Усім дітям відомо: за свою провину потрібно відповідати. А в дорослому житті існує поняття матеріальної відповідальності (не плутайте з адміністративною відповідальністю*).
* Застосовується згідно з КпАП за протиправні дії/бездіяльність, за які передбачена адміністративна відповідальність. Матеріальна відповідальність застосовується за завдану роботодавцеві шкоду в результаті порушення трудових обов’язків.
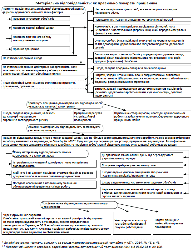
У листі, що коментується, фахівці Мінсоцполітики нагадали загальні правила притягнення до матеріальної відповідальності працівника, який порушив покладені на нього трудові обов’язки.
Головна законодавча опора — ст. 130 КЗпП. Як зазначає Мінсоцполітики, тут визначені юридичні факти, сукупність яких надає роботодавцю право притягати працівника до матвідповідальності. Це, зокрема, порушення трудових обов’язків, наявність прямої дійсної шкоди, причинний зв’язок між порушенням і шкодою та провина працівника. Відсутність хоча б одного з цих фактів виключає можливість притягнення до матеріальної відповідальності.
Детальний алгоритм на цю тему ви знайдете на с. 8.
Бухгалтери, будьте уважні! Усе описане стосується і вас як працівників. Це фахівці трудового відомства підтвердили в листах Мінпраці від 04.12.09 р. № 302/06/186-09 («БТ», 2010, № 11, с. 6) і від 29.04.13 р. № 62/06/186-13
(«БТ», 2013, № 27, с. 9).
Нюанс. Укласти з бухгалтером договір про повну матеріальну відповідальність можна, лише якщо на нього одночасно покладено обов’язки касира. Це Мінсоцполітики підтвердило в листі від 29.04.13 р. № 61/06/186-13 («БТ», 2013, № 35, с. 8).
