за три года: 2012 — 2014 | |
| 6 | «Частка* використання товарів/послуг, необоротних активів в оподатковуваних операціях (колонка 5 х 100 % / колонка 4)» |
| Стр. 3.1 «один календарний рік (поточний)» Значение ЧВ определяем в процентах. Результат округляем по общеустановленным правилам до двух знаков после запятой (до сотых) (письмо ГНСУ от 25.10.11 г. № 4261/6/15-3415-04 // «БН», 2011, № 47, с. 17). Таким образом мы найдем показатели ЧВ2014 по данным 2014 года | |
| Стр. 3.2 «два календарних роки (поточний та попередній)» Здесь будет указан показатель ЧВ2013-2014 за два года: 2013 и 2014 | |
| Стр. 3.3 «три календарних роки (поточний та два попередніх)» Здесь будет указан показатель ЧВ2012-2014 за три года: 2012 — 2014 |
Операции, которые не повлияют на ЧВ
Рассчитывая показатели ЧВ, нужно учесть только операции, которые являются поставкой в соответствии с пп. 14.1.191, 14.1.185 НКУ. Поэтому некоторые операции, которые могли попасть в декларации по НДС, не нужно учитывать при определении показателя ЧВ. Это, в частности:
• «условная продажа» при аннулировании НДС-регистрации согласно п. 184.7 НКУ. Такие операции отражают в стр. 1.1 (раньше стр. 1) последней декларации по НДС*;
• услуги, полученные от нерезидента (стр. 7 декларации по НДС);
• корректировка в связи с нецелевым использованием товаров, ввезенных в льготном режиме (стр. 8.2 декларации);
• импорт товаров (стр. 12.1 декларации).
* Напомним, что с 01.07.12 г. так называемая условная продажа при аннулировании НДС-регистрации изъята из определения термина «поставка товаров» в п.п. 14.1.191 НКУ.
Обратите внимание! В стр. 1.1 (раньше стр. 1) декларации также отражают налоговые обязательства, начисленные согласно п. 198.5 НКУ (использование товаров/услуг и НА, по которым был сформирован НК, в необлагаемых операциях или не в хозяйственной деятельности). В «ВНСУ», 2012, № 9-10, с. 5 налоговики настаивали, что такие «условные» поставки не нужно учитывать при расчете показателя ЧВ.
Совет. Никаких указаний о том, что эти «компенсационные» начисления НО нужно исключить при расчете показателя ЧВ, в нормативных документах нет. К тому же эти операции являются «поставкой» согласно п.п. 14.1.191 НКУ. Поэтому в этой части следует руководствоваться требованиями формы таблицы 1 приложения Д7 и учесть такие суммы при расчете показателей ЧВ. К тому же это выгодно плательщику. Ведь увеличенный показатель ЧВ позволяет включить в НК большую сумму НДС.
Мы уже упоминали выше, что в п. 199.6 перечислены операции, на которые не распространяются распределительные нормы ст. 199 НКУ, в частности, поставка отходов и лома черных и цветных металлов. При приобретении «двойных» товаров/услуг и НА для этих операций не нужно распределять НК.
Однако такие поставки (например, продажа металлолома) нужно учитывать при расчете показателя ЧВ (в гр. 4 таблицы 1 приложения Д7). Дело в том, что эти операции являются поставкой и законных оснований для того, чтобы их игнорировать при определении показателя ЧВ, нет.
Нюанс. Некоторые специалисты настаивают, что операции, перечисленные в п. 199.6 НКУ, не нужно учитывать и при расчете показателя ЧВ.
На наш взгляд, такими рекомендациями следует пользоваться очень осторожно.
Во-первых, в п. 199.6 НКУ сказано, что правила ст. 199 не применяются и НК не уменьшается при проведении указанных операций. То есть не применяются правила, которые требуют уменьшить НК путем распределения «входящего» НДС. Кстати, именно об этом говорили столичные налоговики, когда разъясняли эту норму (письмо ГНС в г. Киеве от 17.07.12 г. № 4301/10/06-406).
Прямого указания о том, что операции, указанные в п. 199.6 НКУ, в частности и поставка металлолома, не нужно учитывать при исчислении показатель ЧВ, ни в ст. 199 НКУ, ни в Порядке № 966 нет. Наоборот, там идет речь об отношении общего объема налогооблагаемых операций к общему объему поставки.
Во-вторых, если мы исключаем какие-либо операции из общего объема поставки, то автоматически увеличиваем показатель ЧВ. Соответственно увеличится и сумма «разрешенного» НК. Очевидно, что это «не понравится» контролерам. Поэтому за «повышенный» показатель ЧВ придется побороться, возможно, даже в суде. А положительный результат никто не гарантирует.
В-третьих, для того, чтобы «очистить» общей объем поставки от «металлолома», придется углубиться в первичные документы. Иначе определить, какие именно льготные операции попали в декларацию по НДС, невозможно. А это требует дополнительных расходов времени.
Совет. Намного проще и безопаснее при расчете показателя ЧВ учесть все льготные операции, в частности и те, которые указаны в п. 199.6 НКУ.
ЧВ на перспективу
Часто возникает вопрос: нужно ли заполнять приложение Д7, если в течение года «входящий» НДС не распределяли, но были льготные операции?
В Порядке № 966, равно как и в его предшественниках, нет прямого ответа на этот вопрос. В письме Миндоходов от 06.08.13 г. № 14061/7/99-99-19-04-02-17 контролеры пришли к выводу, что приложение Д7 заполняют плательщики, которые используют приобретенные товары/услуги частично в налогооблагаемых операциях, а частично — в необлагаемых.
То есть, если вы заполняли стр. 15 или 16.6 хотя бы в одной декларации (или в УР) за 2014 год, то заполните приложение Д7 в последней НДС-декларации за этот год. Если же стр. 15 и 16.6 в течение года пустые, то приложение Д7 можно не подавать.
Однако такой лояльный подход не совсем соответствует требованиям НКУ и Порядка № 966.
Другую «крайность» найдем в п. 15 разд. III Порядка № 966. Там предусмотрено, что приложения 1, 6, 7 и 8 подают при наличии событий, подлежащих отражению в таких приложениях. Для заполнения таблицы 1 приложения Д7 используют, в частности, данные стр. 6 декларации. Конечно, такие данные есть у всех плательщиков НДС, осуществлявших в течение года любые поставки. Соответственно, можно настаивать на заполнении приложения Д7 всеми плательщиками НДС (кроме тех, которые вообще не заполняли раздел I декларации).
На наш взгляд, истина, как часто бывает, — где-то «посередине».
Рассчитывать ЧВ по фактическим данным первого отчетного периода, в котором впервые задекларированы необлагаемые операции, необходимо только в том случае, если в течение предыдущего календарного года отсутствовали необлагаемые операции (п. 199.3 НКУ).
Следовательно, плательщики НДС, осуществлявшие в течение года необлагаемые операции (заполняли стр. 3, 4 или 5 декларации), должны определить ЧВ и подать приложение Д7 «на всякий случай» — если в следующем году придется распределять НК.
ГОДОВОЕ ПЕРЕРАСПРЕДЕЛЕНИЕ
Что перераспределяем?
Годовое перераспределение «входящего» НДС проводят только те плательщики НДС, которые в 2014 году:
• заполняли «распределительные» стр. 15 или 16.6 деклараций по НДС или УР;
• проводили корректировку через стр. 16.1.2 и 16.1.3 декларации по НДС за январь — ноябрь 2014 года и УР к ним;
• проводили корректировку через стр. 16.1.5 и 16.1.6 декларации за декабрь 2014 года и УР, поданных после 01.12.14 г.
То есть провели первичное распределение «входящего» НДС между налогооблагаемыми и необлагаемыми операциями. Теперь по итогам года нужно подкорректировать сумму НК под фактическую часть налогооблагаемых операций за 2014 год (абз. 1 п. 199.4 НКУ). Для этого предназначена таблица 2 приложения Д7. Ее заполняют, когда подают приложение Д7 вместе с декларацией за декабрь (IV квартал) или за последний отчетный период (в случае аннулирования регистрации).
Общее годовое перераспределение НК проводят отдельно:
• по товарам/услугам и МНМА* — в стр. 1 таблицы 2 приложения Д7;
• по необоротным активам — в стр. 2 этой таблицы.
* Годовое перераспределение НК по МНМА (необоротным активам со сроком полезного использования более 1 года и стоимостью до 2500 грн.) следует проводить по «товарным» правилам (вопрос 6 ОНК № 129).
То есть приобретение «двойных» товаров/услуг и МНМА, отраженных в течение 2014 года в стр. 15 и 16.6 (с учетом корректировок распределенных сумм), нужно отделить от приобретенных «двойных» НА.
Наш совет. Проще всего сначала определить объем операций по приобретению «двойных» НА (как правило, их немного). Потом определяем объемы приобретения «двойных» товаров/услуг: как разницу всех «двойных» приобретений и уже известного объема «двойных» НА.
Заполняем таблицу 2 приложения Д7
За декабрь 2014 года нужно впервые подать декларацию по НДС по новой форме. Соответственно наполнение таблицы 2 приложения Д7 несколько изменилось в сравнении с предыдущей формой. Однако форма этой таблицы уже хорошо знакома. Порядок ее заполнения вы найдете в табл. 2.
Таблица 2. Годовое перераспределение (таблица 2 приложения Д7)
| Номер графы | Название графы / порядок заполнения |
| 1 | 2 |
| 3, 4 | «Придбання (виготовлення, будівництво, спорудження, створення) товарів/послуг та необоротних активів <…>» |
| 3 | «обсяг (сума значень рядків 15, 16.1.5, 16.1.6, 16.6.1 та 16.6.2 колонки А декларацій та всіх уточнюючих розрахунків за поточний календарний рік)» |
| Отражаем общий объем (база налогообложения) операций, по которым было проведено первичное распределение НК в течение года (с учетом ошибок, которые были исправлены через УР). Для этого нужно суммировать показатели стр. 15, 16.1.5, 16.1.6, 16.6.1 и 16.6.2 (колонка А) всех деклараций и УР. Конечно, в старой форме декларации и УР, которые действовали до 01.12.14 г., не было стр. 16.1.5 и 16.1.6. Поэтому нужно учесть данные аналогичных корректирующих строк, но с другой нумерацией (стр. 16.1.2 и 16.1.3 соответственно). Указываем данные отдельно: • по товарам/услугам и МНМА — в стр. 1 «Товари/послуги»; • по НА — в стр. 2 «Необоротні активи» | |
| 4 | «сума податку на додану вартість (колонка 3 х основну ставку, %)» |
| Указываем сумму НДС, которая прошла в 2014 году через процедуру первичного распределения. Будьте внимательны! Пользоваться рекомендованным алгоритмом «колонка 3 х основну ставку» можно только в том случае, когда под распределение не попали медикаменты, облагаемые НДС по ставке 7 %. Если вам пришлось распределять «входящий» НДС, начисленный по ставке 7 %, то сумму НДС придется выбрать «вручную» | |
| 5 | «Фактично включено до податкового кредиту (сума значень рядків 15.1, 16.1.5 та 16.6.1 колонки Б декларацій та всіх уточнюючих розрахунків за поточний календарний рік)» |
| Указываем сумму НДС, которая фактически была включена в НК в течение года в результате первичного распределения и исправления ошибок (сумма стр. 15.1, 16.1.5, и 16.6.1 колонки Б всех деклараций и УР). Так же как при заполнении гр. 3 из старых деклараций и УР, которые действовали до 01.12.14 г., нужно учесть данные корректирующей стр. 16.1.2 (вместо новой стр. 16.1.5) | |
| 6 | «Сума податку на додану вартість, що підлягає включенню до податкового кредиту з урахуванням перерахованої частки використання товарів/послуг в оподатковуваних операціях (колонка 4 х колонку 6 рядка 3.1 табл. 1)» |
| Рассчитываем «разрешенную» сумму НК как произведение общей суммы НДС по «двойным» приобретениям (гр. 4) и показателя ЧВ, рассчитанного за 2014 год (гр. 6 стр. 3.1 таблицы 1 приложения Д7) | |
| 7 | «Коригування податкового кредиту у зв’язку з перерахунком <…>» |
| Рассчитываем сумму корректировки НК как разницу (гр. 6 - гр. 5). Общую сумму корректировки по товарам/услугам и НА (стр. «ВСЬОГО») нужно включить в стр. 16.4 декларации по НДС за последний отчетный период 2014 года |
Необоротное перераспределение (таблица 3)
Необоротное перераспределение НК должны сделать плательщики, которые в 2011, 2012 и 2013 годах проводили распределение НК по «двойным» НА (абз. 2 п. 199.4 НКУ). Такое перераспределение следует провести независимо от того, заполняли вы в 2014 году стр. 15 или 16.6 декларации или нет.
Для этого предназначена таблица 3 приложения Д7.
В стр. 1 проводят перераспределение НК по «двойным» НА, которые были введены в эксплуатацию в 2013 году (прошел один следующий календарный год после начала использования).
В стр. 2 проводят перераспределение НК по «двойным» НА, которые были введены в эксплуатацию в 2012 году (прошло два следующих календарных года после начала использования).
В стр. 3 проводят перераспределение НК по «двойным» НА, которые были введены в эксплуатацию в 2011 году (прошло три следующих календарных года после начала использования).
Порядок перераспределения приведем в табл. 3.
Таблица 3. Необоротные перераспределения (таблица 3 приложения Д7)
| Номер графы | Название графы / порядок заполнения |
| 1 | 2 |
| 3, 4 | «Вартість придбання необоротних активів (з урахуванням розрахунків коригування у разі їх наявності)» |
| 3 | «обсяг (без податку на додану вартість)» |
| Указываем стоимость «двойных» НА (базу налогообложения). В стр. 1 укажите стоимость «двойных» НА, которые были введены в эксплуатацию в 2013 году. Этот показатель можно взять из гр. 3 стр. 2 таблицы 2 приложения Д7 декларации за декабрь (IV квартал) 2013 года. Но его нужно подкорректировать. Дело в том, что в этой строке была указана стоимость НА, НК по которым был сформирован в 2013 году. А нам нужны данные о НА, которые были введены в эксплуатацию в 2013 году. Поэтому нам нужно: • прибавить стоимость НА, которые были приобретены до 01.01.13 г. и введены в эксплуатацию в 2013 году; • исключить стоимость НА, которые были приобретены в 2013 году, но не были введены в эксплуатацию до 01.01.14 г. В стр. 2 укажите стоимость «двойных» НА, которые были введены в эксплуатацию в 2012 году. Этот показатель можно взять из гр. 3 стр. 1 таблицы 3 приложения Д7 декларации за декабрь (IV квартал) 2013 года Корректировать его придется только в том случае, если НА, которые были введены в эксплуатацию в 2012 году, были ликвидированы или перестали использоваться по двойному назначению в 2014 году. То есть по таким НА уже были начислены НО или НК согласно пп. 189.9 или 198.5 НКУ в 2014 году. В стр. 3 укажите стоимость «двойных» НА, которые были введены в эксплуатацию в 2011 году. Этот показатель можно взять из гр. 3 стр. 2 таблицы 3 приложения Д7 декларации за декабрь (IV квартал) 2013 года. Его тоже придется корректировать, если НА, которые были введены в эксплуатацию в 2011 году, были ликвидированы или перестали использоваться по двойному назначению в 2014 году | |
| 4 | «податок на додану вартість» |
| Указываем сумму НДС, которая соответствует базе налогообложения, указанной в гр. 3. Чтобы рассчитать ее, нужно умножить показатель гр. 3 на ставку НДС 20 % | |
| 5 | «Фактично включено до податкового кредиту з урахуванням визначеної частки використання» |
| Указываем суммы НДС, которые попали в НК по результатам предыдущего пересчета (по итогам 2013 года). В стр. 1 нужно указать сумму НК, соответствующую НА, которые были введены в эксплуатацию в 2013 году (их стоимость мы указали в гр. 3). Если все НА, которые приобрели в 2013 году, были введены в эксплуатацию в 2013 году, то предыдущую сумму НК можно взять из гр. 6 стр. 2 таблицы 2 приложения Д7 за декабрь (IV квартал) 2013 года. Если у вас были переходные НА, которые вводили в эксплуатацию в следующем году после их приобретения, то этот вариант не пройдет. Показатель этой строки (предыдущую сумму НК по НА, введенным в эксплуатацию в 2013 году) можно достаточно просто рассчитать. Для этого нужно показатель гр. 4 умножить на прошлогодний показатель ЧВ, т. е.: гр. 5 = гр. 4 х ЧВ2013. В стр. 2 можно перенести показатель гр. 6 стр. 1 таблицы 3 приложения Д7 декларации за декабрь (IV квартал) 2013 года. Но это можно делать только при условии, что все «двойные» НА, которые были введены в эксплуатацию в 2012 году, «дожили» до конца 2014 года. Иначе рассчитываем предыдущую сумму НК по НА, введенным в эксплуатацию в 2012 году. По той же формуле, что и в стр. 1: гр. 5 = гр. 4 х ЧВ2013. В стр. 3 можно перенести показатель гр. 6 стр. 2 таблицы 3 приложения Д7 декларации за декабрь (IV квартал) 2013 года. Но это можно делать только при условии, что все «двойные» НА, которые были введены в эксплуатацию в 2011 году, «дожили» до конца 2014 года. Если же среди таких НА «были потери» в 2014 году, то предыдущую сумму НК придется рассчитать. Для этого показатель гр. 4 нужно умножить на показатель ЧВ, рассчитанный за 2012 — 2013 годы (гр. 6 стр. 3.2 таблицы 1 приложения Д7 декларации за декабрь (IV квартал) 2013 года), т. е.: гр. 5 = гр. 4 х ЧВ2012—2013 | |
| 6 | «Підлягає включенню до податкового кредиту з урахуванням перерахованої частки** за результатом одного/двох/трьох календарних років» |
| Указываем «разрешенную» сумму НК. Для расчета необходимо умножить значение гр. 4 на соответствующий показатель ЧВ: • для стр. 1 — ЧВ2014 (гр. 6 стр. 3.1 таблицы 1 данного приложения); • для стр. 2 — ЧВ2013—2014 (гр. 6 стр. 3.2 таблицы 1 данного приложения) • для стр. 3 — ЧВ2012—2014 (гр. 6 стр. 3.3 таблицы 1 данного приложения) | |
| 7 | «Коригування податкового кредиту у зв’язку з перерахунком <…>» |
| Рассчитываем сумму коррекции НК как разницу (гр. 6 - гр. 5). Итоговой строки в таблице 3 нет, потому суммарное значение показателей гр. 7 (по трем строкам) этой таблицы включаем в стр. 16.4 декларации |
ОТРАЖАЕМ РЕЗУЛЬТАТЫ ПЕРЕРАСПРЕДЕЛЕНИЯ
Отчетность по НДС
Реестр. Хотя годовое перераспределение НК полностью проводится в приложении Д7, для того, чтобы отразить его в Реестре, нужно составить еще и бухгалтерскую справку (п. 2. разд. IV Порядка № 958). Данные о такой справке записываем в разделе II Реестра следующим образом:
• в гр. 2 — дата последнего дня отчетного периода календарного года «31.12.2014»;
• в гр. 3 — дата составления бухгалтерской справки. Здесь тоже можно поставить дату «31.12.2014», но если у вас этот день — выходной, то можете поставить фактическую дату составления справки (после 01.01.15 г.);
• в гр. 5 — вид документа «БО»;
• в гр. 11 — сумма корректировки НДС, определенная в приложении Д7, которая перенесена в стр. 16.4 декларации с соответствующим знаком (+ или -).
Декларация по НДС. Результаты годового, а также необоротного перерасчета НДС отражают в специальной стр. 16.4 декларации по НДС. Если плательщик заполнял таблицы 2 и 3 приложения Д7, то результаты обоих пересчетов заносим в стр. 16.4 декларации свернуто.
Бухучет товарного перераспределения
Товары. Мы уже упоминали в начале Темы, что суммы входящего НДС, которые нельзя включить в НК, нужно включить в первоначальную стоимость запасов. Их отражают на сч. 20, 22 или 28.
В дальнейшем первоначальная стоимость запасов не изменяется (п. 15 П(С)БУ 9), кроме случаев, которые прямо предусмотрены в П(С)БУ 9:
• при уценке до чистой стоимости реализации (п. 25 П(С)БУ 9);
• при дооценке в пределах ранее осуществленной уценки (п. 28 П(С)БУ 9).
Как видите, годовое перераспределение НК не является основанием для уценки или дооценки товаров. К тому же на момент такого перераспределения далеко не все товары, по которым вы распределили НК в 2014 году, останутся на балансе предприятия. По сути переоценивать нечего.
Таким образом, результаты годового перераспределения НК в отношении товаров нельзя отразить в бухучете так же, как отражали суммы входящего НДС при первичном распределении (на сч. 20, 22 или 28). Поэтому откорректированные суммы НК следует включить в прочие расходы (субсч. 949) или прочие доходы (субсч. 719) в декабре 2014 года.
Если сумма НК уменьшилась, то делаем проводки:
Дт 641 — Кт 644 (методом «красное сторно»);
Дт 949 — Кт 644.
Если наоборот сумма НК увеличилась, то делаем проводку:
Дт 641 — Кт 719.
Услуги. Аналогичная ситуация будет с перераспределением НК по услугам.
На услуги, которые формируют первобытную стоимость запасов (например, транспортно-заготовительные расходы), распространяются все упомянутые выше «запасные» правила из п. 9 П(С)БУ 9.
Услуги, стоимость которых не была включена в первоначальную стоимость запасов или НА, относят в расходы отчетного периода согласно П(С)БУ 16 «Расходы» (на сч. 91, 92 или 93). Так же в расходы отчетного периода попадут суммы входящего НДС, которые в результате начального распределения не попали в НК (п. 18 П(С)БУ 16).
Следовательно, результаты годового перераспределения НК по услугам тоже нужно отразить в составе прочих расходов (субсч. 949) или прочих доходов (субсч. 719), потому что нет объекта учета, к которому можно было бы «привязать» результаты перераспределения НК по таким услугам.
МНМА. Ситуация несколько сложнее, если идет речь о перераспределении НК по МНМА.
Напомним, что перераспределение НК по МНМА проводят по «товарным» правилам (в стр. 1 таблицы 2 приложения Д7). На это указали налоговики в ОНК № 129.
Среди расходов, которые формируют первоначальную стоимость объекта МНМА, упоминаются суммы непрямых налогов (НДС), уплаченные при его приобретении, если они не возмещаются предприятию (п. 8 П(С)БУ 7 «Основные средства»).
Если предприятие начисляет амортизацию в размере 100 % стоимости объекта при вводе его в эксплуатацию (п. 27 П(С)БУ 7), то на момент годового перераспределения такой объект уже будет списан с баланса. Соответственно, не к чему «прицепить» перераспределенные суммы входящего НДС.
Если же предприятие начисляет амортизацию в размере 50 % при вводе в эксплуатацию, а 50 % — при списании объекта, то на момент проведения годового перераспределения НК еще есть половина первоначальной стоимости такого объекта. На первый взгляд, такую величину можно было бы подкорректировать на перераспределенную сумму НДС. Однако абз. 3 п. 16 П(С)БУ 7 запрещает переоценивать МНМА, если их амортизируют по описанным выше методам (50 % х 50 % или 100 %).
Следовательно, результаты годового перераспределения НК по МНМА тоже нужно отразить в составе прочих расходов или прочих доходов.
Констатируем: результат перераспределения НК по товарам, услугам и МНМА (стр. 1 гр. 7 таблицы 2 приложения Д7 декларации по НДС) нужно отразить в бухучете общей суммой путем корректировки расходов или доходов. Когда такая сумма отрицательная (НК уменьшается), то увеличиваем прочие расходы (субсч. 949). Если, наоборот, положительная (НК увеличивается) — отражаем в составе прочих доходов (субсч. 719).
Бухучет необоротных перерасчетов
Минфин расценивает процедуру перераспределения НДС как изменение учетной оценки ОС (письмо от 19.05.11 г. № 31-08410-07-25/12852 // «БН», 2012, № 4, с. 10)*. То есть следует подкорректировать первоначальную стоимость каждого объекта ОС, который попал под годовое перераспределение.
* Подробнее об изменениях учетной оценки вы можете прочитать в «БН», 2010, № 43, с. 27.
Для этого общие суммы откорректированного НДС (гр. 7 стр. 2 таблицы 2, а также гр. 7 стр. 1, 2 и 3 таблицы 3 приложения Д7) нужно распределить между ОС, которые принимали участие в необоротном перераспределении. Базой для этого распределения будет стоимость ОС, которая попала в гр. 3 таблиц 2 и 3 приложения Д7.
Полученную сумму откорректированного НДС, которая приходится на каждый объект ОС, нужно отразить в бухучете так:
1) если сумма НК уменьшилась, то ее следует отнести на увеличение стоимости ОС. Сделать это можно проводками:
Дт 641 — Кт 644 (методом «красное сторно»);
Дт 15 — Кт 644;
Дт 10 — Кт 15;
2) если сумма НК увеличилась, то ее нужно отнести на уменьшение стоимости ОС проводками:
Дт 641 — Кт 63*
Дт 15 — Кт 63 (методом «красное сторно»);
Дт 10 — Кт 15 (методом «красное сторно»).
* Применить сч. 63 рекомендует Минфин в указанном письме. На наш взгляд, вместо этого счета более уместно использовать субсч. 644 (как и в первом случае).
Обратите внимание! Изменение учетной оценки ОС отражают в финансовой отчетности с использованием перспективного метода (пп. 7, 8 П(С)БУ 6 «Исправление ошибок и изменения в финансовых отчетах»). То есть амортизацию ОС за предыдущие периоды перечислять не нужно. Амортизацию, которую вы определите исходя из новой первоначальной стоимости ОС, следует начислять начиная с января 2015 года.
Налоговый учет
Правила отражения в налоговом учете сумм НДС, которые нельзя включить в НК, похожи на правила отражения таких сумм в бухучете.
Для плательщиков НДС, которые проводят операции, которые облагаются НДС и освобождены от налогообложения или не являются объектом налогообложения, есть специальная норма в п.п. 139.1.6 НКУ. Там предусмотрено, что они имеют право включить суммы НДС, которые нельзя отнести в НК согласно разд. V НКУ, в:
• налоговые расходы;
• или в стоимость ОС и нематериальных активов, подлежащих амортизации.
Контролеры рекомендуют отражать такие корректировки в составе прочих расходов в стр. 06.04.43 приложения ІВ декларации по налогу на прибыль (подкатегория 102.09.01 ЗІР ГФСУ).
Обратите внимание! Налоговики утверждают, что значение строки 06.04.43 приложения ІВ может иметь как положительное, так и отрицательное значение.
Следовательно, если сумма НК уменьшается, то плательщик налога на прибыль имеет право увеличить:
• налоговые расходы на часть НДС, которая была сформирована при приобретении товаров/услуг и МНМА. Для этого нужно перенести значение гр. 7 стр. 1 таблицы 2 приложения Д7 декларации по НДС в стр. 06.4.43 приложения IВ декларации по налогу на прибыль;
• стоимость ОС и нематериальных активов, которая подлежит амортизации (распределить между объектами «двойных» НА суммы НК, указанные в гр. 7 стр. 2 таблицы 2, а также гр. 7 стр. 1, 2 и 3 таблицы 3 приложения Д7).
Если сумма НК увеличивается, то наоборот нужно уменьшить:
• налоговые расходы (отрицательное значение строки 06.4.43 приложения IВ);
• стоимость «двойных» НА, подлежащих амортизации.
Такой порядок отражения результата перераспределения НК абсолютно логичный, и никаких вопросов по отражению корректировки по товарам/услугам и МНМА не возникает. А вот по ОС и нематериальным активам следует сделать замечание.
В указанной выше консультации налоговики сначала говорят о корректировке расходов «с соответствующей корректировкой амортизации», т. е. о перерасчете ранее начисленных сумм амортизации.
С таким подходом мы не можем согласиться. Тем более, что в некоторых случаях такие корректировки провести практически невозможно (в частности, идет речь о ситуации, когда сумма амортизации включена в себестоимость изготовленной продукции). Считаем, что в налоговом учете, как и в бухгалтерском, результаты корректировки следует учитывать перспективно. То есть результат перерасчета должен повлиять на следующие отчетные периоды, а не задевать предыдущие.
Подтверждение этому можно найти в указанной выше консультации налоговиков. Ведь контролеры говорят о начислении амортизации НА в дальнейшем с учетом увеличенной/уменьшенной балансовой стоимости. Если вся сумма откорректированного НДС увеличит/уменьшит базу, из которой вы будете начислять последующую амортизацию, то дополнительно корректировать ранее начисленную амортизацию не нужно. Это приведет к задвоению результата.
Перераспределение в «экзотичЕСКИх» случаях
Случайная льготная операция
Плательщики НДС, торгующие исключительно налогооблагаемыми товарами, не застрахованы от случайных необлагаемых операций. Например, решили избавиться от макулатуры (п. 23 подразд. 2 разд. XX НКУ), продали долю в корпоративных правах юрлица (п.п. 196.1.1 НКУ) или предоставили услугу, место поставки которой — за пределами таможенной территории Украины. Эти операции попадут в «справочные» стр. 3 — 5 НДС-декларации.
В таких операциях не начисляют НДС. Однако они могут повлиять на НК. Ведь некоторые товары/услуги или НА могли быть одновременно задействованы в налого- облагаемых и необлагаемых операциях. Как правило, это аренда офиса, коммунальные услуги, услуги связи и т. п.
В отчетном периоде, в котором впервые «выстрелила» льготная операция, вам придется определить показатель ЧВ в стр. 2 таблицы 1 приложения Д7. Объемы налогооблагаемых поставок нужно будет разделить на общий объем операций за этот отчетный период.
Товары/услуги «двойного» назначения вам придется провести через стр. 15 декларации. При этом часть «входного» НДС попадет не в НК, а в расходы.
Если других льготных операций у вас не будет, то до конца года о распределении НК можете забыть. К нему вы вернетесь, когда будете заполнять НДС-декларацию за декабрь (IV квартал). Тут вам необходимо рассчитать годовой показатель ЧВ. То есть ваша «случайная» льготная операция может вообще потеряться в общем объеме налогооблагаемых поставок. Если объем льготной поставки ничтожен по сравнению с объемом всех поставок за год, то вы можете получить годовой показатель ЧВ, близкий к 100 %. В такой ситуации вы сможете восстановить весь или почти весь «входной» НДС, потерянный при первичном распределении.
Переходные операции
Достаточно часто отчетный период, в котором возникает право на НК, не совпадает с отчетным периодом, в котором фактически используются приобретенные товары/услуги. Тогда возникает вполне закономерный вопрос: нужно ли распределять «входной» НДС прошлых периодов, если приобретенные товары/услуги начинают частично использоваться в необлагаемых операциях? Самый простой пример: в ноябре впервые появилась льготная операция, а товары/услуги, которые в ней задействованы, были оплачены в октябре (весь «входной» НДС уже попал в НК). Как быть?
В такой ситуации все же придется распределить «входной» НДС. Дело в том, что п. 199.1 НКУ привязывает необходимость распределения НК к фактическому использованию товаров/услуг одновременно в налогооблагаемых и необлагаемых операциях. Период осуществления первого события здесь не суть важен.
По «старым» объектам распределение будет проходить по стр. 16.6 НДС-декларации.
Для товаров/услуг и НА, которые изначально «работали» исключительно в налогооблагаемых операциях, а затем их начали использовать по двойному назначению, нужно:
• признать «условную поставку» в соответствии с п. 198.5 НКУ. База налогообложения для товаров/услуг — стоимость приобретения, а для НА — остаточная стоимость;
• сформировать НК в соответствии с пп. 198.5 и 199.1 НКУ, использовав показатель ЧВ, который применяется в отчетном году.
Обратите внимание! Для НА, по которым НДС попал в НК посредством стр. 16.6 декларации (двойное использование началось позднее, чем они были введены в эксплуатацию), базой для перераспределения будет их остаточная стоимость на момент перевода (ч. 2 п. 198.5, п. 189.1 НКУ).
В п.п. 5 п. 4 разд. V Порядка № 966 уже нет указания на то, что бухгалтерская справка для отражения таких корректировок должна быть составлена на основании НН, соответствующих требованиям п. 198.6 НКУ (не старше 365 дней). Контролеры тоже согласились с тем, что в НК можно включить НН «старше» 365 дней на основании бухсправки. Об этом свидетельствует их разъяснение в подкатегории 101.16 ЗІР ГФСУ.
Конечно, это не касается случаев, когда НН не попала в НК из-за «прихоти» плательщика (не было изменения направления использования товаров/услуг или НА).
Прекратили льготную деятельность
Предприятие на протяжении нескольких лет осуществляло как налогооблагаемые, так и необлагаемые операции, а в 2014 году льготную деятельность прекратило. Как быть с НА, приобретенными для «двойного» использования? Нужно ли перераспределять НК, если показатель ЧВ2014 будет составлять 100 %?
Конечно, проводить годовое перераспределение по товарам/услугам и НА, которые были приобретены в 2014 году, не нужно, ведь перераспределять нечего.
А вот необоротные перераспределения, к сожалению, придется провести. Они хотя и добавят вам лишних хлопот, но принесут определенные «дивиденды».
Показатель ЧВ за 2014 год составляет 100 %, следовательно, весь «входной» НДС, уплаченный при приобретении НА, которые были введены в эксплуатацию в 2013 году, попадет в гр. 6 таблицы 3 приложения Д7. Вследствие этого часть НК, которая была потеряна по результатам годового пересчета в 2013 году, будет восстановлена (попадет в стр. 16.4 декларации).
Показатели ЧВ2013-2014 и ЧВ2012-2014 тоже возрастут. Следовательно, НК по НА, которые были введены в эксплуатацию в 2012 и 2011 годах, также будет частично восстановлен. Это справедливо, ведь «вклад» таких НА в налогооблагаемую деятельность увеличится. Однако тут есть одна проблема. НА, которые были введены в эксплуатацию в 2013 году, могли почти целый год частично использоваться в необлагаемых операциях. Однако по результатам перераспределения в 2014 году весь «входной» НДС по ним попадет в НК.
На наш взгляд, в ситуации, когда прекращена льготная деятельность, стоит все НА из «двойного» использования перевести в исключительно налогооблагаемые операции. Основание для этого — отказ плательщика от осуществления необлагаемой деятельности. А механизм нам уже известен — восстановление НК при изменении направления использования НА (ч. 2 п. 198.5 НКУ). При этом в НК попадет часть НДС, которая соответствует остаточной стоимости НА на момент такого перевода. Следовательно, часть «входного» НДС, соответствующая стоимости НА, которая была самортизирована при льготном использовании, не попадет в НК.
Если на конец 2014 года нет «двойных» НА, то и годовое перераспределение проводить не нужно.
Выводы
-
Если в 2014 году вы осуществляли необлагаемые операции (заполняли стр. 3 — 5 декларации), то подайте приложение Д7 вместе с декларацией за декабрь (IV квартал).
-
Общие данные о результатах перераспределения НК запишите в Реестр и перенесите в стр. 16.4 декларации по НДС.
-
Результат перераспределения НК по товарам, услугам и МНМА необходимо отразить в бухучете общей суммой. Если сумма НК уменьшается, то вырастут прочие расходы (субсч. 949). Если, наоборот, сумма НК увеличивается — вырастут прочие доходы (субсч. 719).
-
Сумму откорректированного НДС в отношении НА следует распределить между объектами, принимавшими участие в необоротном перераспределении.
-
Если сумма НК уменьшилась, то ее следует отнести на увеличение стоимости НА. Если, наоборот, сумма НК увеличилась — нужно уменьшить стоимость НА.
-
Пересчет НК в отношении НА повлияет только на сумму амортизации, которую вы будете начислять начиная с января 2015 года.
Документы и сокращения Темы недели
Порядок № 966 — Порядок заполнения и подачи налоговой отчетности по налогу на добавленную стоимость, утвержденный приказом МФУ от 23.09.14 г. № 966.
ОНК № 129 — Обобщающая налоговая консультация по отдельным вопросам применения ст. 199 Раздела V Налогового кодекса Украины, утвержденная приказом ГНСУ от 16.02.12 г. № 129.
«ВНСУ» — журнал «Вестник налоговой службы Украины».
НК — налоговый кредит.
НН — налоговая накладная.
НА — необоротные активы.
МНМА — малоценные необоротные материальные активы.
ЧВ — доля использования (укр. — «частка використання») товаров/услуг, необоротных активов в налогооблагаемых операциях.
Реестр — Реестр выданных и полученных налоговых накладных.
УР — Уточняющий расчет налоговых обязательств по налогу на добавленную стоимость в связи с исправлением самостоятельно выявленных ошибок.
ОС — основные средства.
