Крок 1. Укладаємо договір з центром сервісного обслуговування
Перше, що треба зробити після придбання РРО, — укласти договір з центром сервісного обслуговування (далі — ЦСО). Без цього поставити РРО на облік установа не зможе.
Що таке ЦСО? Це суб’єкт господарювання, який за договором з постачальником надає послуги із уведення в експлуатацію, технічного обслуговування, гарантійного та післягарантійного ремонту РРО.
Він стане вашим другом і помічником на багато років, тому підійдіть до його вибору відповідально. Пам’ятайте: укладати договір слід тільки з тим ЦСО, який входить до переліку ЦСО, що уклали з виробником (постачальником) РРО договір про технічне обслуговування і ремонт відповідної моделі РРО. Такий перелік суб’єкт господарювання отримує від продавця під час придбання РРО.
Крок 2. Реєструємо РРО у ДФС
Здійснює реєстрацію орган ДФС за основним місцем обліку суб’єкта господарювання як платника податків.
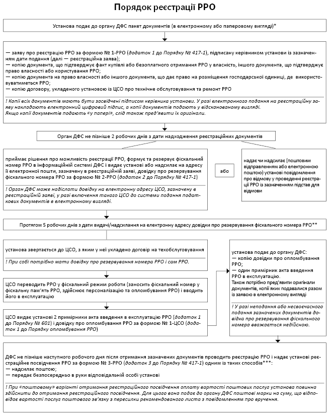
На цьому етапі бюджетна установа повинна подати до органу фіскальної служби документи, зазначені в п. 4 підрозд. 2 розд. ІІ Порядку № 417-1:
— заяву про реєстрацію РРО за формою № 1-РРО (додаток 1 до Порядку). Зазначимо, що раніше така заява заповнювалася в довільній формі. Відтепер же її слід подавати за чітко встановленою формою. У ній заповнюються усі розділи і вона підписується керівником суб’єкта господарювання із вказівкою дати подання;
— копію документа, що підтверджує факт купівлі або безкоштовного отримання РРО у власність, іншого документа, що підтверджує право власності або користування РРО;
— копію документа на право власності або іншого документа, що надає право на розміщення господарської одиниці, де використовуватиметься РРО;
— копію договору установи з ЦСО про технічне обслуговування і ремонт РРО.
Після подання необхідних документів фіскали видають довідку про резервування фіскального номера РРО.
Крок 3. Опломбовуємо і вводимо в експлуатацію РРО
Тепер перейдемо безпосередньо до порядку реєстрації РРО. А допоможе нам у цьому розібратися рисунок на с. 13.
На рисунку ви бачите, що введення в експлуатацію РРО здійснює ЦСО, з яким суб’єкт господарювання уклав договір про сервісне обслуговування.
Під уведенням в експлуатацію розуміють роботи з технічного обслуговування РРО, пов’язані з його підготовкою до експлуатації (вхідний контроль, регулювання, усунення виявлених несправностей), згідно з експлуатаційними документами виробника або постачальника, а також уведення обов’язкових реквізитів чека, фіскального номера користувача, персоналізацію РРО і переведення РРО у фіскальний режим роботи.
Усі ці заходи ЦСО повинен провести за 3 дні з дати, коли користувач його проінформував про отримання довідки щодо резервування фіскального номера РРО. Такий строк вказано в п. 6 Порядку опломбування РРО.
Важливо! У зв’язку з тим що довідка про резервування фіскального номера РРО дійсна всього 5 робочих днів, не затягуйте із зверненням до ЦСО. Інакше доведеться починати процедуру реєстрації наново — з повторного подання документів до органу ДФС.Детальніше зупинимося на тому, як і навіщо здійснюють переведення РРО у фіскальний режим роботи (фіскалізація).
Переведення РРО у фіскальний режим роботи потрібне для безумовного виконання ним фіскальних функцій. Це означає, що РРО повинен забезпечувати одноразове внесення, довгострокове зберігання у фіскальній пам’яті, багаторазове прочитування і неможливість зміни підсумкової інформації про обсяги розрахункових операцій.
Фіскалізація здійснюється один раз за весь період експлуатації РРО суб’єктом господарювання.
При цьому РРО повинен забезпечити неможливість подальшого виходу з фіскального режиму роботи.
ЦСО вносить виданий ДФС фіскальний номер у фіскальну пам’ять РРО. Фіскальний номер РРО вказується на усіх розрахункових документах, чеках усіх звітів, а також в інших випадках, передбачених законом.
Також ЦСО здійснює персоналізацію РРО. Вона потрібна для однозначного визначення РРО в системі обліку даних ДФС за допомогою системи унікальних номерів:
— фіскального номера РРО;
— ідентифікаційного номера РРО;
— заводського номера РРО;
— ідентифікаційного номера модуля безпеки SAM.
Щоб уникнути несанкціонованого доступу до складових частин РРО, ЦСО здійснює його опломбування. Для цього на зовнішньому кожусі або кожухах окремих блоків у місцях стику корпусу РРО (кожуха блоку) з верхньою кришкою на її протилежних сторонах установлюють засоби контролю. Роблять це так, щоб був неможливий доступ до внутрішніх вузлів, крім чекової, контрольної і фарбувальної стрічок, без зняття або ушкодження пломб. Крім того, у РРО блокової конструкції засоби контролю встановлюють також на місця підключення сполучних кабелів зв’язку окремих блоків, кожен з яких має свій кожух.
Після проведення усіх вказаних робіт ЦСО видає установі довідку про опломбування і 2 екземпляри акта введення в експлуатацію РРО.
Крок 4. Отримуємо реєстраційне посвідчення РРО
Щоб завершити процедуру реєстрації РРО, установа до закінчення строку дії довідки про резервування фіскального номера подає до органу ДФС копію довідки про опломбування РРО (один з екземплярів, отриманих у ЦСО) і акт уведення в експлуатацію РРО.
Крім цих документів, установа, що використовує електронний спосіб подання звітності, повинна пред’явити фіскалам оригінали документів, скановані копії яких подавалися до органу ДФС разом із заявою на реєстрацію.
У разі відсутності зауважень у фіскалів з приводу змісту поданих на реєстрацію документів і дотримання строків реєстрації посадовець органу ДФС не пізніше наступного робочого дня після надходження усіх документів проводить реєстрацію РРО і видає установі реєстраційне посвідчення РРО.

* Подати документи до ДФС може відповідальна особа установи за наявності документа, що засвідчує особу такого представника, і належним чином оформленої довіреності на проведення реєстрації РРО.
** Строк дії зазначеної довідки.
*** Спосіб отримання реєстраційного посвідчення установа зазначає в реєстраційній заяві.
