1.1. Санкції, що застосовують до суб’єктів господарювання
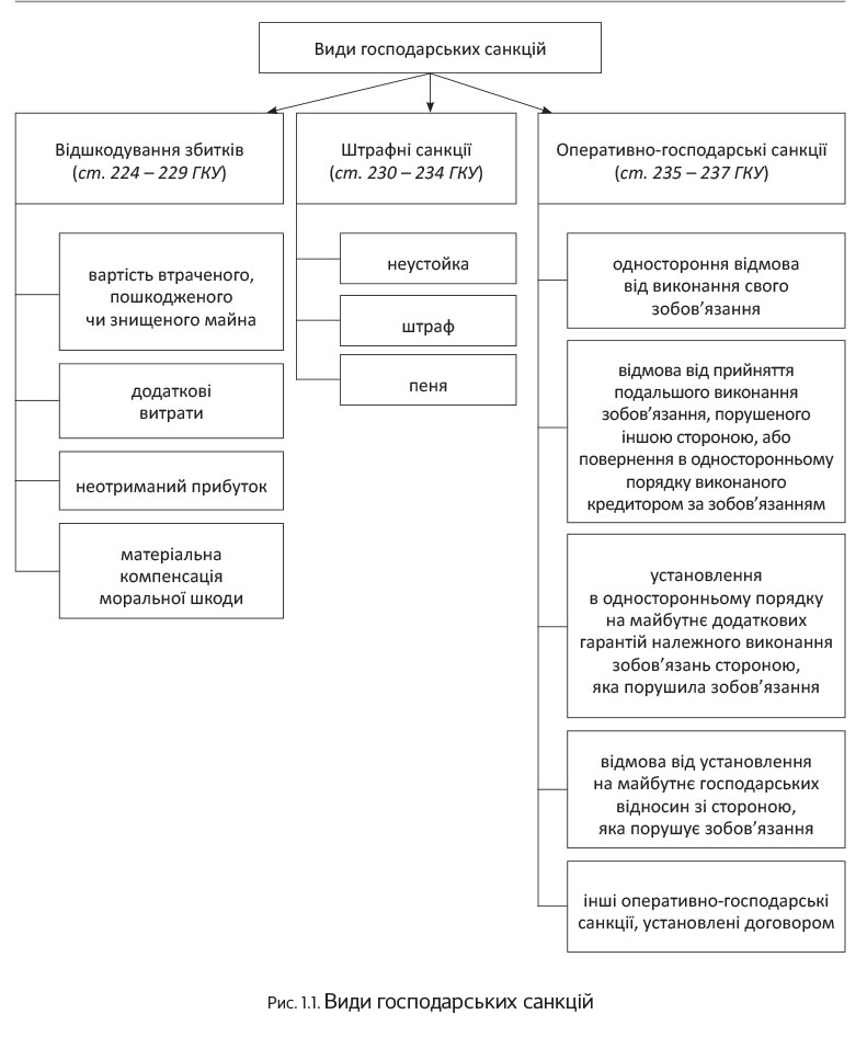
До юросіб і фізосіб-підприємців можуть бути застосовані господарські та адміністративно-господарські санкції. При цьому господарські санкції застосовують самі учасники господарських відносин, а адміністративно-господарські — уповноважені органи державної влади або органи місцевого самоврядування ( ч. 4 ст. 217 ГКУ). Одразу зазначимо, що господарські санкції, які можуть застосовувати один до одного суб’єкти господарювання, не є предметом розгляду цього спецвипуску, а тому обмежимося їх переліком (див. рис. 1.1 на с. 5).

А ось на видах адміністративно-господарських санкцій зупинимося детальніше. ГКУ визначає їх як заходи організаційно-правового або майнового характеру, спрямовані на припинення правопорушення суб’єкта господарювання та ліквідацію його наслідків ( ч. 1 ст. 238 ГКУ). Види таких санкцій перелічено у ст. 239 ГКУ. Пропонуємо ознайомитися з ними в табл. 1.1 на с. 6.
Таблиця 1.1. Види адміністративно-господарських санкцій
№ з/п | Вид адміністративно-господарських санкцій | Примітка |
1 | Вилучення прибутку (доходу) | Цей вид санкцій передбачає вилучення в дохід відповідного бюджету ( ч. 1 ст. 240 ГКУ): — суми прибутку суб’єкта господарювання, отриманого внаслідок порушення встановлених законодавством правил здійснення госпдіяльності; — суми прихованого (заниженого) прибутку (доходу) суб’єкта господарювання; — суми податку, не сплаченого за прихований об’єкт оподаткування |
2 | Адміністративно-господарський штраф | Ця санкція є грошовою сумою, яку суб’єкт господарювання сплачує до відповідного бюджету в разі порушення ним установлених правил здійснення госпдіяльності. Нерідко такий штраф застосовують одночасно з іншими адміністративно-господарськими санкціями |
3 | Стягнення зборів (обов’язкових платежів) | Таке стягнення здійснюють органи ДФСУ у випадках, порядку і розмірах, установлених ПКУ та іншими законами України |
4 | Застосування антидемпінгових заходів | Такі заходи застосовують у випадках, коли суб’єкт господарювання внаслідок здійснення зовнішньоекономічної діяльності (далі — ЗЕД) одержує незаконну перевагу на ринку України, що завдало шкоди економіці України або спричинило загрозу виникнення такої шкоди |
5 | Припинення експортно-імпортних операцій | Таку санкцію можуть спричинити недобросовісна конкуренція суб’єкта господарювання, який здійснює експортно-імпортні операції, розміщення ним валютних цінностей з порушенням установленого законодавством порядку на рахунках і вкладах за межами України, а також інші дії учасників ЗЕД, що завдають шкоди економіці України |
6 | Застосування індивідуального режиму ліцензування | Цю санкцію застосовують за порушення суб’єктом господарювання правил здійснення ЗЕД щодо антимонопольних заходів, заборони недобросовісної конкуренції та інших правил, якими встановлено певні обмеження або заборони у здійсненні ЗЕД |
7 | Припинення дії ліцензії | Таку санкцію можуть застосовувати до суб’єктів господарювання, які здійснюють діяльність, що підлягає ліцензуванню, у разі порушення умов та правил ведення відповідного виду діяльності |
8 | Анулювання ліцензії | Анулювання ліцензії означає позбавлення ліцензіата органом ліцензування права на здійснення певного виду господарської діяльності. Такий санкційний захід застосовують у випадках порушення суб’єктом господарювання законодавства у сфері ліцензування. Підстави для анулювання ліцензії установлено ст. 21 Закону про ліцензування |
9 | Обмеження або припинення діяльності суб’єкта господарювання | Ці види адміністративно-господарських санкцій можуть бути застосовані до: — суб’єктів господарювання, які здійснюють свою діяльність з порушенням екологічних вимог; — підприємств торгівлі, громадського харчування та сфери послуг, які неодноразово допускали реалізацію недоброякісних товарів або систематично порушують установлені законодавством правила торгівлі та надання послуг чи умови зберігання і транспортування товарів; — суб’єктів господарювання, які виробляють продукцію (виконують роботи, надають послуги), відвантажують або реалізують товари, що не відповідають вимогам нормативних актів |
10 | Ліквідація суб’єкта господарювання | Таку санкцію застосовують до суб’єктів господарювання, діяльність яких суперечить закону або їх установчим документам. Ліквідація суб’єкта господарювання можлива тільки за рішенням суду |
Крім перелічених, застосовують й інші адміністративно-господарські санкції, передбачені законами України. Зокрема, до таких санкцій можна віднести пеню.
Зауважимо, що відповідальність суб’єктів господарювання, які є фізособами, не обмежується тільки господарськими та адміністративно-господарськими санкціями. Їм може загрожувати також адміністративна та кримінальна відповідальність. Про це — у наступному підрозділі.
1.2. Санкції для фізичних осіб
За порушення у сфері господарювання також може настати адміністративна або кримінальна відповідальність. Щоправда, загрожує вона тільки фізичним особам, а саме працівникам суб’єктів господарювання і самозайнятим особам.
Майте на увазі: за низку порушень адміністративна і кримінальна відповідальність може застосовуватися тільки до посадових (службових) осіб. У зв’язку з цим зазначимо, що, на думку Верховного Суду України, фізособа-підприємець (далі — ФОП), яка зареєстрована відповідно до закону та здійснює господарську діяльність, не може визнаватися службовою особою (абзац другий п. 5 постанови Пленуму ВСУ від 08.10.2004 р. № 15). Отже,
до ФОП не можуть застосовуватися заходи адміністративної або кримінальної відповідальності, суб’єктом яких визначено виключно посадову (службову) особу
Які види санкцій можуть загрожувати фізособам за порушення у сфері господарювання, ми розглянемо у цьому підрозділі.
Адміністративні стягнення
Адміністративні стягнення за вчинення адміністративних правопорушень застосовують на підставі КУпАП. Види адміністративних стягнень перелічено у ст. 24 цього Кодексу. Цікаво, що одні з них застосовуються тільки як основні або тільки як додаткові стягнення, а інші — і як основні, і як додаткові. При цьому за одне адміністративне правопорушення може бути накладене тільки одне основне або основне і додаткове стягнення. Ознайомитися ближче з видами адміністративних санкцій за порушення у сфері господарювання ви можете за допомогою табл. 1.2 на с. 8.
Таблиця 1.2. Види адміністративних стягнень за порушення у сфері господарювання
№ з/п | Вид адміністративного стягнення | Примітка |
1 | Попередження | Попередження виносять у письмовій формі або в окремих випадках фіксують іншим установленим способом |
2 | Штраф | Штраф є грошовим стягненням. Він може накладатися як за рішенням суду (у результаті розгляду адмінсправи), так і контролюючими органами (у передбачених законом випадках і в установленому порядку) |
3 | Оплатне вилучення предмета, який став знаряддям вчинення або безпосереднім об’єктом адміністративного правопорушення | Такий вид стягнення передбачає примусове вилучення предмета, який став знаряддям вчинення або безпосереднім об’єктом адміністративного правопорушення, за рішенням суду з подальшою його реалізацією та переданням вирученої суми колишньому власнику (за вирахуванням витрат на реалізацію вилученого предмета) |
4 | Конфіскація предмета, що став знаряддям вчинення або безпосереднім об’єктом адміністративного правопорушення | Цей вид стягнення передбачає примусову безоплатну передачу предмета, що став знаряддям вчинення або безпосереднім об’єктом адміністративного правопорушення, у власність держави. При цьому конфіскувати можуть тільки предмет, що перебуває у приватній власності порушника (якщо інше не встановлено законами України), і тільки за рішенням суду |
5 | Конфіскація грошових коштів, отриманих у результаті вчинення адміністративного правопорушення | Застосування такого стягнення передбачає примусову безоплатну передачу грошових коштів, отриманих у результаті вчинення адміністративного правопорушення, у власність держави за рішенням суду |
6 | Позбавлення спеціального права, наданого громадянину | Цей вид стягнення виражається в позбавленні права управління транспортними засобами або права полювання за грубе чи систематичне порушення порядку користування таким правом |
7 | Позбавлення права обіймати певні посади або займатися певною діяльністю | Таке стягнення застосовують, якщо: — позбавлення такого права передбачене у санкції статті (частині статті) КУпАП або — з урахуванням характеру адміністративного правопорушення, вчиненого за посадою, особи, яка вчинила адміністративне правопорушення, та інших обставин справи суд визнає неможливим збереження за такою особою права обіймати певні посади або займатися певною діяльністю |
8 | Громадські роботи | Громадські роботи полягають у виконанні особою, яка вчинила адміністративне правопорушення, у вільний від роботи або навчання час безоплатних суспільно корисних робіт, вид яких визначають органи місцевого самоврядування. Громадські роботи призначаються за рішенням суду на строк від 20 до 60 годин і проводяться не більш як 4 години на день |
9 | Виправні роботи | Виправні роботи особа, яка вчинила адміністративне правопорушення, відбуває за місцем своєї постійної роботи. При цьому частина її заробітку (до 20 %) за цей час відраховується в дохід держави. Такі роботи призначає суд строком до 2 місяців |
10 | Адміністративний арешт | Такий вид стягнення застосовують тільки у виняткових випадках за окремі види адміністративних правопорушень. Строк адмінарешту встановлює суд, але він не може бути більше 15 діб |
Законами України можуть установлюватися й інші, крім вищезазначених, види адміністративних стягнень ( ч. 2 ст. 24 КУпАП).
Зверніть увагу: оплатне вилучення та конфіскацію предметів можуть застосовувати і як основне, і як додаткове адмінстягнення. У свою чергу, позбавлення права обіймати певні посади або займатися певною діяльністю застосовують тільки як додаткове стягнення. А ось усі інші адміністративні стягнення, наведені в табл. 1.2, застосовують тільки як основні.
Кримінальні покарання
Усе про кримінальні покарання знає ККУ. До нього і звернемося. Так, види покарань, які можуть застосовуватися до осіб, визнаних винними у вчиненні кримінального злочину, установлено ст. 51 ККУ. З тими з них, які можуть бути застосовані за порушення у сфері господарювання, ми вас зараз ознайомимо (див. табл. 1.3).
Таблиця 1.3. Види кримінальних покарань
№ з/п | Вид кримінального покарання | Примітка |
1 | Штраф | Розмір штрафу встановлює суд залежно від тяжкості вчиненого злочину та з урахуванням майнового стану винної особи і граничних розмірів, установлених ККУ* |
* В окремих випадках такі граничні розміри не враховують, а штраф призначають у сумі не меншій, ніж розмір майнової шкоди, завданої злочином, або отриманого внаслідок вчинення злочину доходу. | ||
2 | Позбавлення права обіймати певні посади або займатися певною діяльністю | Таке покарання може бути призначене як додаткове навіть у разі, якщо воно прямо не передбачене в санкції статті (частини статті) ККУ. Це можливо за умови, що з урахуванням характеру злочину, особи засудженого та інших обставин справи суд визнає неможливим збереження за такою особою права обіймати певні посади або займатися певною діяльністю |
3 | Громадські роботи | На відміну від «адміністративних» громадських робіт, «кримінальні» громадські роботи установлюють на триваліший строк — від 60 до 240 годин, і вони також не можуть проводитися більше 4 годин на день |
4 | Виправні роботи | Виправні роботи встановлюють на строк від 6 місяців до 2 років. Відбуває їх засуджена особа за місцем своєї роботи. При цьому частина заробітку такої особи, установлена судом (10 — 20 %), відраховується в дохід держави |
5 | Конфіскація майна | Покарання у вигляді конфіскації майна полягає у примусовому безоплатному вилученні у власність держави всього або частини майна, яке є власністю засудженого. Установлюють таке покарання тільки за тяжкі та особливо тяжкі корисливі злочини, а також за злочини проти основ національної безпеки України та громадської безпеки |
6 | Арешт | Такий вид покарання полягає у триманні засудженого в умовах ізоляції і встановлюється на строк від 1 до 6 місяців |
7 | Обмеження волі | Обмеження волі полягає у триманні особи в кримінально-виконавчих установах відкритого типу без ізоляції від суспільства в умовах здійснення за нею нагляду з обов’язковим залученням засудженого до праці. Строк обмеження волі — від 1 до 5 років |
8 | Позбавлення волі | Покарання у вигляді позбавлення волі полягає в ізоляції засудженого та поміщенні його на певний строк до кримінально-виконавчих установ закритого типу. Строк позбавлення волі, за деякими винятками, — від 1 до 15 років |
Як і у випадку з адміністративними стягненнями, кримінальні покарання діляться на основні та додаткові. Тільки основними покараннями можуть бути: громадські та виправні роботи, арешт, обмеження та позбавлення волі. Конфіскація майна, навпаки, застосовується тільки як додаткове покарання. А ось штраф і позбавлення права обіймати певні посади або займатися певною діяльністю можуть застосовуватися і як основне, і як додаткове покарання.
За один злочин може бути призначене тільки одне основне покарання
На додачу до нього суд може приєднати одне або декілька додаткових покарань у випадках і в порядку, передбачених ККУ.
висновки
-
До суб’єктів господарювання (юросіб і ФОП) можуть застосовуватися господарські та адміністративно-господарські санкції.
-
Господарські санкції застосовують самі учасники господарських відносин, а адміністративно-господарські — уповноважені органи державної влади або органи місцевого самоврядування.
-
Працівників суб’єктів господарювання і самозайнятих осіб за порушення у сфері господарювання можуть притягнути до адміністративної або кримінальної відповідальності.
-
Адміністративні стягнення і кримінальні покарання діляться на основні та додаткові. Окремі їх види можуть застосовуватися тільки як основні, інші — тільки як додаткові, а деякі — і як основні, і як додаткові.
