Згідно зі ст. 22 Закону про відпустки у разі звільнення працівника до закінчення робочого року, за який він уже отримав відпустку повної тривалості, для покриття його заборгованості роботодавець здійснює відрахування із заробітної плати за дні відпустки, які були надані в рахунок невідпрацьованої частини робочого року.
Механізм заповнення форми № Д4 наведено в Порядку № 435*. Пункт 9 розд. IV цього Порядку дозволяє вносити від’ємні значення сум нарахованої заробітної плати (доходу) тільки при відображенні:
— сум перерахунку заробітку (доходу), пов’язаного з уточненням кількості відпрацьованого часу у зв’язку з відпусткою, тимчасовою непрацездатністю, та допомоги по вагітності та пологах, нарахованими у попередніх періодах;
— сторнованих сум відпускних, допомоги з тимчасової непрацездатності і по вагітності та пологах.
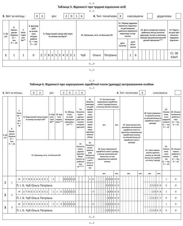
Суму сторнованих відпускних, які були надані в рахунок невідпрацьованої частини робочого року, у таблиці 6 звіту за формою № Д4 зазначать окремо від заробітної плати. При цьому проставляють:
— у графі 10 — код типу нарахувань «10»;
— у графі 11 — місяць, за який було проведено нарахування відпускних;
— у графі 15 — кількість днів відпустки, за які проводяться відрахування, зі знаком «мінус»;
— у графах 17 і 18 — суму відпускних також зі знаком «мінус»;
— у графі 20 — суму утриманого ЄСВ зі знаком «мінус», якщо надміру використані дні щорічної відпустки припадають на період до 01.01.2016 р.;
— у графі 21 — суму нарахованого ЄСВ зі знаком «мінус» за ставкою, що діяла на момент нарахування відпускних, які зараз сторнуються.
Використовуючи умови запитання, припустимо, що підприємство нараховує відпускні окремо за кожний місяць, на який припадає відпустка (тобто відпускні за дні відпустки у грудні-2015 було нараховано у грудні минулого року, а за дні відпустки в січні-2016 — відповідно у січні цього року). Сума відпускних за дні відпустки:
— у грудні 2015 року, які було надано в рахунок невідпрацьованої частини робочого року, — 680,00 грн. (ЄСВ у частині нарахувань (ставка 37,26 %) — 253,37 грн., у частині утримань — 24,48 грн.);
— у січні 2016 року — 1020,00 грн. (ЄСВ у частині нарахувань (ставка 22 %) — 224,40 грн. «Утримань» немає).
Сума заробітної плати, нарахованої за фактично відпрацьовані дні березня, — 2500,00 грн. (ЄСВ у частині нарахувань — 550,00 грн.).
Наведемо фрагменти таблиць 1, 5 і 6 звіту за формою № Д4 за березень 2016 року.


