Спільна діяльність: проблеми податкового та бухгалтерського обліку
Влада Карпова, консультант
Легітимність укладення договорів спільної діяльності, у тому числі при будівництві житла, на сьогодні підтверджують і офіційні органи1. Разом з тим при виборі цієї форми договірних відносин слід ураховувати можливі ризики фінансових втрат через неврегульованість нових правил оподаткування. Додає проблем і новий бухгалтерський облік таких договорів. Про це і йтиметься в цій статті.
ДОКУМЕНТИ СТАТТІ
НКУ
— Податковий кодекс України від 02.12.2010 р. № 2755-VI.ГКУ
— Цивільний кодекс України від 16.01.2003 р. № 435-IV.Закон про податок на прибуток
— Закон України «Про оподаткування прибутку підприємств» у редакції від 22.05.97 р. № 283/97-ВР.Указ № 746/99
— Указ Президента України «Про спрощену систему оподаткування, обліку та звітності суб'єктів малого підприємництва» в редакції від 28.06.99 р. № 746/99.Порядок № 113
— Порядок ведення обліку результатів спільної діяльності без створення юридичної особи, затверджений наказом ДПАУ від 28.02.2011 р. № 113.Положення № 978
— Положення про реєстрацію платників податку на додану вартість, затверджене наказом ДПАУ від 22.12.2010 р. № 978.Порядок № 979
— Порядок обліку платників податків, зборів, затверджений наказом ДПАУ від 22.12.2010 р. № 979.Порядок № 552
— Порядок обліку платників податків, зборів (обов'язкових платежів) у редакції наказу ДПАУ від 17.11.98 р. № 552.П(С)БО 12
— Положення (стандарт) бухгалтерського обліку 12 «Фінансові інвестиції», затверджене наказом МФУ від 26.04.2000 р. № 91.П(С)БО 20
— Положення (стандарт) бухгалтерського обліку 20 «Консолідована фінансова звітність», затверджене наказом Міністерства фінансів України від 30.07.99 р. № 176.
1 Див., наприклад, лист Мінрегіонбуду від 05.01.2011 р. № 16-12/42/0/6-11 // «Будівельна бухгалтерія», 2011, № 13, с. 12.
1. Проблеми податкового обліку СД
Договори СД та їх реєстрація в податкових органах
Питання з узяттям на облік в органах ДПС договорів СД має принципове значення, оскільки, крім податкового обліку, це впливає ще й на легітимність укладених договорів. На практиці траплялися випадки, коли договори СД, не взяті на облік у ДПІ, намагалися визнати недійсними самі зацікавлені учасники СД2, причому інколи на цій підставі позови задовольнялися.
2 Див., зокрема, рішення Рівненського міськсуду від 18.03.2008 р. у справі № 2-2441/08, госпсуду Дніпропетровської області від 15.05.2007 р. у справі № 32/150-07, госпсуду Донецької області від 13.07.2009 р. у справі № 40/65, госпсуду АР Крим від 07.10.2009 р. у справі № 2-27/872,2-2009, ухвалу Львівського апеляційного суду від 15.06.2009 р. у справі № 22ц-1060/09.
Правила реєстрації договору СД в органах ДПС викладено в
п. 64.6 ПКУ, де передбачається таке: «На обліку в органах державної податкової служби повинні перебувати <...> договори про спільну діяльність на території України без створення юридичних осіб, на яких поширюються особливості податкового обліку та оподаткування спільної діяльності, визначені цим Кодексом»3.3 Докладніше про документацію, потрібну при взятті договору СД на облік в органах ДПС, див. у статті «Реєстрація договору про спільну діяльність» // «Будівельна бухгалтерія», 2011, № 13, с. 21.
Фактично раніше застосовувалися аналогічні правила, з тією лише різницею, що взяттю на облік підлягали договори СД, які відповідають положенням
п.п. 7.7.1 Закону про податок на прибуток (це було передбачено останнім абз. п.п. 4.12.3 Порядку № 552). Однак якщо в п.п. 7.7.1 Закону про податок на прибуток наводилися чіткі критерії договорів СД, що оподатковувалися за «прибутковими» правилами4, то в ПКУ таких немає.4
У п.п. 7.7.1 Закону про податок на прибуток установлювалося: «Спільна діяльність без створення юридичної особи провадиться на підставі договору про спільну діяльність, що передбачає об’єднання коштів або майна учасників для досягнення спільної господарської мети». Тобто взяттю підлягали договори, що передбачають об’єднання коштів або майна учасників та спрямовані на досягнення господарської мети.Із положень
п.п. 153.14.3 ПКУ можна зробити лише непрямий висновок, що договори СД повинні передбачати отримання прибутку, а відповідно до п.п. 153.14.2 ПКУ уповноваженою особою має бути платник податку на прибуток. Це підтверджується й нормами п. 1.7 Порядку № 979, згідно з якими: «уповноважена особа — учасник договору (контракту) про спільну діяльність (далі — договір про спільну діяльність) — юридична особа, зареєстрована в Україні відповідно до Закону України «Про державну реєстрацію юридичних осіб та фізичних осіб — підприємців» (далі — Закон), або її філія, яка є платником податку на прибуток і уповноважена вести облік результатів спільної діяльності іншими сторонами згідно з умовами договору про спільну діяльність»5.5 Хоча слід зауважити, що в цьому питанні податківці непослідовні. Зокрема, у ЄБПЗ, розділ 110.01 було розміщено таку консультацію: «Обмежень щодо статусу особи, уповноваженої вести облік результатів діяльності на підставі договору про спільну діяльність, пунктом 153.14 ст. 153 ПКУ не передбачено. Отже, облік результатів спільної діяльності особами — платниками фіксованого сільськогосподарського податку, які уповноважені вести такий облік, здійснюється за загальними правилами». Ми вважаємо такий підхід неправильним, оскільки пріоритет тут мають норми п. 1.7 Порядку № 979.
Таким чином, можна зробити висновок, що взяттю на облік в органах ДПС підлягають договори, за якими хоча б один з учасників (уповноважена особа) є платником податку на прибуток, а інші особи — суб'єктами господарської діяльності6 (юридичні особи або фізичні особи — підприємці).
6 Це випливає з того, що в разі об’єднання внесків для цілей отримання прибутку, на думку правознавців, учасниками СД можуть бути лише суб’єкти господарювання, фізичні особи — підприємці або юридичні особи, оскільки підприємницьку діяльність можуть вести лише суб’єкти господарювання.
Аналогічної позиції дотримуються й податківці. Зокрема, у
роз'ясненні в ЄБПЗ (розділ 040.03) було зазначено таке: «Договори про спільну діяльність між:— юридичною особою та фізичною особою, яка не є підприємцем;
— двома фізичними особами — підприємцями;
— суб’єктами господарювання без об’єднання вкладів учасників не підлягають обліку в органах ДПС. Кожен учасник таких договорів перебуває на обліку в органах державної податкової служби та виконує обов'язки платника податків самостійно. Договори про спільну діяльність між юридичною особою та фізичною особою — підприємцем повинні перебувати на обліку в органах ДПС».
Додамо також, що не підлягають обліку в органах ДПС договори СД, в яких хоча б один учасник є неприбутковою організацією. Крім того, податківці не ставлять на облік договори СД без об'єднання вкладів учасників унаслідок того, що вони не можуть здійснити процедуру стягнення податкового боргу. Тому, як і раніше, в участі в СД можуть відмовити юридичним особам — єдиноподатникам виходячи з того, що згідно зі
ст. 7 Указу № 746/99 його дія не поширюється на СД, визначену п. 7.7 Закону про податок на прибуток (і хоча ці норми втратили чинність, суть залишилася колишньою).А для фізичних осіб — підприємців, які перебувають на загальній системі оподаткування, участь в СД є невигідною з позиції оподаткування, оскільки за відсутності норм, що пільгують ці операції, у них суми отриманого від СД прибутку підпадатимуть під обкладення податком на доходи фізичних осіб.
Виходить, що серед учасників «прибуткових» СД залишаються юридичні особи — платники податку на прибуток і суб'єкти господарювання — платники єдиного податку, хоча і з ними аж ніяк не все бездоганно (докладніше про це див. нижче).
СД: чи можна стати платником ПДВ?
Не менш важливе запитання і з можливістю реєстрації договору СД платником ПДВ, оскільки, як правило, з метою мінімізації втрат податкового кредиту з ПДВ7 учасники зацікавлені в її проведенні. Однак виходячи з чинних на сьогодні правил цілком може виявитися, що СД залишиться без податкового кредиту, оскільки особливих правил реєстрації для таких договорів не передбачено, а загальні норми для них не підходять.
7 Якщо СД не буде платником ПДВ, то передача в СД майнових внесків в учасників обкладатиметься ПДВ, а при поверненні вкладів не буде права на податковий кредит.
Нагадаємо, що виходячи з положень
ПКУ реєстрація платником ПДВ може провадитися в обов'язковому та добровільному порядку.Обов'язкова реєстрація здійснюється згідно з
п. 181.1 ПКУ за умови, що загальна сума від здійснення операцій з поставки товарів/послуг, що підлягають оподаткуванню, нарахована (сплачена) такій особі протягом останніх 12 календарних місяців, сукупно перевищує 300000 грн. (без урахування ПДВ). Отже, для обов'язкової реєстрації обсяг оподатковуваних операцій має перевищити 300 тис. грн.Добровільна реєстрація здійснюється за нормами
п. 182.1 ПКУ при дотриманні таких умов:— особа здійснює оподатковувані операції та відповідно до
п. 181.1 ПКУ не є платником податку у зв'язку з тим, що обсяги оподатковуваних операцій менше установленої зазначеною статтею суми (300 тис. грн.), та— обсяги поставки товарів/послуг іншим платникам ПДВ за останні 12 календарних місяців сукупно становлять не менше 50 відсотків загального обсягу поставок.
При цьому слід ураховувати, що стосовно СД-обліку платником ПДВ фактично підлягає сам договір СД (хоча реєструє його уповноважена особа), тобто така реєстрація обмежена у строках. Тож виходить, що до досягнення обсягу поставок у 300 тис. грн. СД (як уповноважена особа) може пройти добровільну реєстрацію лише після закінчення 12 календарних місяців, та й те, якщо поставка робіт, послуг при цьому здійснюється переважно платникам ПДВ. Зрозуміло, що у сфері будівництва більшість СД цим критеріям не відповідають, унаслідок чого вони ризикують залишитися без податкового кредиту з ПДВ.
На нашу думку, сміливі платники можуть спробувати відстояти своє право на добровільну реєстрацію платниками ПДВ без дотримання умов з
п. 182.1 ПКУ, але для цього, очевидно, доведеться звертатися до суду. Аргументація може бути такою. У переліку платників ПДВ, наведеному в п. 180.1 ПКУ, договори СД виділено до окремої групи. Зокрема, там зазначено таких осіб, як:1) «будь-яка особа, що провадить господарську діяльність і реєструється за своїм добровільним рішенням як платник податку у порядку, визначеному статтею 183 цього розділу;
2) будь-яка особа, що зареєстрована або підлягає реєстрації як платник податку;
<...>
4) особа, що веде облік результатів діяльності за договором про спільну діяльність без утворення юридичної особи».
Отже, за нормами зазначеної
статті договори СД не потрапляють ні до обов'язкових, ні до добровільних платників ПДВ — їх виділено окремо. Аналогічні принципи закладено і в Положенні № 978, в якому серед платником ПДВ перелічені:«
5.1. Будь-яка особа, що провадить господарську діяльність і реєструється за своїм добровільним рішенням як платник податку у порядку, визначеному статтею 183 розділу V Кодексу.5.2. Будь-яка особа, що зареєстрована або підлягає реєстрації як платник податку.
<...>
5.4. Особа, що веде облік результатів діяльності за договором про спільну діяльність без утворення юридичної особи».
При цьому згідно з
п. 4.1 Положення № 978: «Для цілей оподаткування дві чи більше осіб, які здійснюють спільну діяльність без утворення юридичної особи, вважаються окремою особою у межах такої діяльності.Облік результатів спільної діяльності ведеться платником податку, уповноваженим на це іншими сторонами згідно з умовами договору, окремо від обліку господарських результатів такого платника податку».
Виходячи з цих норм можна стверджувати, що стосовно договорів СД мають застосовуватися
особливі правила добровільного взяття на облік як платників ПДВ, а саме відразу після реєстрації таких договорів в органах ДПС.Не виключено, що податківці відмовлять у добровільній реєстрації без дотримання умов
п. 182.1 ПКУ , оскільки в листі ДПАУ від 14.02.2011 р. № 4021/7/16-1417 зазначалося таке: «особи, що ведуть облік результатів діяльності за договорами про спільну діяльність без утворення юридичної особи <...> можуть бути зареєстровані як платники податку на додану вартість як в обов'язковому порядку (при дотриманні вимог статті 181 розділу V Кодексу), так і за їх добровільним рішенням (при дотриманні вимог статті 182 розділу V Кодексу)».Однак такий підхід можна оскаржити з таких підстав. По-перше,
Мін'юст у листі від 28.04.2011 р. № 3915-0-4-11/101 запропонував ДПАУ відкликати зазначений лист унаслідок того, що ним фактично уточнено порядок реєстрації особи як платника ПДВ та анулювання такої реєстрації.По-друге, виходячи з норм
п. 183.8 ПКУ підставами для відмови в реєстрації особи як платника податку є лише такі:— особа не здійснює поставку товарів/послуг;
—
особа не відповідає вимогам, визначеним ст. 180, пп. 181.1, 182.1 і 183.7 ПКУ, або існують обставини, що є підставою для анулювання реєстрації згідно зі ст. 184 ПКУ.У ситуації, що розглядається, СД відповідають вимогам
п. 4 ст. 180 ПКУ, тому таким особам не повинні відмовити в добровільній реєстрації платниками ПДВ. Хоча, повторимося, що цей шлях доведення — тернистий та прийнятний лише для сміливих платників.
Податок на прибуток та СД — неприємні новації
Найнеприємнішим моментом у частині обкладення податком на прибуток діяльності СД стало те, що в
ПКУ не передбачено окремих норм, що звільняють від оподаткування в учасника частину розподіленого прибутку від діяльності СД. Якщо раніше такий прибуток не підпадав під оподаткування згідно з нормами п.п. 4.2.11 Закону про податок на прибуток, то тепер подібних положень немає. На цей момент звернули увагу й податківці, які в роз'ясненні з ЄБПЗ у розділі 110.21 зауважили: «частина прибутку від спільної діяльності, отримана платником податку — учасником спільної діяльності, включається до доходу такого платника податку як інші доходи за звітний період на підставі п.п. 135.5.14 п. 135.5 ст. 135 ПКУ».Проблему з такою формальною інтерпретацією породили самі законодавці, хоча впевнені платники можуть оспорювати факт подвійного оподаткування виходячи з такого. У
п.п. 153.14.3 ПКУ зазначається: «Виплата (нарахування) частини прибутку, отриманого учасниками спільної діяльності, оподатковується за ставкою, встановленою пунктом 151.1 статті 151 цього Кодексу, особою, уповноваженою вести облік результатів спільної діяльності до/або під час такої виплати». Отже, у цьому випадку йдеться про оподаткування прибутку (доходу) учасника СД. Водночас відповідно до положень п. 135.3 ПКУ: «Суми, відображені у складі доходів платника податку, не підлягають повторному включенню до складу його доходів».З цього можна дійти висновку, що повторного включення до оподатковуваних доходів прибутку (доходу), отриманого учасником від діяльності в СД, бути не повинно. Однак з урахуванням наведеної вище консультації податківців викладений шлях відстоювання своїх інтересів можуть вибрати лише сміливі платники, оскільки тут правди, мабуть, доведеться домагатися в суді.
До інших неприємних моментів можна віднести неврегульованість порядку оподаткування діяльності самої СД. Зокрема, як і раніше, у
ПКУ передбачається, що для цілей оподаткування господарські відносини між учасниками СД прирівнюються до відносин на підставі окремих цивільно-правових договорів. Але, незважаючи на те, що про це йдеться відразу у двох законодавчих нормах (пп. 14.1.139 і 153.14.5 ПКУ), у них не уточнюється, про які саме договори йдеться. Раніше цю прогалину заповнювали податківці в Порядку ведення податкового обліку результатів спільної діяльності на території України без створення юридичної особи, затвердженому наказом ДПАУ від 30.09.2004 р. № 571, а от у новому Порядку № 113 аналогічних норм не передбачено.Очевидно, як і раніше, такі взаємовідносини відображатимуться в порядку, установленому для продажу (поставки) відповідних товарів (результатів робіт, послуг). Хоча однозначно можна лише стверджувати, що операція внесення товарів, робіт, послуг учасників в СД у термінах
ПКУ вважається поставкою (абз. «г», «ґ» п. п. 14.1.185 ПКУ, абз. «г» п.п. 14.1.191 ПКУ).Незрозумілий і порядок розподілу витрат, понесених учасником СД одночасно для ведення власної діяльності та для діяльності в СД. У
ПКУ цей момент узагалі не висвітлено, а в п. 5 Порядку № 113 зазначається таке:«У разі коли основні засоби платника податку — учасника спільної діяльності використовуються як у власній господарській діяльності, так і в спільній діяльності, частина амортизаційних відрахувань за цими основними засобами відображається у Податковій декларації про результати спільної діяльності на території України без створення юридичної особи та відповідному додатку до неї в сумі, яка так відноситься до загальної суми нарахованих амортизаційних відрахувань звітного періоду за цими засобами, як сума доходів, отриманих від спільної діяльності, відноситься до загальної суми
таких доходів».Тим часом незрозуміло, що саме слід мати на увазі під «такими доходами», і навіть податківцям важко відповісти в
ЄБПЗ на запитання про порядок проведення такого розподілу.Якщо виходити з аналогії зі старими правилами, то розподіл можна провести так:
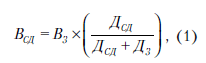
1. Витрати, що одночасно відносяться до СД, і до власної діяльності учасника (наприклад, оренда, комунальні послуги офісу)8:

де
ВСД — сума витрат учасника, що стосуються СД, грн.;В
З — сума витрат учасника, що відносяться одночасно до власної діяльності учасника та до СД, грн.;Д
СД — сума доходів, отриманих від СД, грн.;Д
З — загальна сума доходів учасника, грн.8 Для цілей заповнення декларації з податку на прибуток розрахунок таких витрат бажано наводити в розрізі окремих статей (адміністративні, збутові тощо), а також окремих рядків декларації (додатків до декларації), в яких вони вказуються.
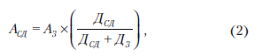
2. Амортизація щодо основних засобів, що використовуються одночасно у спільній та власній діяльності:

де
АСД — сума амортизаційних відрахувань, що припадає на СД, стосовно основного засобу учасника, який використовується одночасно у спільній та у власній діяльності, грн.;А
З — загальна сума амортизаційних відрахувань щодо основного засобу учасника, який використовується одночасно у спільній та у власній діяльності, нарахована за звітний період, грн.В усьому іншому порядок відображення операцій, що здійснюються в межах СД, по суті, не змінився.
Здійснення вкладів
:—
в учасників СД передача в СД товарів, результатів робіт, послуг уключається в доходи за вартістю, зафіксованою в договорі (абз. «г», «ґ» п. п. 14.1.185 ПКУ, абз. «г» п.п. 14.1.191 ПКУ). Ці операції обкладаються ПДВ (п.п. 196.1.7 ПКУ), що підтверджують і податківці (див. роз’яснення з ЄБПЗ у розділі 130.05). Грошові внески не впливають на оподаткування;—
в обліку СД отримані від учасника товари, результати робіт, послуг не включаються в доходи (п.п. 136.1.3 ПКУ 9), але в частині них є право на витрати за вартістю, зафіксованою в договорі. Це випливає з того, що такі операції прирівняні до поставки товарів, робіт, послуг (абз. «г», «ґ» п. п. 14.1.185 ПКУ, абз. «г» п.п. 14.1.191 ПКУ) і стосовно них у ПКУ немає обмежень на віднесення до складу витрат (п.п. 138.12.2 ПКУ). Якщо внесені основні засоби використовуються лише в СД, амортизація щодо них уключається до витрат, якщо ж їх задіяно й у власній діяльності учасника, то для цілей включення в СД амортизація пропорційно розподіляється (див. формулу 2). За такими операціями є право на податковий кредит з ПДВ (п. 198.1 ПКУ)10.9 Згідно з цією нормою для визначення об’єкта оподаткування не враховуються доходи у вигляді «суми коштів або вартість майна, що надходять платнику податку у вигляді прямих інвестицій або реінвестицій у корпоративні права, емітовані таким платником податку, в тому числі грошові або майнові внески згідно з договорами про спільну діяльність на території України без створення юридичної особи».
10 Хоча в цьому пункті йдеться про податковий кредит лише стосовно необоротних активів, на нашу думку, аналогічні норми застосовуються й до товарів, робіт, послуг, оскільки такі операції є поставкою, а не фінінвестицією.
Здійснення витрат для СД учасником
:—
в учасників СД у ситуації, коли витрати одночасно пов'язані з діяльністю учасника та з СД, вони підлягають розподілу пропорційно доходам (див. формулу 1). Витрати, що стосуються СД, у податковому обліку учасника не відображаються;—
в обліку СД до витрат уключаються ті з них, що відносяться до СД та у деяких випадках визначаються на пропорційній основі (див. формулу 1). До податкового кредиту з ПДВ відносяться суми, що припадають на витрати СД.Розподіл прибутку
11:—
в учасника-одержувача ці суми можуть потрапити в доходи (про цю проблему див. вище);—
в обліку СД згідно з Податковою декларацією про результати спільної діяльності на території України без створення юридичної особи виходячи з податкового прибутку обчислюється та сплачується податок на прибуток.11 Хоча, на відміну від правил, що діяли раніше, у п. 153.14 ПКУ вже не йдеться про обов’язковий розподіл прибутку, податківці фактично зберегли такий порядок завдяки особливим правилам обчислення оподатковуваного прибутку в Податковій декларації про результати спільної діяльності на території України без створення юридичної особи, затвердженій наказом ДПАУ від 28.02.2011 р. № 113.
Повернення вкладів
:—
в учасників не включаються в доходи «кошти або майно, які повертаються учаснику договору про спільну діяльність без створення юридичної особи, в разі припинення, розірвання або внесення відповідних змін до договору про спільну діяльність, але не вище вартості вкладу» (п.п. 136.1.14 ПКУ). Сума перевищення вартості вкладу потрапляє в доходи (п.п. 135.5.14 ПКУ). За умови отримання податкової накладної в частині повернених майнових внесків є право на податковий кредит з ПДВ;—
в обліку СД операція повернення майнових внесків, у тому числі основних засобів, обкладається ПДВ (абз. «г», «ґ» п. п. 14.1.185 ПКУ, абз. «г» п.п. 14.1.191 ПКУ).
«Витратні» СД — проблеми ті ж
Так звані витратні договори СД, що не передбачають отримання прибутку, не підлягають обліку в органах ДПС, а окремого порядку їх оподаткування в
ПКУ не застережено. Із п. 64.6 ПКУ лише випливає, що зобов'язання за такими договорами несуть окремо учасники: «В органах державної податкової служби не обліковуються договори про спільну діяльність, на які не поширюються особливості податкового обліку та оподаткування спільної діяльності, визначені цим Кодексом. Кожен учасник таких договорів перебуває на обліку в органах державної податкової служби та виконує обов'язки платника податків самостійно».
Учасник — платник податку на прибуток та ПДВ
Унесення вкладів
. Оскільки операцію передачі майнових вкладів у СД у термінах ПКУ тепер прирівняно до поставки товарів, робіт, послуг, то такі операції відображаються у складі доходів і податкових зобов'язань з ПДВ учасника СД. Грошові внески не впливатимуть на оподаткування. А от в одержувача цих коштів на свій поточний рахунок виникає небезпека включення їх до доходу як безповоротної фінансової допомоги відповідно до п.п. 135.5.4 ПКУ.
Здійснення витрат для СД учасником.
Як і раніше, унаслідок того, що довести зв'язок понесених стосовно СД витрат із власною господарською діяльністю учаснику практично неможливо, понесені витрати не потраплять до витрат і до податкового кредиту з ПДВ учасника. Через «негосподарський характер» учасник не матиме й права на амортизацію основних засобів, що використовуються у власній діяльності та в СД, оскільки розподілу амортизації для «неприбуткових» СД не передбачено.
Повернення майна.
На нашу думку, тут можна скористатися виключними положеннями п.п. 136.1.14 ПКУ, згідно з якими не включається в доходи кошти або майно, повернені учаснику після закінчення договору про СД, але не вище вартості внеску. Сума перевищення вартості потрапляє в доходи за п.п. 135.5.14 ПКУ.Податкового кредиту з ПДВ у частині отриманого майна не буде, оскільки «витратні» СД не підлягають реєстрації як платник ПДВ.
Юридичні особи — єдиноподатники»
. Як і раніше, не виключено, що податківці наполягатимуть на забороні здійснення цих операцій «єдиноподатниками» на підставі ст. 7 Указу № 746/99. Тому перш ніж розпочати таку діяльність, учасникам-єдиноподатникам краще отримати індивідуальну податкову консультацію із цього приводу.Найімовірніше, податківці прирівняють для цілей оподаткування операції внесення майнових внесків у СД до поставки товарів, робіт і послуг з негрошовою формою розрахунку, і на цій підставі припишуть, по-перше, включити їх до бази обкладення єдиним податком, по-друге, перейти з наступного кварталу на загальну систему оподаткування. А от унесення в СД грошових внесків на оподаткування юридичної особи — єдиноподатника вплинути не повинно. І оскільки при отриманні майна виручки немає, ця операція в податковому обліку єдиноподатника також проводитися не повинна. Хоча і в цьому випадку очевидно, що податківці припишуть оподаткувати отримані суми, наприклад, у вигляді позареалізаційних доходів.
Фізичні особи — підприємці на загальній системі оподаткування
. На нашу думку, у таких осіб операція внесення майнових внесків до бази обкладення податком на доходи з фізичних осіб уключатися не повинна, по-перше, через відсутність поставки, по-друге, унаслідок того, що виручка у грошовій або негрошовій формі в цьому випадку ними не отримується.Однак через неоднозначність цієї ситуації цілком можливо, що податківці прирівняють такі операції для цілей оподаткування до поставки і припишуть обчислити з них податок на доходи. Тому виходячи з цих позицій фізичним особам — підприємцям безпечніше в СД вносити гроші.
Якщо фізична особа — СПД використовує в діяльності СД свої основні засоби або несе якісь витрати, то так само, як і у платників податку на прибуток, у неї такі витрати внаслідок негосподарського характеру відображатися в обліку не будуть.
Як і раніше, операція отримання майна на облік з податку на доходи впливати не повинна, хоча не можна виключити, що в цьому випадку податківці не припишуть обчислити податок.
В аналогічному порядку операції внесення вкладів та отримання майна після закінчення договору СД оподатковуються і у фізичних осіб — не СПД.
Підсумуємо
: порядок оподаткування договорів СД як прибуткового, так і видаткового типу в ПКУ описано вкрай лаконічно, що породжує проблеми з податковим обліком. На сьогодні представники податкових органів його інтерпретують фіскально, що позбавляє такі договори привабливості. Тому використовувати таку форму взаємовідносин можуть дозволити собі лише дуже сміливі платники, готові відстоювати свою позицію в суді.
2. Нові проблеми бухгалтерського обліку в СД
Наказом Мінфіну від 31.05.2011 р. № 664
(а він набрав чинності з 04.07.2011 р.) було внесено кардинальні зміни до бухгалтерського обліку СД12, які, на жаль, додали облікових проблем учасникам.12 До внесення змін до П(С)БО 12 порядок відображення операцій СД в учасників чітко не регламентувався, у зв’язку з чим незалежні фахівці пропонували різні варіанти відображення операцій учасниками СД. Найбільшого поширення на практиці набув варіант, при якому всі операції СД проводив у своєму обліку уповноважений учасник, а інші учасники показували тільки вклади, унесені до СД, і доходи, що отримувалися в межах СД.
По-перше
, з'явилася обов'язкова вимога про складання балансу СД оператором СД13 — учасником СД, якому згідно з договором доручено вести справи СД, зокрема її бухгалтерський облік (п. 3 П(С)БО 12), тоді як раніше відповідної обов'язковості не було. Між тим такий підхід не відповідає міжнародній практиці, що передбачає ведення обліку операцій СД на позабалансових рахунках14.13 Ця термінологія відповідає п. 12 МСФО 31 «Участь у спільному підприємництві», де, зокрема, зазначається, що в договірній угоді одного з учасників спільного підприємництва може бути визначено як оператора чи менеджера спільного підприємства.
14 Див. Голов С. Ф., Костюченко В. М. Бухгалтерський облік та фінансова звітність за міжнародними стандартами. — Х.: Фактор, 2007. — С. 722.
Причому з норм
п. 19 П(С)БО 12 випливає, що оператор СД обов'язково має складати окремий баланс та відповідні форми фінансової звітності, однак конкретного переліку таких форм звітності на сьогодні не встановлено. Проте податківці отримали додаткові підстави вимагати подання фінансової звітності до ДПІ від СД — платників податку на прибуток на підставі положень п. 46.2 ПКУ.Можна лише припустити, що фінансова звітність СД має включати: Баланс ф. № 1, Звіт про фінансові результати ф. № 2, Примітки до фінансової звітності.
По-друге
, стосовно обліку операцій СД в учасників Мінфін, по суті, запропонував використовувати метод пропорційної консолідації15, який сьогодні в міжнародній практиці застосовується лише до спільно контрольованих підприємств (СКП) — окремої господарської одиниці, тобто до господарюючих суб'єктів, які є юридичними особами. Таку невідповідність міжнародним правилам16 породило облікові проблеми зовсім не теоретичного характеру.15 Згідно з п. 3 МСФО 31 під ним мається на увазі метод обліку, за допомогою якого частка учасника спільного підприємництва в кожному з активів, зобов’язань, доходів і витрат СКП об’єднується по рядках з аналогічними статтями у фінансовій звітності цього учасника чи показується в його фінансовій звітності окремими статтями.
16 Міжнародний облік СД, що не є юридичною особою, ведеться за іншими правилами залежно від того, СД якого типу застосовується (спільно контрольовані операції або спільно контрольовані активи).
У міжнародній практиці для здійснення пропорційної консолідації можуть застосовуватися два способи надання інформації у звітності.
1. Учасник СД по рядках об'єднує свою частку в кожному з активів, зобов'язань, доходів та витрат СД з аналогічними статтями своєї фінансової звітності.
2. Учасник уключає до своєї фінансової звітності окремі статті, що показують його частину активів, зобов'язань, доходів та витрат СД.
Однак у вітчизняних реаліях доведеться складати звітність відразу за двома викладеними варіантами:
— згідно з нормам
п. 20 П(С)БО 12 — за першим варіантом;— для уникнення конфліктних ситуацій з податковими органами — за другим варіантом (оскільки доведеться показувати податківцям, яка саме сума стосується власної діяльності учасника та діяльності СД).
Ситуація поглиблюється ще й тим, що в
П(С)БО 12 не описано порядок проведення процедури пропорційної консолідації, а загальний порядок, викладений у П(С)БО 20, безпосередньо стосується лише діяльності юридичних осіб. Водночас СД юридичною особою не є, що накладає певні обмеження на описану в П(С)БО 20 процедуру консолідації, яку стосовно СД без прав юридичної особи взагалі ніде не описано17. І тут доводиться керуватися лише аналогією, тому що облік СД — юридичної особи і СД, що не є такою, відрізняється.17
У зв’язку з цим не зовсім зрозуміло, чому Мінфін приписав складати фінансову звітність СД без прав юридичної особи саме методом пропорційної консолідації, оскільки в міжнародній практиці він застосовується тільки до СКП, тобто до господарюючих суб’єктів, котрі є юридичними особами. А міжнародний облік СД, яка не є юридичною особою, ведеться за іншими правилами залежно від того, СД якого типу застосовується (спільно контрольовані операції або спільно контрольовані активи).По-третє
, ускладнився новий порядок обліку вкладів у СД і, знову-таки, у міжнародній практиці він застосовується тільки до обліку СКП. Так, згідно з нормами абз. 6 п. 20 П(С)БО 12 учасники СД показують господарські операції, пов'язані з СД, щодо внесення, придбання та продажу активів відповідно до пп. 13 і 14 П(С)БО 12. Інакше кажучи, внески в СД відображаються за правилами фінансових інвестицій, хоча самі внески такими не є (п. 19 П(С)БО 12).Однак при цьому не було враховано, що до внесків у СД ці правила незастосовні, оскільки вони передбачають, що у складі фінансових результатів звітного періоду інвестора (у цьому випадку — учасника СД) відображається лише та частина прибутку (збитку), що припадає на інших інвесторів. Тим часом учасник СД інвестором не є, і до того ж операція передачі активів у СД на фінрезультати не впливає, тоді як мета цієї процедури полягає в тому, щоб зменшити відображений при передачі активів дохід. Це підтверджують і міжнародні правила. Так, у
роз'ясненні ПКР (SIC) 13 «Спільно контрольовані підприємства — немонетарні вклади учасників спільного підприємництва» зазначено таке: якщо, крім отримання частки в капіталі СКП, учасник спільного підприємництва не отримує монетарні чи немонетарні активи і при цьому виконуються такі умови:1) якщо значні ризики та вигоди,
пов'язані з правом власності на вкладені немонетарні активи, не було передано цьому СКП; або2) якщо величину прибутку чи збитку за немонетарним вкладом не може бути надійно виміряно; або
3) якщо операцію з унесення такого вкладу
позбавлено комерційного сенсу в тому значенні цього терміна, в якому його визначено в МСФЗ (IAS) 16, то прибуток чи збиток розглядається як нереалізований і, отже, не визнається у складі прибутку чи збитку.І оскільки СД не є власниками внесеного до них майна18, то стосовно цієї операції не дотримуються перша і третя із зазначених умов. Таким чином, на фінрезультати така операція впливати не повинна. Із цього можна зробити висновок, що, як і раніше, внески учасників у СД мають відображатися як дебіторська заборгованість.
18 При передачі майна від учасника в СД право власності не переходить, просто форма власності змінюється з приватної на спільну часткову власність (ч. 1 ст. 1134 ЦКУ), а після припинення договору майно повертається назад власнику (ч. 2 ст. 1141 ЦКУ).
По-четверте
, поширення правил з п. 13 П(С)БО 12 на операції продажу активів учасникам СД призводить до того, що для відображення в балансі учасника операції продажу активів він має володіти інформацією про подальшу «долю» проданих активів, отриманою від оператора СД. Причому при продажі СД учасником основних засобів визнання доходів (витрат) від цієї операції в частині, що припадає на частку продавця-учасника, розтягується на весь період нарахування амортизації щодо них у СД або ж до моменту продажу основних засобів СД іншим особам, що дуже ускладнює облік учасника.Адже за цими правилами операції продажу активів учасникам СД відображаються в обліку учасника таким чином: при продажу активів (передачі права власності) в доходи звітного періоду учасника включається лише частина прибутку (збитку), що припадає на частку інших учасників. Частина, що стосується частки учасника-продавця, уключається в доходи майбутніх періодів. Дохід майбутніх періодів визнається доходом учасника в періоді, коли відбуваються такі події: стосовно оборотних активів — продаж їх СД іншим особам; у частині необоротних активів — у міру нарахування амортизації щодо них у СД.
Підсумуємо
: якщо до внесення змін до П(С)БО 12 порядок відображення операцій СД в учасників чітко не регламентувався, то тепер правила встановлено, але виписано не зовсім чітко. Це породжує низку проблем облікового характеру, які також слід брати до уваги при виборі «СДшної» форми взаємовідносин.
