БЮДЖЕТНЕ ВІДШКОДУВАННЯ ПДВ
за правилами Податкового кодексу
Отримати таке бажане і практично недосяжне бюджетне відшкодування ПДВ до снаги не кожному платнику податків, особливо автоматично. У цій статті висвітлимо критерії, яким потрібно відповідати, щоб мати право на це благо. Також розповімо, які етапи потрібно пройти тому, хто претендує на бюджетне відшкодування.
Яна ІНДЮХОВА, економіст-аналітик Видавничого будинку «Фактор»
Загальні положення
Механізм відшкодування
. У ПКУ механізм відшкодування сум ПДВ з держбюджету описано у ст. 200.Згідно з
п. 200.1 ПКУ сума податку, що підлягає сплаті (перерахуванню) до держбюджету чи бюджетному відшкодуванню, визначається як різниця між сумою ПЗ звітного (податкового) періоду та сумою ПК такого звітного (податкового) періоду.Однак задекларований у цьому
пункті механізм визначення суми бюджетного відшкодування (за підсумками одного звітного періоду) насправді застосовується лише підприємствами суднобудування та літакобудування (п. 14 підрозд. 2 розд. ХХ ПКУ).В інших платників ПДВ від’ємне значення має зберегтися протягом двох послідовних звітних періодів. На рис. 1 подано загальний алгоритм бюджетного відшкодування згідно з нормами
ПКУ.

Як видно з наведеної схеми, у загальному випадку від’ємне значення, що виникло у звітному періоді, переноситься на наступний звітний період, і лише в тому випадку, коли за підсумками такого наступного звітного періоду ПЗ, як і раніше, менше ПК, платник має право на бюджетне відшкодування суми ПДВ, сплаченої постачальникам або до бюджету.
Сума, що підлягає бюджетному відшкодуванню, відображається в ряд. 23 декларації з ПДВ. Якщо платник податків хоче суму відшкодування (її частину) отримати на рахунок у банку, то він указує заявлену суму в ряд. 23.1 декларації. Якщо ж платник податків прийняв рішення врахувати суму, що підлягає відшкодуванню, або частину такої суми у зменшення ПЗ наступних звітних періодів, — то в ряд. 23.2 декларації.
Зверніть увагу! У
Законі про ПДВ було передбачено, що платник може отримати суму бюджетного відшкодування (повністю) або на поточний рахунок, або зарахувати в рахунок майбутніх платежів, а ПКУ дає можливість розподілити таку суму на власний розсуд між такими способами отримання відшкодування.У ряд. 24 декларації відображається залишок від’ємного значення, який після бюджетного відшкодування включається до складу ПК наступного податкового періоду. Значення цього рядка переноситься до ряд. 21.2 декларації наступного звітного періоду.
«Невідшкодуванці».
Згідно з п. 200.5 ПКУ не мають права на отримання бюджетного відшкодування особи, які:— були зареєстровані як платники ПДВ менше 12 календарних місяців до місяця, за результатами якого подається заява на бюджетне відшкодування (крім нарахування ПК у результаті придбання або спорудження (будівництва) основних фондів);
— мали обсяги оподатковуваних операцій за останні 12 календарних місяців менші, ніж заявлена сума бюджетного відшкодування (крім нарахування ПК у результаті придбання або спорудження (будівництва) основних фондів).
Слід зауважити, що тепер на отримання бюджетного відшкодування може претендувати ширше коло осіб. Застарілий
п.п. 7.7.11 Закону про ПДВ не давав права на бюджетне відшкодування, крім зазначених вище осіб, ще й тим, хто не здійснював діяльність протягом останніх 12 календарних місяців, а також єдиноподатникам і звільненим від сплати ПДВ.
Порядок відшкодування ПДВ
Платник податків, у якого за результатами наступного звітного періоду, як і раніше, спостерігається перевищення ПК над ПЗ та який має право на отримання бюджетного відшкодування, може вибрати один із двох варіантів розвитку подій:
1)
повернення суми відшкодування з бюджету на поточний рахунок;2)
зарахування в рахунок зменшення ПЗ майбутніх періодів.При цьому потрібно пройти етапи, відображені на рис. 2 (див. с. 24).

Джерелом сплати бюджетного відшкодування (у тому числі заборгованості бюджету) є доходи держбюджету. Забороняється обумовлювати чи обмежувати виплату бюджетного відшкодування наявністю або відсутністю доходів, отриманих від цього податку в окремих регіонах України (
п. 200.17 ПКУ).Згідно з
п. 200.16 ПКУ, якщо платник податків експортує за межі митної території України товари (супутні послуги), отримані від іншого платника податку на умовах комісії, консигнації, доручення або інших видів договорів, що не передбачають переходу права власності на такі товари (супутні послуги) від такого іншого платника податків до експортера, право на отримання бюджетного відшкодування має такий інший платник податку. При цьому комісійна винагорода, отримана платником-експортером від такого іншого платника податку, уключається до бази оподаткування за ставкою 20 % і не включається до митної вартості товарів, що експортуються.
Автоматичне бюджетне відшкодування
Згідно з
п. 200.18 ПКУ платники податків, які мають право на бюджетне відшкодування, подали відповідну заяву та відповідають критеріям, визначеним п. 200.19 ПКУ, мають право на автоматичне бюджетне відшкодування податку.Розглянемо критерії, яких необхідно одночасно (!) дотриматись платнику податків, щоб мати право на одержання автоматичного бюджетного відшкодування ПДВ. Ці 7 критеріїв, визначені в
п. 200.19 ПКУ, перелічимо в таблиці на с. 25.
Критерії для отримання права на автоматичне бюджетне відшкодування ПДВ
| Критерії | На підставі чого визначатимуть відповідність критерію |
| 1 | 2 |
| 1. Не перебувають у судових процедурах банкрутства відповідно до Закону про банкрутство (п.п. 200.19.1 ПКУ, п. 3.1 Порядку № 42) | Відомостей Єдиного державного реєстру юридичних осіб та фізичних осіб — підприємців та відомостей, унесених до Єдиного банку даних про платників — юридичних осіб, сформованого на підставі судових рішень та оголошень про банкрутство |
| 2. Юридичних осіб та фізичних осіб — підприємців уключено до Єдиного державного реєстру юридичних осіб та фізичних осіб — підприємців і до цього Реєстру щодо них не внесено записи про: | Відомостей Єдиного державного реєстру юридичних осіб та фізичних осіб — підприємців відповідно до Закону № 755 |
| 3. Здійснюють операції, до яких застосовується нульова ставка (питома вага яких протягом попередніх 12 послідовних звітних податкових періодів (місяців) сукупно становить не менше 50 % загального обсягу поставок (для платників податків за квартальним звітним періодом — протягом попередніх чотирьох послідовних звітних періодів)) (п.п. 200.19.3 ПКУ, п. 3.3 Порядку № 42) | Даних податкових декларацій платника ПДВ (як декларації з ПДВ, за якою здійснюються розрахунки з бюджетом, так і декларації з ПДВ підприємств, що застосовують спеціальні режими оподаткування) за попередні 12 послідовних звітних податкових періодів (місяців)/попередні 4 послідовні звітні податкові періоди (квартали) та уточнюючих розрахунків з ПДВ (як до декларації з ПДВ, за якою здійснюються розрахунки з бюджетом, так і до декларації з ПДВ підприємств, що застосовують спеціальні режими оподаткування) у зв'язку із самостійним виправленням помилок наступних звітних періодів. |
| 4. Загальна сума розбіжностей між ПК, сформованим платником податків щодо придбаних товарів/послуг та ПЗ його контрагентів у частині поставки таких товарів/послуг, за даними податкових накладних, не перевищує 10 % заявленої платником податків суми бюджетного відшкодування (п.п. 200.19.4 ПКУ, п. 3.4 Порядку № 42) | Даних, відображених платником податку в додатках до податкової декларації з ПДВ звітного періоду: Розшифровці ПЗ та ПК у розрізі контрагентів, Розрахунку коригування сум ПДВ до декларації з ПДВ |
| 5. У яких середня заробітна плата не менше ніж у 2,5 раза перевищує мінімальний установлений законодавством рівень у кожному з останніх чотирьох звітних податкових періодів (кварталів), передбачених розд. IV ПКУ (п.п. 200.19.5 ПКУ, п. 3.5 Порядку № 42) | Даних ф. № 1ДФ окремо за кожен з останніх чотирьох послідовних звітних податкових періодів (кварталів), щодо яких минув граничний строк подання податкової звітності |
| 6. Відповідають одному з таких критеріїв (п.п. 200.19.6 ПКУ, п. 3.6 Порядку № 42): | |
| а) або чисельність працівників, які перебувають у трудових відносинах з такими платниками податків, перевищує 20 осіб у кожному з останніх чотирьох звітних податкових періодів (кварталів), установлених розділом IV ПКУ; | Відомостей ф. № 1ДФ щодо кількості працівників, які отримували доходи у вигляді заробітної плати (за винятком осіб, яких було прийнято/звільнено у звітному періоді (кварталі)), окремо щодо кожного з останніх чотирьох послідовних звітних податкових періодів (кварталів), стосовно яких минув граничний строк подання податкової звітності |
| б) або має основні фонди для ведення задекларованої діяльності, залишкова балансова вартість яких на звітну дату за даними податкового обліку перевищує суму податку, заявлену до відшкодування за попередні 12 календарних місяців; | Даних податкової звітності з податку на прибуток підприємства за останній звітний податковий період, щодо якого минув граничний строк подання, а саме: сукупна балансова вартість основних фондів (починаючи зі звітності за II квартал 2011 року — основних засобів) на початок розрахункового періоду. |
| в) або рівень визначення ПЗ з податку на прибуток до сплати до бюджету (відношення сплаченого податку до обсягів отриманих доходів) вище середнього по галузі в кожному з останніх чотирьох звітних податкових періодів (кварталів), установлених | Даних податкової звітності з податку на прибуток підприємства; розрахунок провадиться окремо щодо кожного з останніх чотирьох послідовних звітних податкових періодів (кварталів), стосовно яких минув граничний строк подання податкової звітності |
| 7. Не мають податкового боргу | Зведених показників загальної суми податкового боргу платників податків до бюджетів усіх рівнів (з урахуванням суми боргу з основного платежу, пені, зі штрафних (фінансових) санкцій) на перше число місяця, другого за звітним періодом |
Як ви, напевно, устигли помітити, не кожному платнику до снаги виконати всі вимоги, причому одночасно. Наприклад, третього критерію зможуть дотриматись платники податків, які займаються експортом товарів, міжнародними перевезеннями. Також не буде важко виконати цю вимогу підприємствам та організаціям інвалідів, які до 01.01.15 р. мають право застосовувати ставку 0 % на власну продукцію (
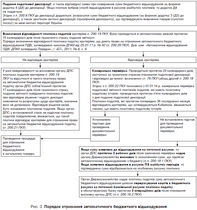
п. 8 підрозд. 2 розд. ХХ ПКУ). Останнім буде досить-таки непросто. Четвертий критерій ставить платника податків, який претендує на автоматичне бюджетне відшкодування, у залежність від своїх контрагентів, що не зовсім справедливо.На рис. 3 на с. 27 проілюстровано порядок отримання автоматичного бюджетного відшкодування.

Як бачимо, автоматичне відшкодування ПДВ відбувається в коротші строки. Камеральна перевірка проводиться протягом 20 календарних днів (замість 30 календарних днів для платників податків, які не претендують на автоматичне бюджетне відшкодування).
Суми податку, не відшкодовані платникам податків протягом установлених строків, вважаються заборгованістю бюджету щодо відшкодування ПДВ. На суму такої заборгованості нараховується пеня на рівні 120 % облікової ставки НБУ, установленої на момент виникнення пені, протягом строку її дії, уключаючи день погашення (
п. 200.23 ПКУ).На практиці, як і раніше, така пеня нараховується податківцями не за порушення загальних строків, установлених для всіх процедур, пов'язаних з відшкодуванням (проведення камеральної та документальних перевірок, складання висновку органу ДПС і власне відшкодування органом Держказначейства), а лише за порушення Держказначейством строку, установленого для відшкодування суми, підтвердженої висновком органу ДПС.
Основна маса невідшкодованих сум «застрягає» на етапі підтвердження документальною перевіркою (такі суми враховуються як непідтверджені), тому формально
п. 200.23 ПКУ на них не поширюється. А прямої фінансової відповідальності за порушення строків проведення перевірок не передбачено.Кількість підприємств, що отримали автоматичне бюджетне відшкодування ПДВ, поки що дуже незначна. За словами голови ДПС Віталія Захарченка, за результатами квітня їх лише 82 (
http://www.sta.gov.ua/control/uk/publish/article?art_id=323953&cat_id=90622). Це не дивно, адже задовольняти всі критерії для отримання права на автоматичне бюджетне відшкодування до снаги не кожному платнику податків.На цьому закінчуємо нашу статтю, і, якщо ви претендуєте на бюджетне відшкодування ПДВ, бажаємо вам отримувати його автоматично.
Документи і скорочення статті
ПКУ
— Податковий кодекс України від 02.12.10 р. № 2755-VI.Закон про ПДВ
— Закон України «Про податок на додану вартість» від 03.04.97 р. № 168/97-ВР; втратив чинність з 01.01.11 р.Закон про банкрутство
— Закон України «Про відновлення платоспроможності боржника або визнання його банкрутом» від 14.05.92 р. № 2343-XII.Закон № 755
— Закон України «Про державну реєстрацію юридичних осіб та фізичних осіб — підприємців» від 15.05.03 р. № 755-IV.Перелік № 1238
— Перелік достатніх підстав, які надають податковим органам право на проведення документальної позапланової виїзної перевірки платника податку на додану вартість для визначення достовірності нарахування бюджетного відшкодування такого податку, додаток до постанови КМУ від 27.12.10 р. № 1238.Порядок № 41
— Порядок заповнення та подання податкової звітності з податку на додану вартість, затверджений наказом ДПАУ від 25.01.11 р. № 41.Порядок № 42
— Порядок визначення відповідності платника податку критеріям, що дають право на отримання автоматичного бюджетного відшкодування податку на додану вартість, затверджений наказом ДПАУ від 25.01.11 р. № 42.Порядок № 985
— Порядок направлення органами державної податкової служби податкових повідомлень-рішень платникам податків, затверджений наказом ДПАУ від 22.12.10 р. № 985.Методрекомендації № 350
— Методичні рекомендації щодо взаємодії між підрозділами органів державної податкової служби України при організації та проведенні перевірок достовірності нарахування бюджетного відшкодування податку на додану вартість, затверджені наказом ДПАУ від 18.08.05 р. № 350 (у редакції від 20.10.09 р. № 568).ЄБПЗ
— Єдина база податкових знань, розміщена на сайті ДПАУ: www.sta.gov.ua.«ВПСУ»
— журнал «Вісник податкової служби України».Ф. № 1ДФ
— Податковий розрахунок сум доходу, нарахованого (сплаченого) на користь платників податку, і сум утриманого з них податку, форму затверджено наказом ДПАУ від 24.12.10 р. № 1020.ДПС
— державна податкова служба.ПДВ
— податок на додану вартість.ПЗ
— податкові зобов'язання.ПК
— податковий кредит.
