Операції фінлізингу в обліку будівельного підприємства
Влада Карпова, консультант
Будівельні підприємства часто вдаються до укладення договорів фінансового лізингу, оскільки ця форма взаємовідносин дозволяє отримати «в розстрочення» об'єкт основних засобів з правом нарахування на нього амортизації. І оскільки облік таких операцій за правом вважається одним з найскладніших, про це і йтиметься в сьогоднішній статті.
ДОКУМЕНТИ СТАТТІ
ПКУ — Податковий кодекс України від 02.12.2010 р. № 2755-VІ.
ГКУ — Господарський кодекс України від 16.01.2003 р. № 436-IV.
ЦКУ — Цивільний кодекс України від 16.01.2003 р. № 435-IV.
Закон про фінлізинг — Закон України «Про фінансовий лізинг» від 11.12.2003 р. № 1381-IV.
Закон про податок на прибуток — Закон України «Про оподаткування прибутку підприємств» у редакції від 22.05.97 р. № 283/97-ВР.
Закон про ПДВ — Закон України «Про податок на додану вартість» від 03.04.97 р. № 168/97-ВР.
Положення № 21 — Положення про надання послуг фінансового лізингу юридичними особами — суб'єктами господарювання, які за своїм правовим статусом не є фінансовими установами, затверджене розпорядженням Держфінпослуг від 22.01.2004 р. № 21, у редакції від 24.06.2005 р. № 4241.
КВЕД:2005 — Національний класифікатор України ДК 009:2005 «Класифікація видів економічної діяльності», затверджений наказом Держспоживстандарту України від 26.12.2005 р. № 375.
П(С)БО 7 — Положення (стандарт) бухгалтерського обліку 7 «Основні засоби», затверджене наказом Мінфіну України від 27.04.2000 р. № 92.
П(С)БО 14 — Положення (стандарт) бухгалтерського обліку 14 «Оренда», затверджене наказом Мінфіну України від 28.07.2000 р. № 181.
Перш ніж перейти до розгляду особливостей податкового та бухгалтерського обліку договорів фінлізингу, необхідно стисло розглянути правові засади укладення таких договорів.
1. Фінлізинг — правові аспекти
Визначення договорів фінлізингу наводиться в декількох нормативних актах, зокрема, в Законі про фінлізинг, ст. 806 — 809 ЦКУ, ст. 292 ГКУ, ПКУ, П(С)БО 14. Однак договори фінлізингу в них визначаються по-різному. Так, у положеннях ч. 1 ст. 806 ЦКУ і ч. 1 ст. 292 ГКУ виділено два види договорів лізингу, за яких лізингодавець передає чи зобов'язується передати лізингоотримувачу в користування майно, що належить лізингодавцю на праві власності, на певний строк і за встановлену плату, а саме:
1) прямий лізинг — договір, що передбачає передачу майна, придбаного лізингодавцем без попередньої домовленості з лізингоотримувачем;
2) непрямий лізинг — договір, згідно з яким лізингодавець передає лізингоотримувачу майно, спеціально придбане ним у продавця (постачальника) відповідно до встановлених лізингоотримувачем специфікацій та умов.
У ст. 1 Закону про фінлізинг до фінлізингу віднесено тільки непрямий лізинг, а от до визначення фінлізингу (фіноренди) з п.п. 14.1.97 ПКУ і п. 4 П(С)БО 14 потрапляють непрямий та прямий лізинг.
Таким чином, для податково-бухгалтерської класифікації фінлізингу не має значення, на яких умовах придбавався об’єкт, що передається за договором , а для юридичного аспекту зазначена умова є визначальною. У зв'язку з цим при укладенні договору фінлізингу будівельному підприємству слід звернути увагу на такі моменти.
Статус лізингодавця — фінлізинг як фінансова послуга . Якщо виходячи з умов договору його може бути віднесено до непрямого лізингу (об'єкт лізингу спеціально придбавається на замовлення будівельного підприємця-лізингоотримувача), то при укладенні договору слід звернути увагу на законодавчі обмеження статусу лізингодавця за такими договорами.
У цьому випадку послуги з передачі об'єкта у фінлізинг буде віднесено до фінансових і лізингодавцем за ними може виступати лише юридична особа. Так, відповідно до п.п. 1.3.1 Положення № 21 під фінансовою послугою з фінансового лізингу (послугою з фінансового лізингу) розуміються: «операції з фінансовими активами, що полягають у придбанні юридичною особою (лізингодавцем) у власність речі у продавця (постачальника) відповідно до встановлених лізингоотримувачем специфікацій та умов і передачі цієї речі в користування лізингоотримувачу на певний строк не менше одного року за встановлену плату (лізингові платежі) на підставі договору фінансового лізингу».
Лізингодавці за непрямими договорами фінлізингу зобов'язані зареєструватися в Держфінпослуг і подавати туди звітність . Якщо цю умову не буде дотримано, то до лізингодавця може бути застосовано відповідальність1, а сам договір фінлізингу може бути визнано недійсним у судовому порядку, у тому числі за позовом податківців (див., наприклад, постанову Закарпатського окружного адміністративного суду від 04.12.2009 р. № 2а-4341/08).
1 Відповідно до п. 1 ч. 1 ст. 41 Закону України «Про фінансові послуги та державне регулювання ринків фінансових послуг» від 12.07.2001 р. № 2664-III на лізингодавця може бути накладено штраф у розмірі від 1000 до 10000 неоподатковуваних мінімумів доходів громадян (від 17000 грн. до 170000 грн.), а на його посадову особу згідно з ч. 1 ст. 43 зазначеного Закону — штраф у розмірі від 100 до 200 неоподатковуваних мінімумів доходів громадян (від 1700 до 3400 грн.).
Статус лізингодавця — платник єдиного податку . Договори прямого лізингу в податковому та бухгалтерському обліку відображаються за правилами фінлізингових договорів. Жодних обмежень щодо суб'єктного складу лізингодавців за такими договорами немає, тобто ними можуть бути у тому числі й фізичні особи — суб'єкти підприємницької діяльності, не зареєстровані в Держфінпослуг.
Однак існує певна специфіка щодо лізингодавців, які перебувають на спрощеній системі оподаткування зі сплатою єдиного податку.
Зокрема, лізингові компанії відповідно до п.п. 291.5.4 ПКУ не можуть бути платниками єдиного податку. За логікою, для осіб, які передають об'єкти у фінлізинг за прямими договорами, обмежень бути не повинно, оскільки вони не надають фінансові послуги.
Водночас на сьогодні займатися навіть прямим фінлізингом з єдиноподатниками дуже небезпечно. Це пов'язане з тим, що в п.п. 6 п.п. 291.5.1 ПКУ встановлено заборону на перебування на спрощеній системі осіб, які здійснюють діяльність у сфері фінансового посередництва. При визначенні виду діяльності орієнтуються на КВЕД:2005, в якому фінансовий лізинг значиться за кодом 65.21.0 як один з видів фінансового посередництва. Тому отримати Свідоцтво про сплату єдиного податку особам, які мають намір займатися прямим фінлізингом, практично неможливо. І якщо на практиці буде укладено такий договір, то при перевірці можуть виникнути проблеми як у лізингодавця, так і в лізингоотримувача.
Об'єкт фінлізингу . Слід зауважити, що у визначеннях фінлізингу з ч. 1 ст. 3 Закону про фінлізинг, ч. 1 ст. 807 ЦКУ, ч. 3 ст. 292 ГКУ досі містяться застарілі формулювання стосовно того, що об'єктом за таким договором можуть бути лише основні фонди. Тим часом, на сьогодні визначення цього колись «податкового» терміна в нормативних актах немає, і замість нього використовується термін «основні засоби» (п.п. 14.1.97 ПКУ).
У зв'язку з цим сьогодні при визначенні предмета договорів фінлізингу слід оперувати терміном «основні засоби» і відносити до таких об'єктів матеріальні активи з очікуваним строком експлуатації більше одного року, у тому числі ті, що використовуються для «невиробничих функцій».
Додаткові витрати в договорах фінлізингу . У процесі укладення та виконання договору фінлізингу сторони можуть зазнавати різних витрат. У Законі про фінлізинг передбачено положення, що регулюють порядок компенсації деяких із них. Зокрема, витрати на страхування об’єкта фінлізингу, утримання об’єкта лізингу (експлуатація, техобслуговування, ремонт) несе лізингоотримувач, якщо інше не передбачено договором (ч. 2 ст. 13, ч. 2 ст. 14 Закону про фінлізинг). Отже, такі витрати може бути за договором покладено і на лізингодавця, у тому числі лізингоотримувач може їх компенсувати лізингодавцю у складі лізингового платежу.
До витрат, що підлягають компенсації лізингодавцю у складі лізингового платежу, відносять також витрати на транспортування, монтаж, установлення об’єкта лізингу, реєстрацію предмета лізингу, отримання лізингодавцем гарантій та порук третіх осіб.
2. Податковий облік договорів
фінлізингу
Критерії, за якими укладені договори може бути віднесено до фінлізингу в податковому обліку, наведено в абзаці «б» п.п. 14.1.97 ПКУ. Тут необхідно враховувати, що більшість із них «збігається» з тими, що застосовувалися раніше в Законі про податок на прибуток, тому при їх розгляді можна врахувати «підводні камені», з якими раніше стикалися сторони виходячи з докодексної судової практики. А вона свідчить про численні конфліктні ситуації щодо віднесення договорів до «фінлізингових». Хоча як раніше, так і сьогодні, нормативні положення передбачають, що незалежно від наявності в договорі «фінлізингових» критеріїв сторони договору можуть визначити при укладенні договору операцію як оперативний лізинг без права подальшої зміни її статусу до закінчення дії відповідного договору (останній абзац п.п. «б» п.п. 14.1.97 ПКУ).
Отже, у податковому обліку для віднесення договору до фінлізингу мають дотримуватися такі умови (абзац «б» п.п. 14.1.97 ПКУ):
1) об'єкт лізингу передається на строк, протягом якого амортизується не менше 75 % його первісної вартості, а орендар зобов'язаний придбати об'єкт лізингу у власність протягом строку дії лізингового договору або в момент його закінчення за ціною, визначеною в такому лізинговому договорі. Зазначений строк обчислюється від дати передачі ризиків, пов'язаних зі зберіганням або використанням майна чи права на отримання будь-яких вигод або винагород, пов'язаних з його використанням, чи будь-яких інших прав, що випливають із права на володіння, користування або розпорядження таким майном, лізингоотримувачу до дати закінчення дії лізингового договору, уключаючи будь-який період, протягом якого лізингоотримувач має право прийняти одноосібне рішення про продовження строку лізингу згідно з умовами договору.
Стосовно цієї умови слід ураховувати, що, по-перше, мають дотримуватися обидві зазначені вимоги: строк амортизації та обов'язок лізингоотримувача придбати об'єкт за договором у власність. На цю обставину, як правило, звертають увагу й суди, задовольняючи позови платників податків (див. ухвалу Харківського апеляційного адміністративного суду від 23.11.2007 р. у справі № 22-а-526/07, постанову Окружного адміністративного суду м. Києва від 21.05.2008 р. у справі № 6/221-6/224). Хоча є й рішення, в яких суди аналізували тільки один із цих критеріїв (див., наприклад, постанову Донецького окружного адміністративного суду від 10.12.2009 р. у справі № 2а-13569/09/0570).
По-друге , умову про обов'язок придбання об’єкта фінлізингу лізингоотримувачем має бути зазначено в самому договорі фінлізингу. І якщо вона відсутня, а є обов'язок укладення сторонами договору купівлі-продажу після закінчення фінлізингового договору, вона не повинна розглядатися як один із «фінлізингових» критеріїв (див. із цього приводу постанову Окружного адміністративного суду м. Києва від 21.05.2008 р. у справі № 6/220-6/222).
По-третє , якщо в договорі дотримується хоча б один із наведених критеріїв, але сторони бажають відобразити операцію за правилами оперативного лізингу, їм важливо саме в договорі послатися на норми останнього абзацу п.п. «б» п.п. 14.1.97 ПКУ і вказати фразу на кшталт: «сторони домовилися визначити операції за даним договором як оперативний лізинг».
Судова практика також свідчить про те, що при перевірці податківці не лінуються розраховувати строк амортизації переданого об’єкта, який може бути визначено як період, протягом якого нараховується амортизація в сумі, що дорівнює 75 % від первісної вартості об’єкта;
2) балансова (залишкова) вартість об’єкта лізингу на момент закінчення строку дії лізингового договору становить не більше 25 % первісної вартості ціни такого об’єкта лізингу, що діє на початок строку дії лізингового договору.
Якщо ця умова дотримується і сторони воліють відображати в обліку операції за укладеними договорами за «фінлізинговими» правилами, їм бажано в договорі навести відповідні розрахунки;
3) сума лізингових (орендних) платежів із початку строку оренди дорівнює або перевищує первісну вартість об’єкта лізингу. Цей критерій також «полюбляють» аналізувати при перевірці податківці і в разі його дотримання самостійно відносять договори до фінлізингу, навіть у ситуації, коли сторони бажають його оподатковувати за правилами «оперативних» договорів (див. ухвалу Харківського апеляційного адміністративного суду від 23.11.2007 р. у справі № 22-а-526/07, Донецького окружного адміністративного суду від 10.12.2009 р. у справі № 2а-13569/09/0570, Івано-Франківського окружного адміністративного суду від 03.09.2009 р. у справі № 2-а-5854/08/0970).
Основним аргументом для відстоювання оподаткування за правилами договорів оперативного лізингу тут є вказівка в договорі умови про обрання сторонами «оперативного» порядку;
4) майно, що передається у фінлізинг, було виготовлено на замовлення лізингоотримувача і після закінчення дії договору не може бути використано іншими особами, крім нього. Це рідкісні договори, і для застосування «фінлізингових» правил зазначені умови також бажано застерегти в самому договорі.
Операції фінлізингу в обліку з податку на прибуток лізингоотримувача . Хоча при передачі об’єкта фінлізингу право власності не переходить до лізингоотримувача, така операція для цілей оподаткування прирівнюється до операції поставки (абзац «а» пп. 14.1.191, 146.17.1, 153.7 ПКУ).
У лізингоотримувача в періоді одержання об’єкта фінлізингу він уключається в загальному порядку до складу основних засобів з метою нарахування амортизації. Зокрема, якщо за договором фінлізингу було отримано об'єкт основних засобів, задіяний у виконанні будівельних робіт, амортизація на нього в загальному порядку включається до складу витрат на виконання робіт, послуг (п. 138.8 ПКУ).
Якщо в майбутньому лізингоотримувач повертає об'єкт фінлізингу лізингодавцю без придбання його у власність, така передача прирівнюється для цілей оподаткування до зворотного його продажу лізингоотримувачем лізингодавцю за ціною, що визначається в розмірі суми лізингових платежів у частині компенсації вартості об’єкта фінлізингу, не сплаченої за об'єкт лізингу на дату повернення. Конкретний склад лізингового платежу визначається в договорі фінлізингу. Тому при поверненні об’єкта фінлізингу ціна операції для обчислення податку на прибуток визначатиметься за сумою лізингових платежів (уключаючи прострочені), що підлягають сплаті, але не були сплачені лізингоотримувачем відповідно до умов договору.
Стосовно лізингового платежу лізингоотримувач відносить до податкових витрат частину лізингового платежу, що включає суму процентів чи комісій, нарахованих на вартість об’єкта фінлізингу (без урахування частини лізингового платежу, що становить компенсацію вартості об’єкта фінлізингу) на зазначену в договорі дату нарахування лізингового платежу (п. 153.7 ПКУ). Порядок відображення вказаних витрат також залежить від призначення отриманого у фінлізинг основного засобу. Зокрема, лізинговий платіж щодо об’єкта основних засобів, задіяного у виконанні будівельних робіт, уключається до складу витрат на виконання робіт, послуг (п. 138.8 ПКУ).
Операції фінлізингу в обліку з ПДВ лізингоотримувача . В обліку з ПДВ у лізингоотримувача на дату фактичного отримання об’єкта фінлізингу виникає право на збільшення податкового кредиту з ПДВ (п. 198.2 ПКУ).
Якщо в подальшому об'єкт фінлізингу повертається лізингодавцю, то така операція прирівнюється до продажу (абзац «а» п.п. 14.1.191 ПКУ). На думку податківців, при поверненні лізингоотримувачем об’єкта фінлізингу лізингодавцю для цілей обкладення ПДВ ціна такого об’єкта може визначатися за правилами, установленими п. 153.7 ПКУ (див. лист ДПАУ від 29.04.2011 р. № 12261/7/16-1517-26), тобто на рівні суми лізингових платежів у частині компенсації вартості об’єкта фінлізингу, які не сплачено за об'єкт лізингу на дату його повернення. При цьому податківці вважають, що з метою формування лізингодавцем податкового кредиту щодо об’єкта фінлізингу, який повертається лізингоотримувачем, саме ця ціна визначатиметься як звичайна.
Зауважимо, що порядок обчислення бази обкладення ПДВ за операцією повернення об’єкта фінлізингу лізингоотримувачем — платником ПДВ у ПКУ не застережено. Тому цілком логічною виглядає пропозиція в умовах правової прогалини застосувати до зазначених операцій для цілей обчислення ПДВ саме ті правила визначення ціни, що встановлені і щодо податку на прибуток.
За лізинговим платежем у частині ПДВ за першою подією, що настала раніше між нарахуванням лізингового платежу та його сплатою, у лізингоотримувача, в частині, що обкладається ПДВ, є право на податковий кредит (п. 198.2 ПКУ). Однак при цьому необхідно звернути увагу на порядок обкладення ПДВ лізингового платежу, склад якого в законодавчих актах визначено по-різному.
Так, згідно з ч. 2 ст. 16 Закону про фінлізинг лізинговий платіж уключає:
а) суму, що відшкодовує частину вартості предмета лізингу;
б) платіж у вигляді винагороди лізингодавцю за отримане в лізинг майно;
в) компенсацію процентів за кредитом;
г) інші витрати лізингодавця, безпосередньо пов'язані з виконанням договору лізингу.
Водночас у п. 153.7 і п.п. 196.1.2 ПКУ у складі лізингового платежу згадуються вартість компенсації об’єкта лізингу, проценти і комісії. Це дало податківцям привід стверджувати, що базою обкладення ПДВ щодо наданих послуг фінлізингу є вся сума лізингового платежу без урахування процентів за кредитом і суми, що відшкодовує частину вартості предмета лізингу (див., наприклад, лист ДПСУ від 16.11.2011 р. № 2874/5/15-3416).
Однак у цьому випадку ДПСУ навмисно перекрутила норми п.п. 196.1.2 ПКУ, якими передбачається, що не є об'єктом оподаткування операції з нарахування і сплати процентів чи комісій у складі орендного (лізингового) платежу в межах договору фінансового лізингу.
Таким чином, відповідно до зазначеної норми під звільнення підпадають проценти або комісії у складі орендного (лізингового) платежу в межах договору фінансового лізингу, а не проценти за кредитом. Зауважимо, що податківці так інтерпретували ПДВшну пільгу і до набрання чинності ПКУ. Зокрема, у листах ДПАУ від 06.02.2009 р. № 2288/7/16-1517-26, № 982/6/16-1515-26 висловлювалася думка про те, що до процентів та комісій у Законі про податок на прибуток і в Законі про ПДВ належить тільки компенсація процентів за кредитом лізингодавця. Але тоді ситуація була іншою — у зазначених законах не наводилося визначення терміна «комісія», а до процентів з п. 1.10 Закону про податок на прибуток винагорода лізингодавця не потрапляла.
Сьогодні ж в абзаці «г» п.п. 14.1.206 ПКУ чітко зазначено, що до процентів відноситься, зокрема, «платіж за користування майном за договорами фінансового лізингу (оренди) (без урахування частини лізингового платежу, що надається в рахунок компенсації частини вартості об’єкта фінансового лізингу)».
Отже, під звільнення від ПДВ тепер підпадають:
— платіж за користування майном згідно з договорами фінансового лізингу (оренди);
— сума, що відшкодовує частину вартості предмета лізингу.
До речі, аналогічних висновків раніше доходила і ДПАУ в листі від 29.04.2011 р. № 12261/7/16-1517-26. Тож виходячи з формулювань ПКУ фактично під обкладення ПДВ може потрапити лише частина лізингового платежу, яка є «іншими витратами лізингодавця, безпосередньо пов'язаними з виконанням договору лізингу», що в договорах фінлізингу зустрічається нечасто.
Водночас не виключено, що відстоювати цю законну позицію перед податківцями доведеться в суді.
3. Бухгалтерський облік договорів фінлізингу
Бухгалтерський облік операцій оренди (лізингу) регламентується П(С)БО 14, відповідно до п. 4 якого фінансова оренда (фінлізинг) визначається як «оренда, що передбачає передачу орендарю всіх ризиків та вигод, пов'язаних з правом користування та володіння активом».
При цьому оренда вважається фінансовою за наявності хоча б однієї з наведених нижче ознак (п. 4 П(С)БО 14):
1) орендар набуває права власності на орендований актив після закінчення строку оренди;
2) орендар має можливість і намір придбати об'єкт оренди за ціною, нижчою за його справедливу вартість на дату придбання;
3) строк оренди становить більшу частину строку корисного використання (експлуатації) об’єкта оренди;
4) теперішня вартість мінімальних орендних платежів з початку строку оренди дорівнює або перевищує справедливу вартість об’єкта оренди;
5) орендований актив має особливий характер, що дає можливість лише орендарю використовувати його без витрат на його модернізацію, модифікацію, дообладнання;
6) орендар може продовжити оренду активу за плату, значно нижчу за ринкову орендну плату;
7) оренду може бути припинено орендарем, який відшкодовує орендодавцю його втрати від припинення оренди;
8) доходи або втрати від змін справедливої вартості об’єкта оренди на кінець строку оренди належать орендарю.
Основною ознакою, за якою оренда визнається фінансовою, є передача орендарю всіх ризиків та вигод, пов'язаних з правом користування та володіння активом. У п. 7 МСБО 17 «Оренда» — міжнародному прототипі П(С)БО 14 — із цього приводу уточнюється, що ризики включають можливість збитків від простоїв або технічної зношеності активу, а також коливань у надходженнях унаслідок зміни економічних умов. Винагороди може бути зображено у формі очікування рентабельного функціонування протягом строку економічної експлуатації активу та прибутку від зростання його вартості або ліквідаційної вартості. Інакше кажучи, це всі збитки та прибутки, що очікуються від використання активу.
Визнання оренди фінансовою чи операційною не залежить безпосередньо від того, як її класифіковано в договорі лізингу. Про це прямо зазначено в п. 10 МСБО 17, відповідно до якого розподіл оренди на фінансову та операційну залежить від сутності операції, а не від форми контракту. Тут тільки має значення, чи дотримуються зазначені в п. 4 П(С)БО 14
критерії класифікації.
Для визнання оренди фінансовою достатньо наявності хоча б одного з наведених вище критеріїв, з яких на окрему увагу заслуговує критерій «терепішньої2 вартості мінімальних орендних платежів».
2 Переклад цього терміна в різних джерелах відрізняється. Як синоніми наводяться також терміни «справжня», «поточна» вартість.
Згідно з п. 4 П(С)БО 14 до мінімальних орендних платежів (далі — МОП) належать платежі, що підлягають сплаті орендарем протягом строку оренди, за винятком вартості послуг та податків, що підлягають сплаті орендодавцю, а також непередбаченої орендної плати, збільшені:
— для орендаря — на суму його гарантованої ліквідаційної вартості;
— для орендодавця — на суму його гарантованої ліквідаційної вартості.
Виняток становлять ситуації, коли орендар має намір придбати об'єкт за ціною, нижчою за його справедливу вартість на дату придбання, — тоді МОП складаються з мінімальної орендної плати за весь строк оренди й суми, яку необхідно сплатити за угодою на придбання об’єкта оренди (п. 4 П(С)БО 14).
Водночас які саме послуги не включаються до складу МОП, у П(С)БО 14, так само як і в МСБО 17, не уточнюється. Із роз'яснень авторитетних фахівців3 можна зробити такі висновки про склад МОП (табл. 1).
3 Див. «Бухгалтерський облік та фінансова звітність в Україні: Навчально-практичний посібник» / За ред. С. Ф. Голова. — Дніпропетровськ, ТОВ «Баланс-клуб», 2001. — С. 84; Голов С. Ф., Костюченко В. М. Бухгалтерский учет и финансовая отчетность по международным стандартам. — Х.: Фактор, 2007. — С. 279.
Таблиця 1
Складові МОП
| Уключається до МОП | Не включається до МОП |
| Сума, що відшкодовує частину вартості предмета лізингу (уключаючи суму ПДВ, обчислену з вартості такого об’єкта) | Компенсація процентів за кредитом лізингодавця |
| Платіж у вигляді винагороди лізингодавцю за отримане в лізинг майно (може вказуватися в договорі у вигляді процентів, що нараховуються за користування активом) | Компенсація інших витрат лізингодавця, безпосередньо пов'язаних з виконанням договору лізингу (технічне обслуговування, страхування тощо) |
| Гарантована ліквідаційна вартість — частина ліквідаційної вартості, що гарантується до сплати орендарем або пов'язаною з ним стороною | Компенсація податків (податку на майно — на сьогодні в разі оренди активу в нерезидента) |
| Плата за придбання орендованого активу за ціною, нижчою за його справедливу вартість | Непередбачена орендна плата — частина орендної плати, не зафіксована в конкретній сумі, що розраховується із застосуванням інших, ніж строк оренди, показників: обсяг продажу, рівень використання, індекс інфляції та цін, ринкові ставки відсотка тощо |
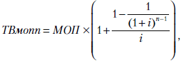
Для цілей класифікації оренди потрібно знати теперішню вартість МОП, порядок розрахунку якої залежить від того, в якому періоді нараховуються орендні платежі.
1. МОП нараховуються на початку звітного періоду (кварталу, року):
де ТВмопн — теперішня вартість МОП за умови їх нарахування на початку звітного періоду;
МОП — сума МОП, що сплачується регулярно (ануїтет);
n — кількість періодів, за які сплачується орендна плата і нараховуються проценти;
i — ставка відсотка для цього періоду.
2. МОП нараховуються наприкінці звітного періоду (кварталу, року):

де ТВмопк — теперішня вартість МОП за умови їх нарахування наприкінці звітного періоду.
Ставку відсотка (СВ) стосовно розрахунку теперішньої вартості МОП можна визначити таким чином:

Отже, за відсутності зазначення ставки відсотка в договорі вона може відрізнятися в орендаря та орендодавця. Водночас МСБО 17 заохочує використання погоджених між сторонами понять, тому бажано, щоб у договорі все-таки було наведено ставку відсотка, що використовується.
Згідно з п. 5 П(С)БО 14 орендар відображає в бухгалтерському обліку отриманий у фінансову оренду об'єкт одночасно як актив та зобов'язання за найменшою на початок строку оренди оцінкою:
1) справедливою вартістю активу, або
2) теперішньою вартістю МОП.
Виходячи з цього орендарю мають бути відомі обидва ці показники. У ситуації, коли ставку відсотка в договорі визначено, як правило, справедлива вартість активу перевищує теперішню вартість МОП на суму негарантованої ліквідаційної вартості (частини ліквідаційної вартості об’єкта оренди, отримання якої орендодавцем не забезпечується або гарантується лише пов'язаною з ним стороною). Такий висновок випливає з визначення орендної ставки відсотка в п. 4 П(С)БО 14, відповідно до якого справедлива вартість об’єкта оренди на початок строку оренди дорівнює теперішній вартості МОП, розрахованій за цією ставкою, плюс негарантована ліквідаційна вартість. Тому в розглянутій ситуації теперішня вартість МОП буде нижча або дорівнюватиме справедливій вартості активу.
Найменша з цих сум відображається в обліку по кредиту субрахунку 531 «Зобов'язання з фінансової оренди». У подальшому частина заборгованості, що класифікується як поточна (строк погашення якої припадає на наступні 12 місяців), переводиться на субрахунок 611 «Поточна заборгованість за довгостроковими зобов'язаннями в національній валюті» (Дт 531 — Кт 611).
Що стосується відображення вартості об’єкта оренди на рахунках активів, то, на нашу думку, у ситуації, коли орендодавець є платником ПДВ і орендар має право на податковий кредит за операцією отримання об’єкта фіноренди, заборгованість на субрахунку 531 поділяється на дві складові:
— податковий кредит з ПДВ: Дт 641/ПДВ — Кт 531;
— решту заборгованості з фіноренди: Дт 15 — Кт 531. Такий порядок пов'язаний з тим, що компенсація об’єкта оренди ПДВ, яка включається до вартості, входить до складу МОП, а отже, і до заборгованості з фіноренди.
До первісної вартості об’єкта (Дт 15) в орендаря також уключаються:
1) понесені орендарем первісні витрати, пов'язані з придбанням та доставкою об’єкта (п. 8 П(С)БО 7), а саме:
— суми, що сплачуються постачальникам та підрядникам за виконання будівельно-монтажних робіт (без непрямих податків);
— реєстраційні збори, державне мито та аналогічні платежі, що здійснюються у зв'язку з придбанням (отриманням) прав на об'єкт основних засобів;
— суми ввізного мита;
— суми непрямих податків у зв'язку з придбанням (створенням) основного засобу (якщо вони не відшкодовуються підприємству);
— витрати на страхування ризиків доставки основного засобу;
— витрати на транспортування, установлення, монтаж, налагодження об’єкта основних засобів;
— інші витрати, безпосередньо пов'язані з доведенням об’єкта основних засобів до стану, в якому він придатний для використання із запланованою метою;
2) витрати на поліпшення об’єкта фіноренди (модернізація, модифікація, добудовування, дообладнання, реконструкція тощо), що спричинюють збільшення майбутніх економічних вигод, первісно очікуваних від його використання (п. 6
П(С)БО 14).
У момент уведення в експлуатацію об'єкт зараховується на відповідний субрахунок основних засобів (кореспонденція: Дт 10 — Кт 15), і далі на нього нараховується амортизація за встановленим орендарем методом протягом періоду його очікуваного використання. Відповідно до п. 7 П(С)БО 14 таким періодом є:
— строк корисного використання об’єкта (якщо договором передбачено перехід права власності на актив до орендаря), або
— коротший із двох періодів — строк оренди або строк корисного використання об’єкта фінансової оренди (якщо переходу права власності на об'єкт фінансової оренди після закінчення строку оренди не передбачено).
Лізинговий платіж відображається в особливому порядку: його суму за звітний період слід розподілити на складові, що проводяться в обліку на різних субрахунках (табл. 2):
Таблиця 2
Бухгалтерський облік лізингового платежу в орендаря
| Складова платежу | Порядок розрахунку | Кореспонденція |
| 1. Процентні платежі1 | Сальдо (рах. 531 + рах. 611) х СВ | Дт 952 — Кт 684 |
| 2. Погашення заборгованості з фіноренди | Різниця між МОП та процентними платежами за звітний період | Дт 611 — Кт 311 (301) |
| 3. Платежі, що не входять до МОП (компенсація процентів за кредитом лізингодавця, інших витрат лізингодавця, безпосередньо пов'язаних з виконанням договору лізингу) | Указуються в розшифровці лізингового платежу (рахунка) орендодавця | Дт 23, 91–942 — Кт 311 (301) |
| 1 Зверніть увагу: ці платежі визначаються розрахунково виключно для цілей бухгалтерського обліку, у кожному періоді їх сума зменшуватиметься. Вони не дорівнюють сумі процентних платежів (винагороди лізингодавця), що наводяться в розшифровці лізингового платежу (рахунка) орендодавця. 2 На нашу думку, ці платежі підлягають відображенню на тих самих субрахунках, що й амортизація отриманого у фінлізинг об’єкта. | ||
Для перевірки правильності розподілу складових лізингового платежу на процентні платежі та в погашення заборгованості з фіноренди слід визначити різницю між загальною сумою МОП за весь строк оренди і заборгованістю перед орендодавцем (сальдо рах. 531 + рах. 611 на початок строку оренди). Цей показник становитиме суму процентів за весь строк оренди, що відображається у орендаря у складі фінансових витрат.
Проілюструємо викладене на прикладі.
Будівельне підприємство отримало 01.01.2012 р. у фінлізинг основний засіб, задіяний у виконанні будівельних робіт, первісною вартістю 100 тис. грн. (з ПДВ) на таких умовах: строк оренди — 5 років або 20 кварталів, строк корисного використання — 6 років, ліквідаційна вартість об’єкта дорівнює нулю, лізингові (орендні) платежі сплачуються щокварталу наприкінці кварталу і включають:
— суму, що відшкодовує частину вартості основного засобу: 5 тис. грн.;
— платіж у вигляді винагороди лізингодавцю за отримане в лізинг майно при нормі прибутковості на чисті інвестиції в оренду 12 % річних:
3 тис. грн. (без ПДВ).
Разом: лізинговий платіж (МОП) — 8 тис. грн.
Теперішня вартість МОП у цьому випадку однакова для орендаря та орендодавця:
А от якби лізинговий платіж сплачувався на початку кварталу, то теперішня вартість МОП склала б:
Справедлива вартість устаткування на дату отримання склала 119020 грн. з ПДВ. Витрати на доставку та установлення устаткування в орендаря склали 12 тис. грн. з ПДВ. Амортизація нараховується прямолінійним методом.
Оскільки теперішня вартість МОП (119020 грн.) дорівнює справедливій вартості устаткування (119020 грн.), то воно відображається в обліку в цій сумі.
Порядок розподілу лізингового платежу в обліку наведено в табл. 3.
Таблиця 3
Порядок розподілу лізингового платежу
в обліку будівельного підприємства-орендаря, грн.
| Дата | Сума лізингового платежу (МОП) | Залишок заборгованості з оренди на початок періоду (гр. 5 - гр. 4) | ||
| усього платіж | процентні платежі: гр. 5 х 0,03 | у погашення зобов'язання з оренди: (гр. 2 - гр. 3) | ||
| — | — | — | — | 119020 |
| I кв. 2012 року | 8000 | 3571 | 4429 | 119020 |
| II кв. 2012 року | 8000 | 3438 | 4562 | 114590 |
| III кв. 2012 року | 8000 | 3301 | 4699 | 110028 |
| IV кв. 2012 року | 8000 | 3160 | 4840 | 105329 |
| I кв. 2013 року | 8000 | 3015 | 4985 | 100489 |
| II кв. 2013 року | 8000 | 2865 | 5135 | 95503 |
| III кв. 2013 року | 8000 | 2711 | 5289 | 90369 |
| IV кв. 2013 року | 8000 | 2552 | 5448 | 85080 |
| I кв. 2014 року | 8000 | 2389 | 5611 | 79632 |
| II кв. 2014 року | 8000 | 2221 | 5779 | 74021 |
| III кв. 2014 року | 8000 | 2047 | 5953 | 68242 |
| IV кв. 2014 року | 8000 | 1869 | 6131 | 62289 |
| I кв. 2015 року | 8000 | 1685 | 6315 | 56157 |
| II кв. 2015 року | 8000 | 1495 | 6505 | 49842 |
| III кв. 2015 року | 8000 | 1300 | 6700 | 43337 |
| IV кв. 2015 року | 8000 | 1099 | 6901 | 36638 |
| I кв. 2016 року | 8000 | 892 | 7108 | 29737 |
| II кв. 2016 року | 8000 | 679 | 7321 | 22629 |
| III кв. 2016 року | 8000 | 459 | 7541 | 15308 |
| IV кв. 2016 року | 8000 | 233 | 7767 | 7767 |
| Разом | 160000 | 40980 | 119020 | 0 |
Перевірка: 160000 грн. - 119020 грн. = 40980 грн.
Таблиця 4
Податковий та бухгалтерський облік операцій фінлізингу
в обліку будівельного підприємства-орендаря
| Господарська операція | Кореспондуючі | Сума, | Податковий облік | ||
| дебет | кредит | збільшення ОЗ1 | витрати | ||
| 1. Отримано послуги з доставки та установлення устаткування | 152 | 631 | 10000 | 10000 | — |
| 2. Відображено податковий кредит з ПДВ | 641 | 631 | 2000 | — | — |
| 3. Оплачено послуги з доставки та установлення устаткування | 631 | 311 | 12000 | — | — |
| 4. Оприбутковано устаткування від орендодавця | 152 | 531 | 102353,332 | 83333,333 | — |
| 5. Відображено податковий кредит з ПДВ | 641 | 531 | 16666,67 | — | — |
| 6. Переведено частину довгострокової заборгованості до складу поточної | 531 | 611 | 185304 | — | — |
| 7. Уведено устаткування в експлуатацію | 104 | 152 | 102353,33 | — | — |
| 8. Відображено нарахування зносу на устаткування (щомісяця) | 23 | 131 | 1705,895 | — | 1388,896 |
| 9. Нараховано і сплачено лізинговий платіж (МОП): | — | — | — | — | — |
| — у погашення зобов'язання з оренди | 611 | 311 | 44297 | — | — |
| — процентні платежі | 952 | 684 | 35718 | — | 30009 |
| 684 | 311 | ||||
| 1 ОЗ — основний засіб, у розглянутому прикладі включається в податковому обліку до групи 4 ОЗ. 2 Визначається як різниця між справедливою вартістю устаткування та ПДВ: 119020 грн. - 16666,67 грн. = 102353,33 грн. 3 Визначається в розмірі первісної вартості устаткування без ПДВ: 100000 грн. : 1,2 = 83333,33 грн. 4 Розраховується за даними гр. 4 табл. 3: 4429 + 4562 + 4699 + 4840 = 18530 (грн.). 5 102353,33 грн. : (5 років х 12 міс.) = 1705,89 грн. 6 83333,33 грн. : (5 років х 12 міс.) = 1388,89 грн. Уключається до податкових витрат у складі собівартості виконаних та реалізованих робіт (пп. 138.4, 138.8 ПКУ). 7 Дані гр. 4 табл. 3. 8 Дані гр. 3 табл. 3. 9 Визначаються в розмірі винагороди лізингодавця, зазначеної ним у рахунку. | |||||
Як бачимо, порядок відображення в бухгалтерському обліку об'єктів фінлізингу дещо «хитромудрий». Однак якщо розібратися із сутністю відображених операцій, усе виходить не так і складно. Наостанок залишається вам побажати безпроблемного опанування фінлізингового обліку.
