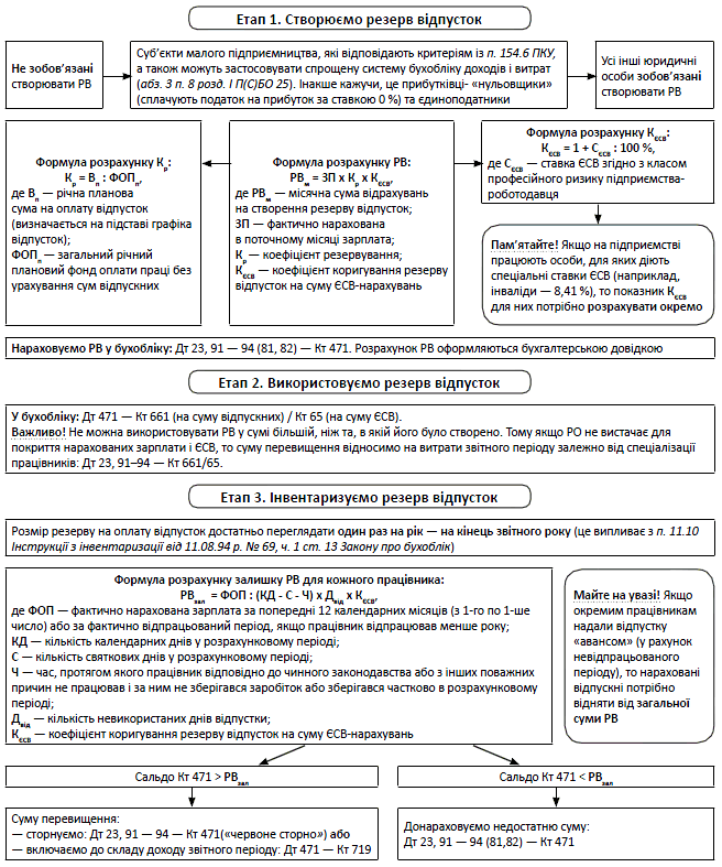
Літо — час відпусток**. А для бухгалтера — ще й час використовувати нарахований резерв відпусток (далі — РВ). На більшості підприємств РВ створюється обов’язково (лист Мінфіну від 09.06.06 р. № 31-34000-20-25/12321). Звільнення є тільки в єдиноподатників та прибутківців-нульовиків. Докладніше про те, як сформувати, використовувати і перевірити РВ, ви дізнаєтеся зі схеми на с. 9.
** Про всі потрібні «відпускні» моменти ви дізнаєтеся з «БТ», 2014, № 21, с. 17.
А тепер актуальне запитання: чи загрожує відповідальність за нестворення резерву відпусток? Найбільшою популярністю користується штрафна норма ст. 1642 КпАП: за ведення бухобліку з порушенням встановленого порядку та внесення неправдивих даних до фінансової звітності загрожує адмінштраф від 8 до 15 НМДГ (136 — 255 грн.), а за повторне порушення протягом року — від 10 до 20 НМДГ (170 — 340 грн.). Але застосовувати цей штраф можуть лише представники Держфінінспекції (ст. 2341 КпАП), які контролюють використання державних коштів. Отже, зазначений штраф загрожує тільки посадовим особам підприємств, що використовують держмайно чи бюджетні кошти.
Мінфін у листі, що коментується, відкараскався від контролю за дотриманням законодавства про бухоблік та фінансову звітність.
Обережно! Є ще одна штрафна норма. Вона якраз «кружляє навколо» недержавних підприємств. Так, серед одержувачів фінансової звітності є й органи держстатистики, які можуть оштрафувати згідно зі ст. 1863 КпАП за надання недостовірних даних (у складі фінансової звітності), незабезпечення належного стану первинного обліку в розмірі від 10 до 15 НМДГ (170 — 255 грн.), а за повторне порушення — від 15 до 25 НМДГ (255 — 425 грн.). Але такий штраф, зауважимо, у нашому випадку теж украй малоймовірний.
РЕЗЕРВ ВІДПУСТОК:
СТВОРЮЄМО, ВИКОРИСТОВУЄМО, ІНВЕНТАРИЗУЄМО
