Как формируется план-график
Когда формируется график проверок. Проверочный план-график представляет собой таблицу, в которой перечислены налогоплательщики, которых органы ГФСУ планируют проверить на предмет соблюдения налогового, валютного и другого законодательства Украины, контроль за соблюдением которого возложен на такие контролирующие органы.
Составляется такой план-график в соответствии с требованиями ст. 77 НКУ на основании планов-графиков, сформированных территориальными органами ГФСУ. Для того, чтобы подготовить проект такого плана-графика, у местных налоговиков есть время до 1 декабря года, предшествующего году, в котором будут проводиться такие документальные плановые проверки.
Затем (до 25 декабря) его утверждает Председатель ГФСУ, после чего план-график публикуют на официальном веб-сайте ГФСУ.
Конечно, такой график не устанавливают раз и навсегда. Он может меняться. Для внесения изменений местные контролеры готовят проекты корректировки планов-графиков не позднее 3 числа каждого месяца текущего года, начиная с февраля. После утверждения такие документы передаются в департамент аудита.
Таким образом, составляющие плана-графика могут обновляться ежемесячно!
Структура плана-графика. План-график состоит из 4 разделов:
• разд. I — документальные плановые проверки налогоплательщиков-юрлиц. В свою очередь, он делится на подразделы А, Б и С. При этом подразделы А и Б включают в себя по две группы (основные предприятия и крупнейшие контрагенты);
• разд. II — документальные плановые проверки финансовых учреждений, постоянных представительств и представительств нерезидентов;
• разд. III — документальные плановые проверки налогоплательщиков-физлиц;
• разд. IV — документальные плановые проверки налогоплательщиков-юрлиц по вопросам правильности исчисления, полноты и своевременности уплаты НДФЛ, военного сбора и ЕСВ. Он делится еще на 3 группы (крупные, средние и малые налогоплательщики).
Теперь перейдем к самому интересному — как налоговики будут отбирать кандидатов в проверочный план-график.
Правила отбора юрлиц в план-график
Прежде всего, при отборе юрлиц в «черный список» налоговики должны ориентироваться на требования:
• п. 102.1 НКУ в части предельных сроков проведения проверки;
• п. 77.3 НКУ в части запрета проведения документальной плановой проверки по отдельным видам обязательств перед бюджетами.
Но! Основная роль в его формировании отводится критериям рисков, согласно которым налогоплательщиков поделят на:
• плательщиков высокой степени риска;
• плательщиков средней степени риска;
• плательщиков незначительной степени риска.
Такое разделение, прежде всего, влияет на периодичность проведения документальных плановых проверок (п. 77.2 НКУ). Так, налогоплательщики с незначительной степенью риска включаются в план-график не чаще чем 1 раз в 3 календарных года, средней — не чаще чем 1 раз в 2 календарных года, высокой — не чаще 1 раза в календарный год.
Критерии для попадания в каждую из перечисленных групп риска мы приведем ниже. Вот только Порядок № 524 не уточняет, скольким критериям в каждой из таких групп должен одновременно соответствовать налогоплательщик, чтобы попасть в проверочный план-график.
Пока конкретные условия отбора прописаны лишь для налогоплательщиков, которые относятся к кластерным объединениям* (подраздел А раздела I плана-графика).
* Понятие «кластерные объединения» означает группу субъектов хозяйствования — юрлиц с централизованным управлением производственной, финансовой и коммерческой деятельностью.
Такие налогоплательщики включаются в план-график проверок, если они соответствуют не менее чем 3 критериям высокой степени риска и объемы их доходов или объемы поставок (в расчете на год):
• равны или превышают 100 млн грн. — для ГУ ГФС в Днепропетровской, Киевской областях, г. Киеве;
• равны или превышают 50 млн грн. — для ГУ ГФС в Запорожской, Львовской, Николаевской, Харьковской областях;
• равны или превышают 10 млрд грн. — для Офиса крупных налогоплательщиков;
• равны или превышают 20 млн грн. — для других ГУ ГФС.
Для остальных налогоплательщиков есть лишь маленькое указание — в план-график включаются налогоплательщики, которые по результатам хозяйственной деятельности имеют наибольшие риски неуплаты в бюджет налогов и сборов, платежей.
Если исходить из сказанного, в план-график должны попадать налогоплательщики только с высокой степенью риска, которые соответствуют максимальному количеству рисковых критериев.
Но если учитывать еще и требования п. 77.2 НКУ о периодичности проверок, выходит, что в план-график будут отбирать самых злостных нарушителей из каждой рисковой группы.
Конечно, как это будет происходить на само деле, поживем — увидим.
И еще. При формировании плана-графика фискалы будут учитывать показатели по результатам деятельности налогоплательщика за 9 месяцев текущего года (напомним, проект графика формируется до 1 декабря).
Если отчетным периодом для налога на прибыль (ННП) налогоплательщика является календарный год, то при планировании учитываются показатели за предыдущий год.
Критерии отбора юрлиц в план-график
Из самых добросовестных налогоплательщиков, имеющих незначительную степень риска, будут отбирать для проверок тех, кто соответствует критериям, приведенныем на рис. 1.

Рис. 1. Критерии, характеризующие юрлиц с незначительной степенью риска
Для того, чтобы налогоплательщику лишний раз не «засветиться» в плане-графике, ему следует избегать, прежде всего, соответствия критериям, представленным на рис. 2.

Рис. 2. Критерии, характеризующие юрлиц с высокой степенью риска
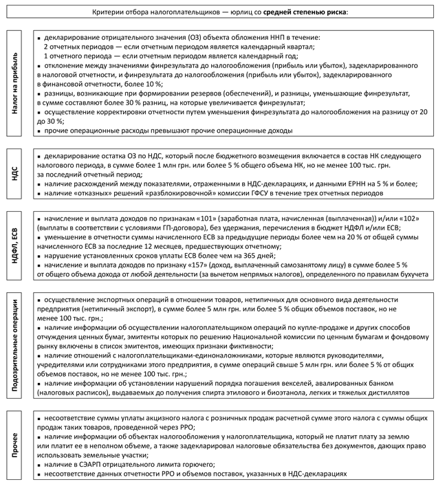
Налогоплательщикам, не попадающим под критерии плательщиков с высокой степенью риска следует остерегаться критериев, указанных на рис. 3.

Рис. 3. Критерии, характеризующие юрлиц со средней степенью риска
ВЭД-бонус
Для налогоплательщиков — участников ВЭД предусмотрен своеобразный бонус. Если выяснится, что они соответствуют критериям, представленным на рис. 4, их включат в план-график с целью проведения «двойной» проверки:

Рис. 4. Допкритерии попадания в план-график для юрлиц — участников ВЭД
• проверки по вопросам соблюдения налогового, валютного и другого законодательства Украины, контроль за соблюдением которого возложен на контролирующие органы;
• проверки по вопросам соблюдения требований законодательства по вопросам государственного таможенного дела.
План-график по вопросам государственного таможенного дела, в том числе своевременности, достоверности, полноты начисления и уплаты таможенных платежей, является составной частью годового плана-графика (раздел I подраздела С).
Он имеет свои особенности. Так, его формируют:
• в соответствии с требованиями ст. 346 Таможенного кодекса Украины от 13.03.12 г. № 4495-VI (далее — ТКУ);
• из квартальных планов-графиков, проекты которых местные контролеры готовят не позднее 20 числа последнего месяца каждого квартала.
Источником для принятия решения о включении налогоплательщика в план-график для проведения «двойной» проверки служат таможенные декларации (ТД) налогоплательщика.
Порядок отбора юрлиц с риском неуплаты налогов
Еще один интересный раздел плана-графика — раздел IV. Сюда отбираются налогоплательщики — юрлица, которые имеют риск неуплаты НДФЛ, военного сбора (ВС) и ЕСВ, по результатам анализа имеющихся рисков. Критерии, по которым проходит отбор, представим на рис. 5.

Рис. 5. Критерии попадания в план-график проверок по вопросам уплаты налогов и сборов
