Всі сайти
Factor
Електронні версії
бухгалтерських журналів
FactorAcademy
Онлайн курси,
вебінари для бухгалтера
Бухгалтер 911
Бухгалтерський облік, оподаткування, звітність
Бухгалтер.com.ua
Для бухгалтерів
бюджетних установ
FIT-Бюджет
Ведення бухобліку
в бюджетній установі
Розумчик
Знайти бухгалтера
Зв’язатися з нами
Telegram
Viber
Зворотній зв’язок
066 870-10-10
097 780-10-10
063 870-10-10
Реєстрація
Увійти
Вихід
Читайте новини та статті у додатку!
Перейти
Меню
Меню
Статті
Новини
Журнали
Податки & бухоблік
Бюджетна бухгалтерія
Оплата праці
Кадровику
Архівні видання
Книги
Відео
Курси
Обране
Ще
Законодавство
Довідкова
Календар бухгалтера
Акції
Ціни
Допомога та підтримка
Калькулятори
нове
Рос
Укр
Отримати PRO
Заважає реклама? Передплатіть PRO-доступ і не відволікайтесь
Тема тижня
Фінзвітність за 2025
Всі статті по темі
Головна
Журнали
Податки & бухоблік
квітень, 2016/№ 28
Теми статей
Обрати теми
Обрати теми
Податок на прибуток
ПДВ
РРО
ЄСВ
ФОП
Звільнення
Штрафи
ПДФО
Відпустка
Єдиний податок
Лікарняні
Всі теми
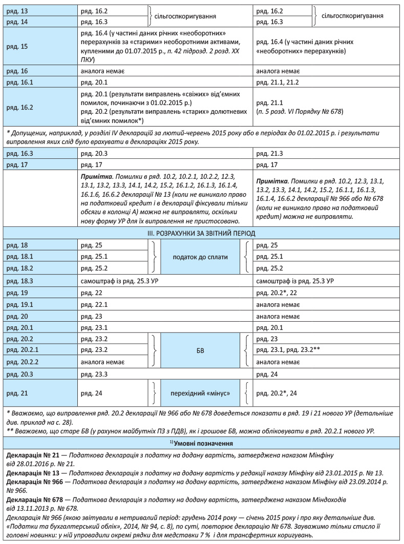
Відповідність рядків нового УР та старих декларацій
Податки & бухоблік
Квітень, 2016/№ 28
В обраному
У обране
Друк
Скопіювати
Скопійовано
Приєднуйтесь до
Telegram спільноти
та дізнавайтесь найважливіші новини першими!
Теги
декларація
уточнюючий розрахунок
Наступна публікація
Завантажуйте наш мобільний додаток Factor
Дякуємо, що читаєте нас
Увійдіть і читайте далі
Увійти