Ох уже ця спрощена система… Популярність її в народі з минулого століття не спадає — незважаючи навіть на значні зміни правил гри, що відбулися відтоді, у фіскальний бік. А для когось у наші важкі часи вона є навіть чимось на зразок панацеї…
Водночас часто трапляються й «обломи» — особливо коли співгромадяни, не прорахувавши і не зваживши все як слід, поспішають на спрощенку, а потім пожинають фіскальні плоди своїх поспішних дій.
Ми зі свого боку хочемо посприяти, щоб в податковому плані все у вас було ОК і рішення про обрання певної групи спрощенки (чи про перехід до іншої її групи) приймалися вами більш виважено.
І почнемо ми з обмежень застосування спрощенки.
1.1. Кому закритий шлях до єдиноподатників
Систематизований перелік юридичних і фізичних осіб, які не можуть бути платниками ЄП, наведемо в табл. 1.1.
Таблиця 1.1. Кому заборонено бути платником ЄП?
| Не можуть бути єдиноподатниками | |
| будь-якої з груп: | окремих груп: |
| 1. Юридичні особи та ФОП, які провадять (п.п. 291.5.1 ПКУ [1]): 1) діяльність з організації, проведення азартних ігор, лотерей (крім розповсюдження лотерей), парі (букмекерське парі, парі тоталізатора); 2) обмін іноземної валюти; 3) виробництво, експорт, імпорт, продаж підакцизних товарів (ними є спирт етиловий та інші спиртові дистиляти, алкогольні напої, пиво; тютюнові вироби, тютюн і промислові замінники тютюну; паливо; електроенергія; автомобілі легкові, кузови до них, причепи та напівпричепи, мотоцикли — детальніше див. ст. 215 ПКУ [1]), крім: — роздрібного продажу паливно-мастильних матеріалів у ємностях до 20 літрів; — діяльності фізичних осіб, пов’язаної з роздрібним продажем пива і столових вин; 4) видобуток, виробництво, реалізацію дорогоцінних металів і дорогоцінного каміння, у тому числі органогенного утворення (крім виробництва, постачання, продажу (реалізації) ювелірних і побутових виробів з дорогоцінних металів, дорогоцінного каміння, дорогоцінного каміння органогенного утворення та напівдорогоцінного каміння — цими видами діяльності можна займатися у групі 3 (ЄП 5 %)); 5) видобуток, реалізацію корисних копалин, крім реалізації корисних копалин місцевого значення (під забороною, серед іншого, видобуток підземної води). До відома: переліки корисних копалин загальнодержавного та місцевого значення затверджені постановою КМУ від 12.12.94 р. № 827; 6) діяльність у сфері фінансового посередництва, крім діяльності у сфері страхування, яка провадиться страховими агентами, визначеними Законом України «Про страхування» від 07.03.96 р. № 85/96-ВР, сюрвейєрами, аварійними комісарами і аджастерами, визначеними розд. ІІІ ПКУ [1]; 7) діяльність з управління підприємствами; 8) діяльність з надання послуг пошти (крім кур’єрської діяльності) і зв’язку (крім діяльності, що не підлягає ліцензуванню); 9) діяльність з продажу предметів мистецтва та антикваріату, діяльність з організації торгів (аукціонів) виробами мистецтва, предметами колекціонування або антикваріату; 10) діяльність з організації, проведення гастрольних заходів. 2. Суб’єкти господарювання, зазначені у п.п. 291.5.4 ПКУ [1], а саме: 1) страхові (перестрахові) брокери; 2) банки; 3) кредитні спілки; 4) ломбарди; 5) лізингові компанії; 6) довірчі товариства; 7) страхові компанії; 8) установи накопичувального пенсійного забезпечення; 9) інвестиційні фонди та компанії; 10) інші фінансові установи, визначені законом; 11) реєстратори цінних паперів. 3. Фізичні та юридичні особи — нерезиденти (п.п. 291.5.7 ПКУ [1]). 4. Суб’єкти господарювання, які на день подання Заяви про перехід на ЄП мають податковий борг, крім безнадійного податкового боргу, що виник у результаті дії обставин непереборної сили (форс-мажорних обставин) (п.п. 291.5.8 ПКУ [1]) | ГРУПИ 1 — 3 (ФОП) 1. ФОП, які здійснюють (п.п. 291.5.2 ПКУ [1]): — технічні випробування та дослідження (група 71.20 КВЕД-2010 [4]); — діяльність у сфері аудиту. 2. ФОП, які надають в оренду (п.п. 291.5.3 ПКУ [1]): — земельні ділянки, загальна площа яких перевищує 0,2 гектара; — житлові приміщення та/або їх частини, загальна площа яких перевищує 100 кв. м; — нежитлові приміщення (споруди, будівля) та/або їх частини, загальна площа яких перевищує 300 кв. м |
| ГРУПА 1 (ФОП) ФОП, які (п.п. 1 п. 291.4 ПКУ [1]): 1) планують провадити заборонені для них види діяльності: — оптову торгівлю; — торгівлю не на ринку з торговельних місць; — надання побутових послуг суб’єктам господарювання; 2) на дату переходу мають найманих працівників або планують їх наймати | |
| ГРУПА 2 (ФОП) ФОП, які: 1) надають посередницькі послуги з купівлі, продажу, оренди та оцінки нерухомого майна (група 68.31 КВЕД-2010 [4]). Ці види діяльності ФОП мають право провадити тільки у групі 3 ЄП, якщо відповідають вимогам, установленим для цієї групи (п.п. 2 п. 291.4 ПКУ [1]). Увага! Саме собою надання в оренду майна у групі 2 не є забороненим. Але робити це можна тільки єдиноподатникам і населенню; 2) планують надавати послуги будь-кому, крім єдиноподатників або населення. На продаж товарів ця заборона не поширюється! Продавати можуть і юрособам, і ФОП-загальносистемникам; 3) провадять діяльність з виробництва, постачання, продажу (реалізації) ювелірних і побутових виробів з дорогоцінних металів, дорогоцінного каміння, дорогоцінного каміння органогенного утворення та напівдорогоцінного каміння. Займатися цими видами діяльності можна тільки у групі 3 ЄП за ставкою 5 % (тобто без сплати ПДВ) | |
| ГРУПА 3 (юрособи) 1. Суб’єкти господарювання, у статутному капіталі яких сукупність часток, що належать юридичним особам, які не є платниками ЄП, дорівнює або перевищує 25 % (п.п. 291.5.5 ПКУ [1]). 2. Представництва, філії, відділення та інші відокремлені підрозділи юридичної особи, що не є платником ЄП (п.п. 291.5.6 ПКУ [1]) | |
Слід зазначити, що можливість працювати на спрощеній системі оподаткування залежить не лише від наявності/відсутності обмежень за видами діяльності, що провадиться, необхідно дотримуватися й інших критеріїв:
— чисельність працівників — цей показник є актуальним для груп 1 і 2 ЄП. Перевіряють його дотримання на момент переходу на ЄП;
— обсяг отримуваного доходу протягом календарного року — цей показник є важливим для всіх груп єдиноподатників (крім групи 4). Загальносистемники, які переходять на ЄП, перевіряють його дотримання за календарний рік, що передує року переходу на ЄП. Наприклад, якщо ви переходите на спрощенку з 01.07.2016 р., то потрібно перевірити, який обсяг доходу ви мали у 2015 році (з 01.01.2015 р. по 31.12.2015 р. включно). І якщо розмір доходу виявиться більше, ніж встановлено для певної групи ЄП, то потрібно або обрати більш «старшу» групу, або відмовитися від ідеї працювати на спрощенці та продовжувати працювати в лавах загальносистемників.
Детальніше про критерії, установлені для кожної з груп ЄП, розповімо в наступному підрозділі.
1.2. Обираємо групу єдиного податку (дотримуємося критеріїв перебування на ЄП)
Нормами п. 291.4 ПКУ [1] передбачений поділ єдиноподатників на чотири групи:
— групи 1 і 2 — для ФОП;
— група 3 — для ФОП і юридичних осіб;
— група 4 — для сільгосптоваровиробників (на ній ми надалі не зупинятимемося).
У п. 291.4 ПКУ [1] єдиноподатників поділено на групи за ознакою:
1) обсягу отримуваного доходу;
2) кількості найманих працівників;
3) видів діяльності, що провадяться.
Критерії поділу на групи та порядок їх контролю наведемо в табл. 1.2 і 1.3.
Таблиця 1.2. Групи єдиноподатників і критерії при виборі групи
| Критерій | Групи платників ЄП | |||
| ФОП | юридичні особи | |||
| група 1 | група 2 | група 3 | група 3 | |
| Обсяг доходу протягом календарного року не перевищує | 300 тис. грн. | 1,5 млн грн. | 5 млн грн. | |
| Контроль критерію. Цей обсяг не повинен перевищувати: — при переході на спрощенку — обсягу за календарний рік, що передує року переходу (при переході на ЄП з 20Х1 року — за 20Х0 рік); — при роботі на спрощенці — обсягу за кожний календарний рік роботи у групі (з дати початку роботи на спрощенці в календарному році) | ||||
| Чисельність працівників | Не використовують працю найманих осіб(1, 2) | Не використовують працю найманих осіб або кількість осіб, які перебувають з ФОП у трудових відносинах, одночасно не перевищує 10 осіб(2) | Не обмежується | |
| Контроль критерію. Показник є контрольованим: — при переході на спрощенку — на дату переходу на спрощенку не має бути більше найманих працівників, ніж дозволено для групи; — при роботі на спрощенці — на кожну календарну дату роботи у групі | — | — | ||
| Дозволені види діяльності | Виключно роздрібний продаж товарів з торговельних місць на ринках та/або господарська діяльність з надання побутових послуг населенню(3) | Діяльність з надання послуг, у тому числі побутових(3), платникам ЄП та/або населенню, виробництво та/або продаж товарів, діяльність у сфері ресторанного господарства(4,5) | Усе, крім заборонених для всієї спрощенки (названі в п. 291.5 ПКУ[1], див. табл. 1.1 на с. 4) | |
| Контроль критерію. Має дотримуватися в період роботи на спрощеній системі | ||||
| (1) На нашу думку, ФОП групи 1 може залучати сторонніх фізосіб до виконання ними робіт (надання послуг) за договорами цивільно-правового характеру (як підприємців, так і звичайних фізосіб, які не є ФОП). Щоправда, податківці після введення ПКУ [1] активно борються з «фіктивними» трудовими відносинами, завуальованими під роботи (послуги). Тому, щоб не впасти до них у немилість, договори зі звичайними фізособами на виконання робіт або надання послуг краще укладати, тільки якщо характер цих робіт (послуг) не схожий з трудовими функціями. Наприклад, для ринкових торговців буде підозрілим, якщо фізособа за цивільно-правовим договором надаватиме послуги з пошуку клієнтів і продажу товарів. (2) Не враховуються наймані працівники, які перебувають у відпустці у зв’язку з вагітністю та пологами, а також у відпустці для догляду за дитиною до досягнення нею 3 або 6 років (п.п. 291.4.1 ПКУ [1]). (3) Перелік побутових послуг населенню, які можуть надавати єдиноподатники груп 1 і 2, наведений у п. 291.7 ПКУ [1]. (4) ФОП, які провадять діяльність з виробництва, постачання, продажу (реалізації) ювелірних і побутових виробів з дорогоцінних металів, дорогоцінного каміння, дорогоцінного каміння органогенного утворення та напівдорогоцінного каміння, можуть бути платниками ЄП тільки групи 3, застосовуючи безПДВшну ставку ЄП 5 % (пп. 291.4 і 293.3 ПКУ [1]). (5) Види діяльності, які ФОП групи 2 провадить на користь «заборонених» покупців, вважаються для них здійсненням заборонених видів діяльності. У групі 2 не можуть працювати ФОП, які надають посередницькі послуги з купівлі, продажу, оренди та оцінки нерухомого майна. | ||||
Таблиця 1.3. Вимоги щодо видів діяльності для груп 1 — 3 (пояснення)
| Яка умова має бути виконана | Пояснення |
| Група 1 | |
| Торгівля має бути роздрібною | Визначення роздрібної торгівлі беремо з п. 4.4 ДСТУ 4303:2004 «Роздрібна і оптова торгівля. Терміни і визначення понять»: роздрібна торгівля — вид економічної діяльності у сфері товарообороту, що охоплює купівлю-продаж товарів кінцевому споживачеві та надання йому торговельних послуг |
| Тобто дозволеною роздрібною торгівлею для фізосіб групи 1 буде продаж товарів безпосередньо громадянам та іншим кінцевим споживачам для їх особистого некомерційного використання. А якщо товар реалізується іншому суб’єкту господарювання (ФОП, юрособі), то тут торгівля вже набуватиме ознак оптової, яка для групи 1 є забороненою. Водночас, враховуючи публічний характер договору роздрібної торгівлі, ЦКУ [5] не вимагає відстежувати, як саме буде використаний товар. Тому можемо стверджувати, що підприємець не повинен відстежувати надалі некомерційний характер використання проданого ним товару | |
| Побутові послуги надаються тільки населенню | Це прямо випливає з п.п. 1 п. 291.4 ПКУ [1]. Тому їх не можна надавати іншим ФОП та юрособам. Перелік побутових послуг для цілей спрощеної системи оподаткування наведений у п. 291.7 ПКУ [1] |
| Група 2 | |
| Послуги надавати тільки платникам ЄП та/або населенню | Це правило поширюється й на надання побутових послуг. До «послугових», у розумінні ПКУ [1], слід відносити не лише договори на надання послуг, а й договори на виконання робіт, а також договори оренди. Надавати в оренду нерухоме майно ФОП групи 2 може з урахуванням обмеження за площею, установленого п.п. 291.5.3 ПКУ [1]. У разі надання послуг, вибираючи між групою 2 і 3 ЄП, ФОП повинен враховувати, хто споживатиме таку послугу: дозволений чи заборонений контрагент. Для виконання вимоги п.п. 2 п. 291.4 ПКУ [1] головним є те, щоб послугу, яку надає підприємець групи 2, фактично споживали платник ЄП або населення. Виробляти та продавати товари, провадити діяльність у сфері ресторанного господарства ФОП групи 2 може незалежно від статусу своїх покупців |
| Обмеження за окремими видами діяльності | Не можна займатися: 1) виробництвом, постачанням, продажем (реалізацією) ювелірних і побутових виробів з дорогоцінних металів, дорогоцінного каміння, дорогоцінного каміння органогенного утворення та напівдорогоцінного каміння. Ці види діяльності дозволені тільки для групи 3 за ставкою 5 %; 2) посередницькими послугами з купівлі, продажу, оренди та оцінки нерухомого майна (група 68.31 «Агентства нерухомості» КВЕД-2010 [4]). Ці види діяльності дозволені тільки для групи 3 |
| Зверніть увагу: якщо підприємець-єдиноподатник планує одночасно провадити декілька видів діяльності, які дозволені для різних груп, то обрати слід «старшу» групу — поєднувати одночасно дві групи не можна. | |
| Група 3 | |
| Платники ЄП групи 3 можуть провадити будь-які види діяльності, крім тих, які заборонені для всіх єдиноподатників п. 291.5 ПКУ [1] | |
На перший погляд, з абз. 2 п.п. 298.1.4 ПКУ [1] можна зробити висновок, що для переходу на ЄП з наступного року необхідно дотримуватися всіх ЄП-критеріїв (ознак) уже в календарному році, що передує року переходу. Інакше кажучи, за рік до переходу на ЄП потрібно працювати вже за правилами роботи єдиноподатника тієї групи, до якої має намір перейти підприємство або підприємець, а саме дотримуватися критеріїв чисельності працівників, не перевищувати допустимий обсяг доходу та не займатися забороненими для ЄП видами діяльності.
Проте, на нашу думку, достатньо виконати вимоги тільки за одним критерієм — за обсягом отриманого доходу. Цього висновку ми доходимо на підставі такого.
По-перше, у Заяві наводимо дані про обсяг доходу. При цьому в розшифровці доходу окремо не виділяються доходи від заборонених видів діяльності для тієї групи, до якої бажає перейти суб’єкт господарювання.
По-друге, самі податківці допускають ситуації, коли за рік до спрощенки суб’єкт міг провадити заборонені види діяльності, за які, вже перебуваючи на спрощенці, отримує гроші. Зокрема, ідеться про надання послуг (робіт) ФОП-єдиноподатником групи 2 загальносистемникам, що для групи 2 є забороненим. Так, у консультації в категорії 107.04 ЗІР ДФСУ податківці говорять, що в разі отримання плати за надані минулого року роботи та послуги умови роботи у групі 2 не порушуються.
Головне — не займатися забороненими видами діяльності та/або видами діяльності, не вказаними в Реєстрі платників ЄП, уже на спрощенці.
Показник чисельності працівників ФОП-ЄП груп 1 і 2 слід контролювати так: гранична кількість найманих працівників, які перебувають у трудових відносинах з ФОП, не повинна перевищувати встановленої для певної групи на дату переходу. Інакше кажучи, для ФОП не є важливим показник кількості працівників за рік до року переходу на спрощенку. Важливо, щоб цей показник був потрібної величини на дату переходу. Так, якщо у 20Х1 році ФОП використовував найману працю, але 31.12.20Х1 р. звільнив усіх працівників, він може з 01.01.20Х2 р. бути єдиноподатником групи 1. Не враховуються при цьому наймані працівники, які перебувають у відпустці у зв’язку з вагітністю та пологами, а також у відпустці для догляду за дитиною до досягнення нею 3 або 6 років (п.п. 291.4.1 ПКУ [1]).
Також згідно з консультацією з категорії 107.01 ЗІР ДФСУ, якщо укладений договір відповідає нормам договору підряду, то ФОП-ЄП не зараховує працівників, залучених за таким договором, до загальної кількості осіб, які перебувають з ним у трудових відносинах.
Приклад 1.1. Підприємець з обсягом річного доходу до 1,5 млн грн. надає інформаційні послуги. Яку групу платників ЄП може обрати підприємець?
Тут усе залежатиме від того, кому підприємець надаватиме такі послуги. Якщо серед клієнтів підприємця є юридичні особи — загальносистемники або ФОП, які працють на загальній системі оподаткування, тоді підприємець може обрати тільки групу 3 платників ЄП. Якщо ж коло клієнтів підприємця буде обмежене тільки населенням, підприємцями-єдиноподатниками або юридичними особами — єдиноподатниками, тоді він може обрати групу 2 платників ЄП.
Приклад 1.2. Підприємець з обсягом річного доходу до 1,5 млн грн. займається продажем товарів, у тому числі юридичним особам на загальній системі оподаткування. У якій групі ЄП він може працювати?
Підприємець має право працювати у групі 2. Обмеження щодо статусу покупців, визначені для платників ЄП групи 2, стосуються тільки послуг (їх можна надавати виключно населенню або платникам ЄП). Що ж до виробництва та продажу товарів, то тут обмежень немає, тобто підприємці-єдиноподатники групи 2 мають право продавати товари будь-яким особам, у тому числі юрособам на загальній системі оподаткування. Водночас підприємець може обрати і групу 3 ЄП. Так, якщо більшість його клієнтів є юридичними особами на загальній системі оподаткування, які зацікавлені в отриманні права на ПК, то в цьому випадку, якщо підприємець відповідає вимогам реєстрації платником ПДВ, йому доцільніше обрати групу 3 зі сплатою ЄП за ставкою 3 %.
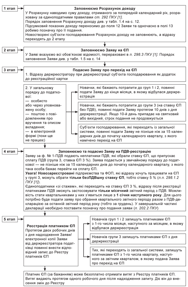
1.3. Поповнюємо лави платників єдиного податку: покроковий алгоритм дій
1.3.1. Переходимо на єдиний податок із загальної системи оподаткування
Згідно з п.п. 298.1.4 ПКУ [1] суб’єкт господарювання, який є платником інших податків і зборів, може прийняти рішення про перехід на спрощену систему оподаткування шляхом подання Заяви про застосування спрощеної системи, форму якої затверджено наказом № 1675 [18].
Перейти на спрощену систему оподаткування можна з початку будь-якого кварталу, звичайно, якщо суб’єкт господарювання відповідає визначеним ПКУ [1] критеріям. Заяву подають не пізніше ніж за 15 календарних днів до початку обраного кварталу (року) до податкового органу за місцем реєстрації суб’єкта господарювання.
Зверніть увагу: якщо Заява подана і зареєстрована в органі ДФСУ, то відкликати її назад не вдасться, оскільки це не передбачено ПКУ [1]. У цьому випадку відмовитися від спрощеної системи можна тільки в загальному порядку, відпрацювавши на ній як мінімум один квартал.
Наприклад, для переходу на спрощену систему оподаткування з III кварталу 2016 року суб’єкт господарювання повинен подати відповідну Заяву не пізніше 15 червня 2016 року.
Важливо! Якщо останній день строку подання Заяви припадає на вихідний або святковий день, то цей строк не продовжується. Це пов’язано з тим, що ані у ПКУ [1], ані в наказі № 1675 [18] не передбачене перенесення такого строку. Що стосується загальних правил перенесення строку подання податкової звітності, то в цьому випадку вони не діють, оскільки Заява не належить до податкової звітності.
Майте на увазі, що вже діючому єдиноподатнику подавати Заяву для продовження ЄП-статусу не потрібно. Наприклад, якщо суб’єкт підприємницької діяльності переходить на спрощену систему оподаткування з IV кварталу 20Х0 року, то він за умовчанням залишається працювати на цій системі й у 20Х1 році.
Заява відповідно до п.п. 298.1.1 ПКУ [1] подається за вибором суб’єкта господарювання в один із таких способів:
1) особисто чи уповноваженою на це особою;
2) поштою з повідомленням про вручення та описом вкладення. Подаючи Заяву через відділення пошти, слід керуватися Порядком № 799 [21]. Що стосується граничного строку відправлення, то він для такої Заяви є нерегламентованим. Тому не виключено, що податківці можуть у цьому випадку вважати датою подання Заяви дату надходження її до податкового органу, тобто дату реєстрації в журналі реєстрації вхідної кореспонденції. Тому про всяк випадок не відкладайте похід на пошту на останній день;
3) засобами електронного зв’язку в електронній формі з накладенням електронного цифрового підпису. Водночас податківці скаржаться, що подання Заяви про перехід на ЄП в електронній формі залишається нереалізованим. Тому її потрібно подати особисто чи поштою (див. консультацію в підкатегорії 108.01.01 ЗІР ДФСУ);
4) для новозареєстрованих госпсуб’єктів — державному реєстратору як додаток до реєстраційної картки, яка подається для проведення державної реєстрації юридичної особи або ФОП з урахуванням вимог п. 291.5 ПКУ [1]. Відсканована електронна копія Заяви про перехід на ЄП передається державним реєстратором до контролюючого органу одночасно з відомостями з реєстраційної картки на проведення державної реєстрації юрособи або ФОП.
До Заяви суб’єкт господарювання повинен додати (абз. 3 п.п. 298.1.4 ПКУ [1]) Розрахунок доходу за попередній календарний рік за формою, затвердженою наказом № 1675 [18]. У ньому необхідно вказати суму доходу, отриманого за попередній календарний рік, що передує року переходу на спрощену систему оподаткування, розрахованого за єдиноподатними правилами (ст. 292 ПКУ [1]). Наприклад, якщо перехід на спрощену систему оподаткування відбувається з IV кварталу 20Х1 року, то розрахунок доходу потрібно додати за 20Х0 рік. Підсумковий показник доходу переноситься до поля 12 Заяви.
Процедура переходу на ЄП наведена на рис. 1.1.

Рис. 1.1. Процедура вибору/переходу на спрощену систему
Далі в табл. 1.4 і 1.5 детально розглянемо порядок заповнення Розрахунку доходу та Заяви про перехід на ЄП.
Таблиця 1.4. Порядок заповнення Розрахунку доходу
| Поле | Порядок заповнення |
| 1 | «Найменування органу державної податкової служби» |
| 2 | «Код за ЄДРПОУ, реєстраційний номер облікової картки платника податків (ідентифікаційний номер) або серія та номер паспорта*» |
| 3 | «Найменування суб’єкта господарювання або прізвище, ім’я та по батькові фізичної особи — підприємця» |
| 4 | «Дані документа, що підтверджують державну реєстрацію юридичної особи або фізичної особи — підприємця (назва, номер, дата)» |
| Поля 1 — 4 заповнюємо так само, як аналогічні поля Заяви про перехід на ЄП (див. табл. 1.5 на с. 14). | |
| Х | «Відомості щодо державної реєстрації протягом календарного року: первинна/повторна» |
| Як роз’яснюють податківці, позначку навпроти слова «первинна» юрособа ставить тоді, коли протягом календарного року, що передує року переходу на ЄП, не вносилися зміни до держреєстрації. Якщо ж зміни були, ставимо позначку навпроти слова «повторна» (див. підкатегорію 108.01.01 ЗІР ДФСУ). До ФОП інший підхід. Якщо протягом року, що передує року переходу на ЄП, ФОП не скасовував держреєстрацію, то при заповненні цього рядка потрібно поставити позначку навпроти слова «первинна». Якщо протягом року, що передує року переходу на ЄП, ФОП припинив підприємницьку діяльність (був знятий з держреєстрації), а потім знову зареєструвався як ФОП, то слід поставити позначку навпроти слова «повторна» (див. категорію 107.12 ЗІР ДФСУ) | |
| 5 | «Доходи, отримані суб’єктом господарювання за попередній календарний рік**:» |
| У цьому полі необхідно вказати дохід, розрахований за такими правилами. 1. Керуючись п. 292.14 ПКУ [1], дохід, отриманий у попередньому році на загальній системі оподаткування, «переводимо» в єдиноподатний дохід, використовуючи правила підрахунку доходу, передбачені ст. 292 цього Кодексу [1]. 2. Якщо в попередньому році якийсь період суб’єкт господарювання працював на спрощеній системі, дохід за цей період слід брати в сумі, в якій він був задекларований в податковій декларації з ЄП. 3. Заява на ЄП подається не пізніше ніж за 15 календарних днів до обраного кварталу. При цьому в разі переходу на спрощену систему оподаткування з першого кварталу наступного року виникає запитання: чи потрібно розраховувати прогнозний дохід за недопрацьовані дні поточного року? Податківці вважають, що потрібно. У роз’ясненнях з категорії 107.01 і підкатегорії 108.01.01 ЗІР ДФСУ зазначено: дохід за попередній календарний рік, що передує року переходу на ЄП, слід визначати на момент подання Заяви з урахуванням запланованої суми отримання доходу за період, що залишився до кінця року після подання Заяви. 4. Абзацом 4 п.п. 298.1.4 ПКУ [1] передбачено: якщо суб’єкт господарювання протягом календарного року, що передує року обрання спрощеної системи оподаткування, самостійно прийняв рішення про припинення ФОП, то при переході на спрощену систему оподаткування для розрахунку доходу за попередній календарний рік уключається уся сума доходу, отриманого такою особою в результаті провадження господарської діяльності за такий попередній календарний рік. Наприклад, якщо 30 березня 20Х0 року ФОП втратив свій підприємницький статус, а з 20.06.20Х0 р. знову зареєструвався підприємцем, то дохід він враховує за увесь період роботи підприємцем: з 01.01.20Х0 р. по 30.03.20Х0 р. і з 20.06.20Х0 р. по 31.12.20Х0 р. 5. При підрахунку доходу не враховується дохід, отриманий як компенсація (відшкодування) за рішенням суду за будь-які попередні (звітні) періоди (п. 292.15 ПКУ [1]) | |
| 5.1 | «доходи у грошовій формі (готівковій та/або безготівковій)***» |
| Уключаються будь-які доходи, отримані протягом звітного періоду у грошовій формі (як у національній валюті, так і в іноземній). Дохід визначається за касовим методом — за датою надходження грошових коштів на поточний рахунок (до каси) єдиноподатника. Те, що було відвантажено (надано) до переходу на ЄП, але не оплачено, у розрахунку участі не бере. При розрахунку доходу є сенс орієнтуватися на дані бухгалтерського обліку, беручи до уваги такі записи: Дт 30 — Кт 361, 377, 681, 685; Дт 30 — Кт 702; Дт 31 — Кт 361, 377, 681, 685. Якщо суб’єкт господарювання на загальній системі був платником ПДВ, то додатково слід відняти суми ПДВ, які включені до оплати (п.п. 1 п. 292.11 ПКУ [1]), що надійшла. З розрахунку слід виключити бухгалтерські записи про повернення: — отриманих передоплат (авансів) — Дт 681, 377, 685 — Кт 30, 31; — оплат за повернену продукцію (товар) — Дт 361, 377, 685 — Кт 30, 31. При продажу основних засобів до доходу єдиноподатника-юрособи включається вся сума коштів, отриманих від продажу. І тільки якщо основні засоби до їх продажу використовувалися більше 12 календарних місяців із дня введення в експлуатацію, до доходу можна включити різницю між сумою коштів, отриманою від продажу таких основних засобів, і їх залишковою балансовою вартістю, що склалася на день продажу (п. 292.2 ПКУ [1]), визначеною за даними бухгалтерського обліку. Це бухгалтерські записи про отримання виручки: Дт 30, 31 — Кт 377, 685 за вирахуванням ПДВ і залишкової балансової вартості, що склалася на день продажу: Дт 943 — Кт 286 | |
| 5.2 | «сума кредиторської заборгованості, за якою минув строк позовної давності» |
| Такий дохід повинні враховувати тільки ФОП та юрособи, які переходять до групи 3 на ставку 3 % (зі сплатою ПДВ) (п. 292.3 ПКУ [1]). Юрособам тут слід орієнтуватися на такі бухгалтерські записи про списання кредиторської заборгованості, за якою минув строк позовної давності: — неоплачені товари — Дт 631, 685 — Кт 717; — отримані передоплати за товари (послуги) — Дт 681, 685 — Кт 717. До складу «єдиноподатного» доходу суми кредиторської заборгованості, яка списується, зі строком давності, що минув, уключають без ПДВ | |
| 5.3 | «вартість безоплатно отриманих протягом звітного періоду товарів (робіт, послуг)» |
| Враховуємо тільки вартість товарів (робіт, послуг), отриманих згідно з письмовими договорами дарування та іншими письмовими договорами, укладеними відповідно до законодавства, які не передбачають грошової або іншої компенсації їх вартості чи їх повернення, а також вартість товарів, отриманих на відповідальне зберігання та використаних суб’єктом господарювання. Юрособам тут є сенс орієнтуватися на дані бухгалтерського обліку, використовуючи документи, в яких фіксуються обороти за кореспонденціями рахунків: — запаси — Дт 20, 22, 28 — Кт 718; — послуги — Дт 23, 91, 92, 93, 94 — Кт 718; — основні засоби — Дт 15 (10) — Кт 424 | |
| 5.4 | «інші доходи» |
| Вважаємо, що тут слід показати дохід, отриманий на загальній системі з використанням негрошових форм розрахунків, тоді як у полі 5.1 показуємо дохід, оплачений грошима. Також тут можна показати спірні доходи, які у складі ЄП-доходу бажають бачити податківці. Наприклад, для ФОП — це суми поповнення поточного рахунка. На нашу думку, ці суми не вважаються ЄП-доходом, однак ДФСУ наполягає на їх дохідності | |
| Х | «Загальна сума отриманих доходів (пункт 5.1 + пункт 5.2 + пункт 5.3 + пункт 5.4)» |
| Цю суму переносимо до поля 12 Заяви на ЄП. Якщо ця сума перевищує гранично допустиму величину для групи, до якої планує перейти суб’єкт господарювання, то потрібно переглянути вибір групи | |
Таблиця 1.5. Порядок заповнення Заяви про перехід на ЄП
| Поле | Порядок заповнення |
| 1 | «Найменування органу державної податкової служби» |
| Вписуємо найменування податкового органу, в якому суб’єкт господарювання перебуває на обліку | |
| 2 | «Код за ЄДРПОУ, або реєстраційний номер облікової картки платника податків (ідентифікаційний номер), або серія та номер паспорта*» |
| ФОП вказує реєстраційний номер облікової картки платника податків (ідентифікаційний номер). Якщо фізособа через свої релігійні переконання відмовилася від прийняття реєстраційного номера облікової картки платника податків, повідомила про це відповідний податковий орган та має відмітку в паспорті, то в цьому полі вона може проставити серію та номер паспорта. Юрособа вказує код платника податку згідно з ЄДРПОУ | |
| 3 | «Найменування суб’єкта господарювання або прізвище, ім’я та по батькові фізичної особи — підприємця» |
| ФОП вказує прізвище, ім’я та по батькові повністю. Юрособа — повне найменування відповідно до реєстраційних документів | |
| 4 | «Дані документа, що підтверджують державну реєстрацію юридичної особи та/або фізичної особи — підприємця (назва, номер, дата)» |
| Тут вказуємо дані свідоцтва про держреєстрацію (для зареєстрованих до 07.05.2011 р.) або дані виписки з ЄДР (для зареєстрованих з 07.05.2011 р.) | |
| 5.1 | «Обрання або перехід на спрощену систему оподаткування**» |
| Проставляємо дату, з якої плануємо перейти на спрощену систему. При переході з 20ХХ року вказуємо «01 січня 20ХХ р.». При переході, наприклад, з четвертого кварталу 20ХХ року вказуємо «01 жовтня 20ХХ р.» | |
| 6 | «Податкова адреса суб’єкта господарювання» |
| ФОП вказує свою податкову адресу (місце проживання). Юрособа — податкову адресу (місцезнаходження) платника, відомості про яку містяться в ЄДРПОУ | |
| 7 | «Місце провадження господарської діяльності» |
| Вказуємо індекс, найменування населеного пункту, адресу, тобто конкретну адресу провадження діяльності. Якщо місць провадження діяльності декілька, вказуємо всі. У разі провадження діяльності в попередньо не визначених місцях (торгівля на виставках, ринках тощо) ФОП може вказати «Торгівля на ринках України» та/або «Торгівля на виставках України» тощо. При наданні приміщень в оренду податківці хочуть бачити в цьому полі всі адреси знаходження нерухомого майна, що здається в оренду (див. категорію 107.01 ЗІР ДФСУ). ФОП, який здійснює перевезення пасажирів/вантажів територією України (міжнародні перевезення), тут вказує «Перевезення по Україні» або «Міжнародні перевезення» (див. категорію 107.01 ЗІР ДФСУ). Якщо юрособа-єдиноподатник надає послуги на всій території України, то вказати в цьому полі «На всій території України» не можна. У цьому випадку контролери рекомендують вказувати фактичне місце провадження діяльності або розташування офісу, з якого проводиться щоденне керівництво діяльністю юрособи | |
| 8 | «Обрана ставка єдиного податку при переході на спрощену систему оподаткування» |
| Вказуємо обрану ставку та групу ЄП | |
| 9 | «Кількість осіб, які одночасно перебувають з фізичною особою — підприємцем у трудових відносинах, або середньооблікова чисельність працівників у юридичної особи» |
| Юрособа наводить показник середньої кількості працівників в еквіваленті повної зайнятості згідно з п. 4 Інструкції № 286 [22] за 20Х0 (попередній) рік. Зверніть увагу: хоча показник чисельності працівників для роботи на ЄП і є не таким важливим, контролери по-старому хочуть бачити його в Заяві (див. консультацію в підкатегорії 108.01.01 ЗІР ДФСУ). ФОП вказує граничну кількість найманих працівників, що перебувають у трудових відносинах з ФОП, яка не повинна перевищувати встановлену кількість для певної групи на дату переходу. Зверніть увагу: на нашу думку, цей показник вказуємо станом на 1 січня 20ХХ року (якщо перехід здійснюватиметься з 20ХХ року) або, наприклад, на 1 жовтня 20ХХ року (якщо перехід здійснюватиметься з IV кварталу 20ХХ року), а не на дату подання Заяви на ЄП. Але! Головне, щоб на дату переходу на спрощену систему (на 01.01.20ХХ р. або на 01.10.20ХХ р.) у ФОП дійсно не було «зайвих» працівників, інакше, як і у випадку з доходом (див. поле 12), можна не пройти ЄП-реєстрацію на підставі п.п. 1 п. 299.6 ПКУ [1] | |
| 10 | «Обрані види діяльності згідно з КВЕД ДК 009:2005» |
| З 01.01.2015 р. це поле заповнюють не лише ФОП груп 1 і 2, а й підприємства/ФОП, які переходять до групи 3 ЄП (п.п. 5 п. 298.3 ПКУ [1]). При цьому види діяльності необхідно брати з КВЕД-2010 [4]. Радимо вказати тут якомога більшу кількість найменувань видів діяльності, якими плануєте займатися, щоб потім не вносити зміни до Реєстру платників ЄП. Якщо код виду діяльності за КВЕД-2010 [4] уключає декілька видів госпдіяльності, у тому числі й ті, які не надають права на застосування спрощенки, ФОП у Заяві на ЄП вказує перелік видів діяльності відповідного коду, крім заборонених (див. категорію 107.01 ЗІР ДФСУ). Що стосується юросіб, то наявність в ЄДР або у статуті видів діяльності, які не надають права застосовувати спрощенку, не є підставою для відмови в реєстрації платником ЄП за умови, що ці види діяльності фактично не провадяться (див. підкатегорію 108.01.06 ЗІР ДФСУ) | |
| 10.1 | «У разі здійснення виробництва (з пункту 10):» |
| У цьому полі єдиноподатники, які здійснюють виробництво продукції, вказують види (назви) продукції, що виробляється | |
| 11 | «Наявність податкового боргу, крім безнадійного податкового боргу, що виник унаслідок дії обставин непереборної сили (форс-мажорних обставин):» |
| Згідно з п.п. 291.5.8 ПКУ [1] не можуть бути платниками ЄП ФОП та юрособи, які на день подання Заяви про перехід на ЄП мають податковий борг, крім безнадійного податкового боргу, що виник унаслідок дії обставин непереборної сили (форс-мажорних обставин). Так що перед поданням Заяви радимо звіритися зі своїм податковим органом на предмет наявності/відсутності боргу. Крім того, наявність у суб’єкта господарювання, який створюється в результаті реорганізації (крім перетворення) будь-якого платника податків, непогашених податкових зобов’язань або податкового боргу, що виникли до такої реорганізації, є підставою для відмови в реєстрації платником ЄП (п.п. 2 п. 299.6 ПКУ [1]) | |
| 12 | «Обсяг доходу за попередній календарний рік становить (пункт 5 Розрахунку доходу за попередній календарний рік, що передує року переходу на спрощену систему оподаткування)**» |
| До цього поля всі особи, які подають Заяву на ЄП, вписують розмір доходу за минулий рік. Він має бути не більше допустимого доходу для групи, до якої хоче потрапити майбутній єдиноподатник, інакше його не переведуть на спрощену систему. Показник поля 12 має дорівнювати показнику поля 5 Розрахунку доходу, який додається до Заяви про перехід на ЄП | |
| 13 | «Розрахунок доходу за попередній календарний рік, що передує року переходу на спрощену систему оподаткування за попередній календарний рік, додається («» або «-»)**» |
| Проставляється відмітка в разі, якщо до Заяви про перехід на ЄП доданий Розрахунок доходу. При переході на спрощену систему із загальної Розрахунок подають обов’язково | |
| Х | «Суб’єкт господарювання» |
| Заяву на ЄП підписує керівник юрособи. ФОП підписує особисто. Проставляється також дата подання Заяви про перехід на ЄП. Проставляється відбиток печатки за її наявності |
Зразки заповнення Розрахунку доходу за календарний рік, що передує року переходу на ЄП, і Заяви про застосування спрощеної системи оподаткування наведені на рис. 1.2 і 1.3.

Рис. 1.2. Зразок заповнення Розрахунку доходу за календарний рік, що передує року переходу на ЄП

Рис. 1.3. Зразок заповнення Заяви про перехід на ЄП
Якщо ви вже стали єдиноподатником, то можете отримати Витяг з Реєстру платників ЄП. Для цього потрібно скласти запит про видачу такого Витягу. Видають його податківці безоплатно протягом одного робочого дня з дня надходження запиту. Витяг підтверджує те, що ФОП або підприємство є єдиноподатником. Його копію ФОП видаватиме своїм контрагентам, щоб вони не утримували під час виплати йому доходу ПДФО.
Якщо податковий орган відмовив у реєстрації платнику ЄП, то зобов’язаний протягом двох робочих днів з дня подання Заяви про перехід на ЄП надати письмову мотивовану відмову, яка може бути оскаржена суб’єктом господарювання.
Для оскарження існують два варіанти:
1) до вищого за рівнем податкового органу — скаргу слід подати протягом 10 календарних днів, наступних за днем отримання платником оскаржуваного рішення;
2) до суду — необхідно подати адміністративний позов до окружного адмінсуду за місцем свого знаходження.
1.3.2. Враховуємо податкові наслідки перехідних операцій «ЗС → ЄП»
Міграція госпсуб’єктів із загальної системи оподаткування на ЄП і навпаки — справа звична. Через різні обставини підприємці та підприємства змінюють систему оподаткування на ту, яка їм більше підходить у певний період часу. При цьому завжди виникає низка запитань, зокрема, щодо оподаткування перехідних операцій, коли відвантаження товару (виконання робіт, надання послуг) або отримання авансу відбулися на одній системі, а друга (завершальна) частина правочину — на іншій. Податкові наслідки таких перехідних операцій мають свої особливості. Облікові моменти переходу із загальної системи оподаткування на ЄП розглянемо в табл. 1.6 і 1.7.
Таблиця 1.6. Облік операцій при переході із загальної системи оподаткування на ЄП (для підприємців)
| Умови переходу | Податкові наслідки | ||||
| ЗАГАЛЬНА СИСТЕМА | ЄДИНИЙ ПОДАТОК | ||||
| доходи | витрати | ПДВ | доходи | ПДВ | |
| 1. ПРОДАЖ ТОВАРІВ (РОБІТ, ПОСЛУГ) | |||||
| Підприємець на загальній системі (з ПДВ) ↓ Єдиноподатник без ПДВ: групи 1 — 3 (на ставці 5 %) | Відвантаження (надання) | Отримання оплати | |||
| — Доходи підприємця на загальній системі формуються за касовим методом, тобто за датою отримання оплати. Відвантаження товару, виконання робіт або надання послуг не призводять до податкових наслідків | — Права на витрати за відвантаженими товарами немає, оскільки немає доходу від їх реалізації (п. 177.4 ПКУ [1]) | + ПЗ | + Доходи формуються за касовим методом. У день отримання коштів в оплату товарів (робіт, послуг) підприємець повинен відобразити дохід у графі 2 КОД. Суму ПДВ, що міститься у складі оплати, до доходів уключати не потрібно (п.п. 7 п. 292.11 ПКУ [1]) | — | |
| Отримання передоплати | Відвантаження (надання) | ||||
| + У день отримання оплати відображається дохід без урахування ПДВ (п. 177.3 ПКУ [1]) | + Відображаються витрати на придбання проданих товарів без урахування ПДВ (пп. 177.3 і 177.4 ПКУ [1]) | + ПЗ | — Дохід не показують, оскільки він був відображений підприємцем на загальній системі. Відвантаження товарів не має жодних податкових наслідків для єдиноподатника | — | |
| Підприємець на загальній системі (без ПДВ) ↓ Єдиноподатник без ПДВ: групи 1 — 3 (на ставці 5 %) | Відвантаження (надання) | Отримання оплати | |||
| — | — | — | + У день отримання коштів в оплату товарів (робіт, послуг) підприємець повинен відобразити дохід у сумі отриманих коштів у графі 2 КОД | — | |
| Отримання передоплати | Відвантаження (надання) | ||||
| + У день отримання оплати відображається дохід | + Відображаються витрати на придбання проданих товарів (п. 177.4 ПКУ [1]) | — | — Відвантаження товарів не має жодних податкових наслідків для єдиноподатника | — | |
| Підприємець на загальній системі (з ПДВ) ↓ Єдиноподатник з ПДВ: група 3 (на ставці 3 %) | Відвантаження (надання) | Отримання оплати | |||
| — | — | + ПЗ | + У день отримання коштів в оплату товарів (робіт, послуг) підприємець повинен відобразити дохід (без урахування ПДВ) у графі 2 розділу I КОДВ | — ПЗ не нараховуються, оскільки це друга подія | |
| Отримання передоплати | Відвантаження (надання) | ||||
| + | + | + ПЗ | — | — ПЗ не нараховуються, оскільки це друга подія | |
| Підприємець на загальній системі (без ПДВ) ↓ Єдиноподатник з ПДВ: група 3 (на ставці 3 %) | Відвантаження (надання) | Отримання оплати | |||
| — | — | — | + У день отримання коштів в оплату товарів (робіт, послуг) підприємець повинен відобразити дохід у сумі отриманих коштів у графі 2 розділу I КОДВ | — ПЗ не нараховуються, оскільки це друга подія | |
| Отримання передоплати | Відвантаження (надання) | ||||
| + | + | — | — | — ПЗ не нараховуються, оскільки це друга подія | |
| 2. ПРИДБАННЯ ТОВАРІВ (РОБІТ, ПОСЛУГ) | |||||
| Підприємець на загальній системі (з ПДВ) ↓ Єдиноподатник | Отримання товарів (робіт, послуг) | Перерахування оплати | |||
| — | — Витрати на купівлю товару відобразити підприємець не може, оскільки не був отриманий дохід від їх реалізації | + ПК (за наявності ПН)* | — За датою перерахування плати за товари (роботи, послуги) єдиноподатники — платники ПДВ (групи 3 за ставкою 3 %) показують витрати (без урахування ПДВ) у графах 2 і 3 розділу II КОДВ. Зауважимо, що цей факт не вплине на об’єкт обкладення ЄП | — | |
| Перерахування оплати | Отримання товарів (робіт, послуг) | ||||
| — | — Авансова оплата у витратах не враховується | + ПК (за наявності ПН)* | — | — | |
| Підприємець на загальній системі (без ПДВ) ↓ Єдиноподатник | Отримання товарів (робіт, послуг) | Перерахування оплати | |||
| — | — | — | — За датою перерахування плати за товари єдиноподатники — платники ПДВ (група 3 на ставці 3 %) показують витрати у графах 2 і 3 розділу II КОДВ. Цей факт не вплине на об’єкт обкладення ЄП | — Єдиноподатники — платники ПДВ права на ПК не мають, оскільки на момент першої події вони не були платниками ПДВ | |
| Перерахування оплати | Отримання товарів (робіт, послуг) | ||||
| — | — Авансова оплата у витратах не враховується | — | — | — | |
| * Оскільки перехід на ЄП без ПДВ супроводжується анулюванням ПДВ-реєстрації, то суб’єктом господарювання, який здійснює такий перехід, мають бути дотримані вимоги п. 184.7 ПКУ [1]. Платник повинен нарахувати ПЗ виходячи зі звичайних цін за товарами/послугами та необоротними активами, за якими раніше був відображений ПК, не використаними в оподатковуваних операціях у межах господарської діяльності. Зробити це потрібно в останньому звітному періоді, але не пізніше дати анулювання ПДВ-реєстрації. | |||||
Таблиця 1.7. Облік операцій при переході із загальної системи оподаткування на ЄП (для підприємств)
| Умови переходу | Податкові наслідки | |
| Загальна система | Єдиний податок | |
| Податок на прибуток | ||
| Підприємство на загальній системі → ЄП | Відвантаження (надання) | Отримання оплати |
| На підставі п. 5 П(С)БО 15 [32] підприємство відображає дохід і враховує його при розрахунку фінрезультату, тобто оподатковуваного прибутку* | При отриманні оплати на ЄП повторно доходи не відображають (п.п. 6 п. 292.11 ПКУ [1])* | |
| Отримання передоплати | Відвантаження (надання) | |
| Суми передоплати жодним чином на величину доходу не впливають (п. 6.3 П(С)БО 15 [32]) | Необхідно визнати дохід та обкласти його ЄП (абз. 2 п. 292.6 ПКУ [1]) | |
| * Якщо сторони домовилися, що право власності на товар переходить до покупця у момент отримання плати за нього, то порядок дій буде іншим. Тоді на дату відвантаження товару (на загальній системі) підприємство дохід не визнає. А ось уже при отриманні оплати, перебуваючи на ЄП, воно відобразить дохід і обкладе його ЄП. | ||
| ПДВ | ||
| Загальна система (з ПДВ) → ЄП (3 %) | Відвантаження (надання) | Отримання оплати |
| + ПЗ | — ПЗ не нараховуються, оскільки це друга подія | |
| Отримання передоплати | Відвантаження (надання) | |
| + ПЗ | — ПЗ не нараховуються, оскільки це друга подія | |
| Загальна система (з ПДВ) → ЄП (5 %) | Відвантаження (надання) | Отримання оплати |
| + ПЗ | — ПЗ | |
| Отримання передоплати | Відвантаження (надання) | |
| + ПЗ | — ПЗ | |
| Загальна система (без ПДВ) → ЄП (3 %) | Відвантаження (надання) | Отримання оплати |
| — ПЗ | — ПЗ не нараховуються, оскільки на момент першої події підприємство не було платником ПДВ | |
| Отримання передоплати | Відвантаження (надання) | |
| — ПЗ | — ПЗ не нараховуються, оскільки на момент першої події підприємство не було платником ПДВ | |
| Загальна система (без ПДВ) → ЄП (5 %) | Відвантаження (надання) | Отримання оплати |
| — ПЗ | — ПЗ | |
| Отримання передоплати | Відвантаження (надання) | |
| — ПЗ | — ПЗ | |
1.3.3. «Мігруємо» між групами єдиного податку
Добровільна зміна групи ЄП
Відразу ж звернемо увагу: «міграція» між групами платників ЄП можлива тільки для ФОП. Підприємства-єдиноподатники такого вибору не мають: вони можуть працювати тільки у складі групи 3 ЄП, адже для них вона є єдиною. Але змінити ставку ЄП з ПДВшної на безПДВшну або навпаки всередині групи 3 ЄП підприємства можуть.
При виборі групи майбутній ФОП-єдиноподатник повинен «прикинути» вищеописані умови перебування на ЄП для себе та на майбутній календарний рік роботи в єдиноподатному статусі. Це є необхідним для того, щоб після першого ж кварталу роботи на спрощеній системі «не вилетіти» з неї через те, що перевищена кількість найманих працівників, або через перевищення обсягу доходу (доведеться сплатити ЄП за підвищеною ставкою, що може спричинити втрату економічної привабливості спрощеної системи оподаткування).
Розглянемо усі можливості переходу єдиноподатника з однієї групи до іншої.
Такий перехід може бути добровільним на підставі п.п. 298.1.5 ПКУ [1] і обов’язковим — згідно з п. 293.8 ПКУ [1].
Перехід з групи до групи за добровільним рішенням здійснюється в такій послідовності (див. рис. 1.4):
ПЕРЕХІД З ГРУПИ ДО ГРУПИ ЗА ДОБРОВІЛЬНИМ РІШЕННЯМ

Рис. 1.4. Механізм переходу з групи до групи за добровільним рішенням
Особливу увагу звернемо на таку ситуацію: ФОП відвантажив товари (виконав роботи, надав послуги) в періоді перебування у групі 3 ЄП, а оплату отримав вже після переходу до групи 1 або до групи 2 ЄП. Причому виявляється, що оплату отримано від видів діяльності, заборонених для групи 1 (2) ЄП.
Податківці лояльно ставляться до цієї ситуації і дозволяють «мігранту» уключити до декларації з ЄП за попередній звітний період (тобто за останній період роботи у групі 3) суму коштів, зароблену, але не отриману в цьому звітному періоді.
Якщо платник ЄП групи 3 перейшов до групи 1 або групи 2 і не задекларував грошові кошти, що не надійшли, за товари (роботи, послуги), відвантажені (виконані, надані) в період перебування у групі 3, то ФОП повинен подати уточнюючу податкову декларацію з ЄП за період роботи у групі 3 і включити отримані кошти до складу доходу, який обкладається за ставками ЄП групи 3.
Можлива й зворотна ситуація: ФОП-ЄП групи 1 або групи 2 перейшов до групи 3 і при цьому кошти за товари (роботи, послуги), відвантажені (виконані, надані) в періоді перебування в групі 1 або групі 2, надійшли в періоді перебування у групі 3 і не були включені до податкової декларації платника групи 1 або групи 2. Як роз’яснюють податківці, такі кошти необхідно включити до ЄП-декларації платника групи 3 і обкласти ЄП за ставками групи 3. Причина: види діяльності, дозволені для групи 1 або групи 2, не суперечать умовам перебування у групі 3 ЄП (див. роз’яснення в категорії 107.08 ЗІР ДФСУ).
Зверніть увагу: при зміні ставки ЄП з 5 % на 3 % на таких платників поширюються норми ПКУ [1], що стосуються ведення ПДВ-обліку, складання та реєстрації податкових накладних в ЄРПН, подання податкових декларацій з ПДВ.
Обов’язковий перехід до «старшої» групи ЄП
Необхідність переходу до «старшої» групи передбачена п. 293.8 ПКУ [1] у разі перевищення встановленого для цієї групи обсягу доходу. Якщо не перейти до «старшої» групи, то єдиноподатнику необхідно буде повернутися на загальну систему оподаткування. Якщо єдиноподатниками групи 3 перевищений дохід, вони зобов’язані у будь-якому разі повернутися на загальну систему.
При переході до «старшої» групи, на нашу думку, можлива також і зміна безПДВшної ставки на ПДВшну. При цьому необхідно подати Заяву на ПДВ-реєстрацію.
Можливі такі обов’язкові переходи з «молодшої» групи до «старшої»:
1 → 2, 3;
2 → 3.
Механізм переходу до «старшої» групи у зв’язку з перевищенням допустимого обсягу доходу покажемо на рис. 1.5.
Приклад 1.3. У 20Х1 році підприємець, працюючи на загальній системі оподаткування без найманих працівників, отримав дохід у сумі 120 тис. грн. В якій групі єдиноподатників він може працювати у 20Х2 році?
З 20Х2 року він може обрати групи 1 — 3. Якщо ФОП торгуватиме тільки на ринку або надаватиме побутові послуги населенню, не використовуючи найманих працівників, то йому доцільно розпочинати з самої «молодшої» групи, поступово переходячи до «старшої». Так, спочатку слід обрати групу 1. Потім при наближенні до обсягу отриманого з початку календарного року роботи на спрощенці доходу в сумі 300 тис. грн. підприємцю з наступного кварталу доцільно перейти до групи 2 (за власним рішенням або в обов’язковому порядку — якщо обсяг доходу перевищено). Після цього, наближаючись до розміру доходу з початку календарного року в 1,5 млн грн., слід перейти до групи 3 (добровільно або обов’язково). Таким чином, вийде, що при постійному щоквартальному переході до «старшої» групи ФОП за календарний рік побуває в усіх трьох єдиноподатних групах для ФОП.
ВИМУШЕНИЙ ПЕРЕХІД ДО «СТАРШОЇ» ГРУПИ ЧЕРЕЗ ПЕРЕВИЩЕННЯ ОБСЯГУ ДОХОДУ

Рис. 1.5. Механізм переходу до «старшої» групи ЄП
Водночас не завжди використання спочатку «молодшої» групи може бути вигідним. Так, відразу влитися до лав спрощенців у складі «найстаршої» групи 3 ми радимо тим ФОП, які вже в першому кварталі роботи на спрощеній системі планують отримати єдиноподатний дохід, що перевищує допустимий для групи 2 (> 1,5 млн грн.).
Що стосується чисельності працівників, то при виборі групи планувати її потрібно тільки ФОП, оскільки тільки для них передбачений цей критерій: для групи 2 — не більше 10 осіб, для групи 3 — не обмежено, а для групи 1 взагалі не дозволяється приймати на роботу працівників (крім цивільно-правових відносин).
Якщо у момент прийняття рішення у ФОП працює більше працівників, ніж йому буде дозволено у відповідній групі, подати Заяву на ЄП, на нашу думку, до такої групи ФОП все одно має право. Тільки до дати початку роботи в такій групі слід звільнити «зайвих» працівників.
Приклад 1.4. ФОП у 20Х1 році працює на спрощеній системі оподаткування (група 3 ЄП). У листопаді 20Х1 року у нього працевлаштовано 15 осіб. З 01.01.20Х2 р. він планує стати єдиноподатником групи 2. Чи зможе він перейти до групи 2?
Вважаємо, що ФОП може перейти з 1 січня 20Х2 року до групи 2, якщо до 01.01.20Х2 р. звільнить 5 «зайвих» для нього працівників.
Що стосується здійснюваних видів діяльності, то тут також доведеться підлаштуватися під вимоги, що висуваються до групи 2, — після переходу не провадити заборонені для неї види діяльності. Крім того, слід враховувати, що ФОП, які провадять діяльність з виробництва, постачання, продажу (реалізації) ювелірних і побутових виробів з дорогоцінних металів, дорогоцінного каміння, дорогоцінного каміння органогенного утворення та напівдорогоцінного каміння, мають право обрати тільки групу 3 ЄП зі ставкою 5 %.
Таблиця 1.8. Перехід єдиноподатників з однієї групи (ставки) до іншої
| До якої групи переходимо | З якої групи переходимо | Документи, що подаються | |
| ДОБРОВІЛЬНИЙ ПЕРЕХІД (п.п. 298.1.5 ПКУ [1]) | |||
| Фізичні особи — підприємці | Група 1 | Групи 2 і 3 (5 %) | Заява на ЄП — не пізніше ніж за 15 календарних днів до початку наступного календарного кварталу. У полі 10 Заяви вказують види діяльності з КВЕД-2010 [4]. У полі 7 Заяви фізособи, які планують провадити роз’їзний характер діяльності, можуть вказати, наприклад «Торгівля на ринках України» та/або «Торгівля на виставках України». Якщо фізособа провадить діяльність у декількох місцях, у полі 7 Заяви вказують усі місця її провадження |
| Група 3 (3 %) | 1. Заява на ЄП — не пізніше ніж за 15 календарних днів до початку наступного календарного кварталу. У полі 10 Заяви вказують види діяльності з КВЕД-2010 [4]. 2. Заява на анулювання ПДВ за формою № 3-ПДВ (разом із Заявою на ЄП)* | ||
| Група 2 | Групи 1 і 3 (5 %) | Заява на ЄП — не пізніше ніж за 15 календарних днів до початку наступного календарного кварталу. У полі 10 Заяви вказують види діяльності з КВЕД-2010 [4] | |
| Група 3 (3 %) | 1. Заява на ЄП — не пізніше ніж за 15 календарних днів до початку наступного календарного кварталу. У полі 10 Заяви вказують види діяльності з КВЕД-2010 [4]. 2. Заява на анулювання ПДВ за формою № 3-ПДВ (разом із Заявою на ЄП)* | ||
| Група 3 (3 %) | Групи 1 — 3 (5 %) | 1. Заява на ЄП — не пізніше ніж за 15 календарних днів до початку наступного календарного кварталу. 2. Заява на ПДВ-реєстрацію за формою № 1-ПДВ — не пізніше ніж за 15 календарних днів до початку календарного кварталу, з якого така особа бажає перейти на сплату ЄП за ставкою 3 % | |
| Група 3 (5 %) | Групи 1 і 2 | Заява на ЄП — не пізніше ніж за 15 календарних днів до початку наступного календарного кварталу | |
| Група 3 (3 %) | 1. Заява на ЄП — не пізніше ніж за 15 календарних днів до початку наступного календарного кварталу. 2. Заява на анулювання ПДВ за формою № 3-ПДВ (разом із Заявою на ЄП)* | ||
| Юридичні особи | Група 3 (3 %) | Група 3 (5 %) | 1. Заява на ЄП — не пізніше ніж за 15 календарних днів до початку наступного календарного кварталу. 2. Заява на ПДВ-реєстрацію за формою № 1-ПДВ — не пізніше ніж за 15 календарних днів до початку календарного кварталу, з якого така особа бажає перейти на сплату ЄП за ставкою 3 % |
| Група 3 (5 %) | Група 3 (3 %) | 1. Заява на ЄП — не пізніше ніж за 15 календарних днів до початку наступного календарного кварталу. 2. Заява на анулювання ПДВ за формою № 3-ПДВ (разом із Заявою на ЄП)* | |
| * Хоча, щоб стати єдиноподатником-безПДВшником, подавати Заяву за формою № 3-ПДВ не обов’язково. Достатньо проставити відповідну безПДВшну відмітку в Заяві на ЄП. Контролери «автоматично» виключать вас з Реєстру платників ПДВ останнім днем звітного періоду, що передує періоду переходу на ЄП (абз. 5 п. 5.4 розд. V Положення № 1130 [15]). Цією відміткою, судячи з усього, є інформація з пункту 8 Заяви на ЄП, де вказані бажана ЄП-група і ставка (без ПДВ). | |||
| ОБОВ’ЯЗКОВИЙ ПЕРЕХІД (п. 293.8 ПКУ [1]) | |||
| ФОП | Групи 2 і 3 (5 %) | Група 1 | Заява на ЄП — не пізніше 20-го числа місяця, наступного за кварталом перевищення доходу |
| Група 3 (3 %) | 1. Заява на ЄП — не пізніше 20-го числа місяця, наступного за кварталом перевищення доходу. 2. Заява на ПДВ-реєстрацію за формою № 1-ПДВ — не пізніше 20-го числа місяця, наступного за календарним кварталом, в якому допущено перевищення доходу | ||
| Група 3 (5 %) | Група 2 | Заява на ЄП — не пізніше 20-го числа місяця, наступного за кварталом перевищення доходу | |
| Група 3 (3 %) | 1. Заява на ЄП — не пізніше 20-го числа місяця, наступного за кварталом перевищення доходу. 2. Заява на ПДВ-реєстрацію за формою № 1-ПДВ — не пізніше 20-го числа місяця, наступного за календарним кварталом, в якому допущено перевищення доходу | ||
1.4. Як унести зміни до Реєстру платників ЄП
Як випливає з пп. 298.4 — 298.6 ПКУ [1], унесення змін до Реєстру платників ЄП органом ДФСУ відбувається в разі зміни:
1) найменування юрособи або П. І. Б. (серії та номера паспорта) фізособи;
2) податкової адреси суб’єкта господарювання;
3) місця проведення госпдіяльності;
4) видів госпдіяльності.
Це відбувається в день подання платником ЄП Заяви за формою, затвердженою наказом № 1675 [18] (п. 299.8 ПКУ [1]) (див. табл. 1.9.).
Таблиця 1.9. Порядок унесення змін до Реєстру платників ЄП
| Зміни, що вносяться до Реєстру | Подання Заяви | |||
| ФОП | юридичні особи | |||
| група 1 | група 2 | група 3 | група 3 | |
| Найменування / П. І. Б. | Заява подається протягом місяця з дня виникнення таких змін (п. 298.4 ПКУ [1]) | |||
| Податкова адреса | Заява подається не пізніше 20-го числа місяця, наступного за місяцем, в якому відбулися такі зміни (п. 298.5 ПКУ [1]) | Заява подається разом з податковою декларацією за період, в якому відбулися такі зміни (п. 298.6 ПКУ [1]) | ||
| Місце проведення госпдіяльності | ||||
| Види господарської діяльності | — | — | ||
