Працівники держорганів та ОМС

Працівники сфери освіти

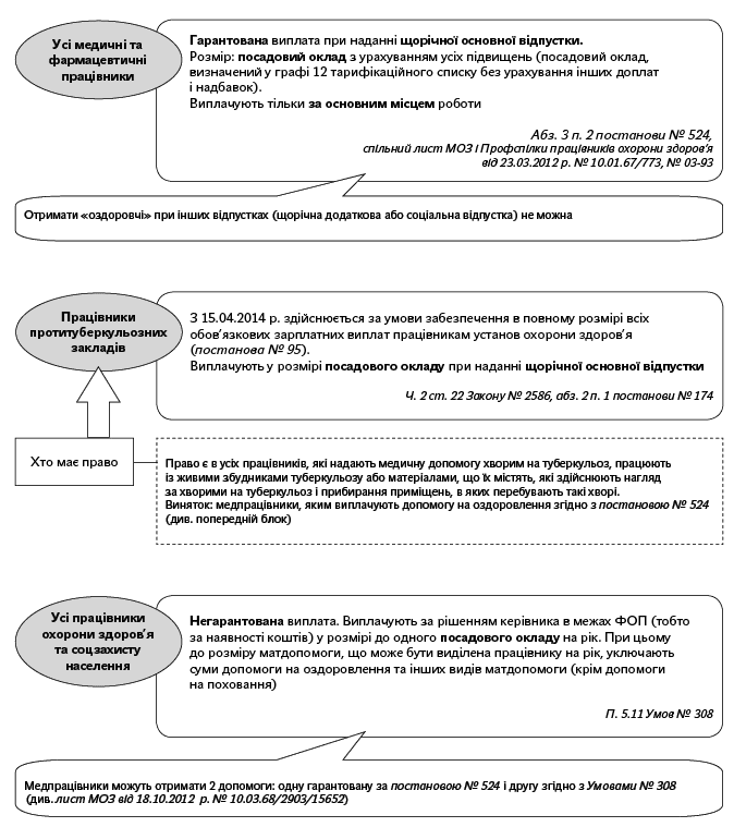
Працівники сфери охорони здоров’я та соцзахисту

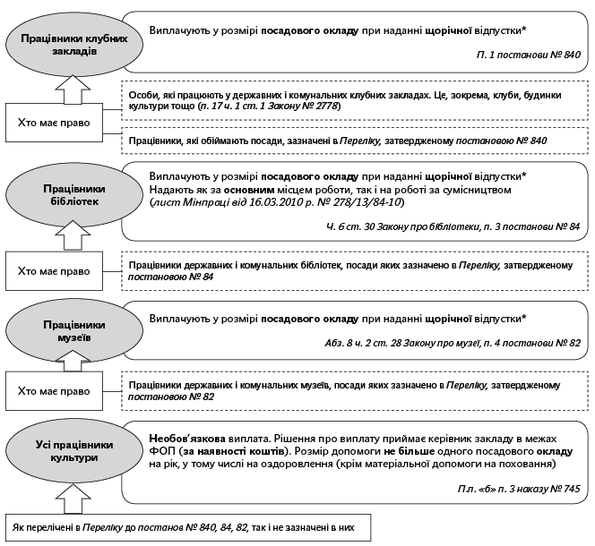
Працівники культури

Інші працівники бюджетної сфери

* Виплачують у порядку та розмірах, установлених КМУ, виходячи з наявних фінансових ресурсів державного та місцевого бюджетів.
Десяток «оздоровчих» правил
Здавалося б, допомога до відпустки одна, та яке розмаїття таїть вона в собі… Але й основні правила, властиві всім видам «оздоровчих», є. Не томитимемо вас — наведемо їх нижче.

Використані документи І скорочення
КЗпП — Кодекс законів про працю України від 12.10.71 р. № 322-VIII.
Закон № 3723 — Закон України «Про державну службу» від 16.12.93 р. № 3723-XII.
Закон № 2493 — Закон України «Про службу в органах місцевого самоврядування» від 07.06.2001 р. № 2493-III.
Закон № 1060 — Закон України «Про освіту» від 23.05.91 р. № 1060-XII.
Закон про відпустки — Закон України «Про відпустки» від 15.11.2996 р. № 504/96-ВР.
Закон про бібліотеки — Закон України «Про бібліотеки та бібліотечну справу» від 27.01.95 р. № 32/95-ВР.
Закон про музеї — Закон України «Про музеї та музейну справу» від 29.06.95 р. № 249/95-ВР.
Закон № 2586 — Закон України «Про протидію захворюванню на туберкульоз» від 05.07.2001 р. № 2586-III.
Закон № 2778 — Закон України «Про культуру» від 14.12.2010 р. № 2778-VI.
Постанова № 268 — постанова КМУ «Про впорядкування структури та умов оплати праці працівників апарату органів виконавчої влади, органів прокуратури, судів та інших органів» від 09.03.2006 р. № 268.
Постанова № 82 — постанова КМУ «Про реалізацію окремих положень частини другої статті 28 Закону України «Про музеї та музейну справу» від 22.01.2005 р. № 82.
Постанова № 1298 — постанова КМУ «Про оплату праці працівників на підставі Єдиної тарифної сітки розрядів і коефіцієнтів з оплати праці працівників установ, закладів та організацій окремих галузей бюджетної сфери» від 30.08.2002 р. № 1298.
Постанова № 95 — постанова КМУ «Деякі питання оплати праці працівників закладів охорони здоров’я» від 25.03.2014 р. № 95.
Постанова № 840 — постанова КМУ «Про виплату працівникам державних і комунальних клубних закладів допомоги для оздоровлення та матеріальної допомоги для вирішення соціально-побутових питань» від 15.09.2010 р. № 840.
Постанова № 84 — постанова КМУ «Про затвердження Порядку виплати доплати за вислугу років працівникам державних і комунальних бібліотек» від 22.01.2005 р. № 84.
Постанова № 174 — постанова КМУ «Деякі питання оплати праці працівників протитуберкульозних установ» від 20.03.2013 р. № 174.
Постанова № 524 — постанова КМУ «Питання оплати праці працівників установ, закладів та організацій окремих галузей бюджетної сфери» від 11.05.2011 р. № 524.
Наказ № 77 — наказ Мінпраці «Про умови оплати праці робітників, зайнятих обслуговуванням органів виконавчої влади, місцевого самоврядування та їх виконавчих органів, органів прокуратури, судів та інших органів» від 02.10.96 р. № 77.
Наказ № 557 — наказ Міносвіти «Про впорядкування умов оплати праці та затвердження схем тарифних розрядів працівників навчальних закладів, установ освіти та наукових установ» від 26.09.2005 р. № 557.
Умови № 308 — Умови оплати праці працівників закладів охорони здоров’я та установ соціального захисту населення, затверджені наказом Мінпраці та МОЗ від 05.10.2005 р. № 308/519.
Наказ 745 — наказ Міністерства культури і туризму «Про впорядковування умов оплати праці працівників культури на підставі Єдиної тарифної сітки» від 18.10.2005 р. № 745.
Перелік № 963 — Перелік посад педагогічних та науково-педагогічних працівників, затверджений постановою КМУ від 14.06.2000 р. № 963.
Інструкція № 5 — Інструкція зі статистики заробітної плати, затверджена наказом Державного комітету статистики України від 13.01.2004 р. № 5.
ОМС — органи місцевого самоврядування.
ФОП — фонд оплати праці.
