День 1: установлено факт крадіжки ТМЦ
Почнемо з невеликого правового лікнепу.
Крадіжка — це таємне розкрадання чужого майна (ст. 185 ККУ). Її не потрібно плутати з пограбуванням — відкритим розкраданням чужого майна.
При цьому крадіжки бувають різні. Залежно від розміру заподіяної шкоди винній особі може загрожувати:
• або адміністративна відповідальність (ст. 51 КпАП);
• або кримінальна (ст. 185 ККУ).
Легко відбутися та наразитися на адмінвідповідальність можуть особи, які вчинили дрібну крадіжку. До таких вчинків відносять розкрадання майна на суму, що не перевищує 0,2 ПСП. Тобто у 2014 році на суму не більше 121,80 грн. (ч.3 ст. 51 КпАП, п. 5 підрозд. 1 розд. X ПКУ).
У такому випадку до міліції звертатися не обов’язково. Протокол про адмінправопорушення може скласти й сам власник підприємства чи уповноважений ним орган (п. 3 ст. 255 КпАП). Після цього протокол надсилають до районного, районного в місті, міського чи міськрайонного суду для винесення постанови про притягнення до адмінвідповідальності (ст. 221 КпАП).
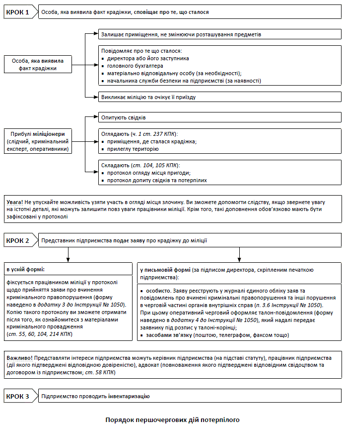
Якщо сума крадіжки не вписалася у 121,80 грн., то вже маємо справу зі злочином. Настає кримінальна відповідальність. І порядок ваших дій у момент виявлення крадіжки буде трохи іншим (див. рисунок на с. 25).

Якщо майно було застраховане. Окрім дій, описаних на рисунку, вам потрібно:
• повідомити страхову компанію про настання страхового випадку;
• надати всі необхідні документи для встановлення факту, причин та наслідків страхового випадку, а також результати інвентаризації;
• запросити представника страховика для огляду місця пригоди, розслідування причин страхового випадку та визначення розміру шкоди;
• у разі виявлення осіб, винних у заподіянні збитків, передати представнику страховика всі документи, що підтверджують його право вимоги до осіб, винних у заподіянні збитків.
Докладніше весь порядок дій прописано у вашому договорі страхування.
Інвентаризація
У день виявлення крадіжки підприємство зобов’язане провести інвентаризацію ТМЦ.
Відповідальність за її організацію покладається на керівника підприємства. А от члени постійно діючої інвентаризаційної комісії відповідають за своєчасність і дотримання порядку проведення інвентаризації.
Інвентаризацію проводимо у звичайному порядку — відповідно до Інструкції № 69:
Крок 1. Керівник підприємства (особа, котра виконує його обов’язки) видає наказ щодо проведення інвентаризації, в якому вказує:
• дату інвентаризації, строки її проведення, види активів, що підлягають інвентаризації;
• інвентаризаційну комісію, яка проводитиме інвентаризацію (п.п. 11.1 Інструкції № 69).
Зразок наказу щодо проведення інвентаризації ви можете знайти у «БТ», 2013, № 43, с. 19.
Крок 2. Комісія проводить інвентаризацію та складає інвентаризаційний опис на викрадені ТМЦ:
• або за формою № інв-3 (затвердженою постановою Держкомстату СРСР від 28.12.89 р. № 241);
• або за типовою формою № М-21 (затвердженою наказом Мінстату України від 21.06.96 р. № 193).
Вибирайте ту, яка вам більше підходить (лист Держкомстату України від 15.07.10 р. № 14/2-18/72)
Крок 3. Бухгалтерія складає Звіряльну відомість результатів інвентаризації (форма № інв-19) на підставі отриманого опису.
Крок 4. Комісія готує протокол із зазначенням у ньому результатів інвентаризації та висновків щодо них (у довільній формі).
Крок 5. Керівник підприємства розглядає та затверджує протокол комісії протягом 5 днів, а потім передає його до бухгалтерії (п.п. «в» п.п. 11.12 Інструкції № 69).
Тільки тепер затверджений керівником протокол стає підставою для здійснення записів у бухобліку (лист МФУ від 13.12.04 р. № 31-04200-30-10/22823).
День 2: початок досудового розслідування
Протягом 24 годин після подання заяви про крадіжку майна слідчий, під чиєю юрисдикцією перебуває місце вчинення злочину, вносить відомості про кримінальне правопорушення до ЄРДР (ст. 214 КПК). Починається досудове розслідування.
Завдання підприємства — отримати від слідчого підтвердження того, що заяву про крадіжку внесено до ЄРДР. Зробити це необхідно як для доведення власне факту крадіжки, так і для підтвердження статусу потерпілого.
Таким підтвердженням може бути витяг із ЄРДР за формою, наведеною в додатку 6 до Положення № 69.
Окрім цього, можна звернутися до слідчого. Можливі два варіанти:
• або він надішле вам повідомлення про прийняття заяви та реєстрацію її у ЄРДР у довільній формі (ст. 60 КПК);
• або зазначить відповідні відомості на зворотному боці вашого примірника заяви про крадіжку.
Перешкоджати ніхто не буде. У таких випадках стороні, що потерпіла, завжди йдуть назустріч.
Брати участь у самому досудовому розслідуванні підприємству не доведеться. Єдине, що слідчий попросить вас зробити,— то це надати:
• документи, складені за результатами інвентаризації;
• звіт про оцінку вартості вкраденого майна та розмір заподіяної крадіжкою шкоди;
• документи, на підставі яких ТМЦ були придбані підприємством, і такі, що підтверджують їх наявність на підприємстві на момент крадіжки.
Якщо злочинця буде виявлено, такі відомості знадобяться вам для відшкодування заподіяної шкоди (п. 10 ч. 1 ст. 56 КПК). Тому другим завданням підприємства буде визначити суму такої шкоди.
Радимо з цим не зволікати. Звичайно, якщо підозрюваного не знайдено, то строк кримінального провадження не обмежується. Але якщо його виявили — досудове розслідування має бути закінчено протягом двох місяців* від дня вручення підозрюваному повідомлення про підозру у вчиненні крадіжки (ч. 1 ст. 219 КПК).
* Хоча цей строк може бути продовжено від 6 до 12 місяців залежно від тяжкості злочину (ч. 2 ст. 219 КПК).
Визначаємо розмір збитків
Якщо ТМЦ не були застраховані. Тепер на перший план виходить головний бухгалтер, а за його відсутності — особа, на яку покладено ведення бухобліку підприємства (абз. 4 ч. 7 ст. 8 Закону про бухоблік). Саме така особа бере участь в оформленні матеріалів, пов’язаних із нестачею та відшкодуванням втрат, у тому числі від розкрадання активів.
Але визначити розмір заподіяної шкоди — не його парафія. Адже у разі розкрадання ТМЦ у загальному випадку потрібно дотримуватись Порядку № 116 (у випадку з «дорогоцінними» розкраданнями — Закону № 217). А там зазначено: розмір збитків від розкрадання, нестачі, знищення (псування) матцінностей визначається шляхом проведення незалежної оцінки відповідно до національних стандартів оцінки (п. 2 Порядку № 116).
Для цього підприємству необхідно укласти договір щодо проведення оцінки майна із суб’єктом оціночної діяльності, який має відповідний сертифікат (ст. 3 Закону № 2658). Вимоги до договору про оцінку майна ви знайдете у ст. 11 Закону № 2658.
Вихідними даними для проведення незалежної оцінки стануть:
• документи, складені під час інвентаризації;
• дані бухобліку.
За результатами оцінки ви отримаєте звіт про оцінку вартості вкраденого майна та розмір заподіяної крадіжкою шкоди.
Якщо ТМЦ були застраховані. Розмір шкоди, що підлягає відшкодуванню, буде зазначено у страховому акті (аварійному сертифікаті — п. 16 Положення № 8).
Вимагаємо відшкодування збитку
Подальші ваші дії залежатимуть від двох чинників: чи знайдено винного та чи було викрадені ТМЦ застраховано.
Винного не знайдено, ТМЦ не застраховано. Підприємство не зможе сподіватися на відшкодування збитків. У такому випадку цивільний позов не складають (згідно з КПК будь-які процесуальні документи складаються тільки в разі, якщо встановлено особу, котра вчинила крадіжку). Та й подавати його нема кому.
Але акт оцінки вкраденого майна краще надати (для залучення до матеріалів справи). Раптом пощастить і винного знайдуть.
Винного знайдено (непрацівник підприємства). Для стягнення шкоди підприємство має пред’явити йому цивільний позов у межах кримінального провадження.
Увага! Цивільний позов може бути подано (ст. 128, 134, 315 КПК):
• або на стадії досудового розслідування (подаємо слідчому);
• або під час попереднього засідання на стадії судового розгляду (подаємо до суду).
Незважаючи на те що позов подається в межах кримінального процесу, його форма та зміст мають відповідати вимогам ст. 119, 120 ЦПК (ч. 4 ст. 128 КПК). При складанні цивільного позову використовуйте дані щодо інвентаризації та зі звіту про оцінку майна.
Важливо! Розмір заподіяних збитків, який ви зазначите в позові, впливатиме на кваліфікацію злочину та складання звинувачувального акта.
Після подання цивільного позову підприємство, що потерпіло, набуває статусу цивільного позивача (ст. 61 КПК), а разом із ним — прав та обов’язків, передбачених КПК для потерпілого. Так, підприємство має право:
• підтримати цивільний позов або відмовитися від нього до прийняття судового рішення (ч. 3 ст. 61 КПК);
• отримувати повідомлення про прийняті процесуальні рішення та їх копію (ч. 3 ст. 61 КПК);
• подати заяву про арешт майна підозрюваного (ч. 1 ст. 171 КПК). Це буде додатковою гарантією відшкодування заподіяної шкоди в майбутньому. Майте на увазі: таке клопотання подають слідчому судді. Але тільки в тому випадку, якщо у вас є неспростовні докази того, що шкоду була заподіяно саме підозрюваним.
Якщо цивільний позов буде задоволено, після набрання вироком законної сили підприємству потрібно звернутися до суду та отримати виконавчий лист (ст. 535 КПК). Після чого останній слід пред’явити до виконавчої служби для примусового виконання рішення суду.
Якщо цивільний позов не задоволений/не подавався, підприємство ще має шанс отримати відшкодування шкоди. Для цього йому необхідно звернутися із позовною заявою до місцевого суду за своїм місцезнаходженням (місцезнаходженням приміщення, з якого зникли ТМЦ, — ч. 7 ст. 128 КПК).
Винного знайдено (працівник підприємства). Якщо працівник підприємства заподіяв підприємству збитки, його можна притягти до матеріальної відповідальності (ст. 130 КЗпП). Особливий випадок — коли було заведено кримінальну справу. Тоді порушника можна притягти до повної матеріальної відповідальності (п. 3 ст. 134 КЗпП).
Процедура проста. Не пізніше двох тижнів від дня виявлення заподіяної працівником шкоди керівник видає наказ про утримання із зарплати порушника суми відшкодування (ст. 136 КЗпП).
Увага! Наказ керівника починає діяти не раніше семи днів від дня повідомлення про це працівника.
При цьому головне — виконувати таку умову: сума утримання із зарплати працівника не повинна перевищувати розміру його середньої зарплати.
Крім того, існує й обмеження щодо розміру відрахувань (ст. 128 КЗпП). Так, при кожній виплаті зарплати загальний розмір усіх відрахувань не може перевищувати 20 %. А в окремих випадках — 50 % зарплати, що підлягає виплаті працівникові.
Якщо сума відшкодування перевищить середньомісячний заробіток, то підприємству слід звернутися до суду (подати цивільний позов; див. вище).
Але якщо в порушника прокинеться сумління і він захоче добровільно відшкодувати шкоду (таке право дає йому ч. 5 ст. 130 КЗпП), зробити це він зможе трьома способами:
• погодитись на утримання суми шкоди із зарплати, склавши відповідну заяву. При цьому обмеження на відрахування із зарплати тут уже не діятимуть;
• унести грошові кошти до каси або на поточний рахунок підприємства. У цьому випадку розмір грошових коштів не обмежується. Незастосовні тут і обмеження на готівкові розрахунки;
• передати підприємству рівноцінне майно. Але для цього необхідна згода власника підприємства чи уповноваженого ним органу.
Якщо працівник не згоден із сумою шкоди, що пред’являється йому до відшкодування, він має право звернутися до суду за захистом своїх інтересів.
Якщо ТМЦ були застраховані. Для того щоб отримати страхове відшкодування, вам знадобляться два документи (ст. 25 Закону № 85), а саме:
• відповідна заява від підприємства;
• страховий акт (аварійний сертифікат).
Увага! Якщо винуватець злочину в повному розмірі відшкодує збитки, заподіяні підприємству, страхову виплату підприємство вже не отримає (п. 4 ст. 26 Закону № 85).
Висновки
-
У день виявлення розкрадання головним завданням бухгалтера є проведення інвентаризації. Спілкуватися з міліцією та подавати заяву про крадіжку — прерогатива керівника підприємства.
-
На етапі досудового розслідування обов’язково отримайте від слідчого документ, що підтверджує факт крадіжки ТМЦ.
-
Також слід визначити суму заподіяної шкоди. Для цього необхідно укласти договір щодо проведення оцінки майна із суб’єктом оціночної діяльності. Отриманий у результаті звіт про оцінку вкраденого майна поінформує вас про розмір відшкодування, на яке ви можете претендувати.
-
Однак вимагати відшкодування заподіяної шкоди можна тільки за наявності винного. Якщо він знайдений і це не працівник підприємства — подавайте цивільний позов. Якщо ж це ваш трудівник — утримати вартість вкраденого майна можна з його зарплати. Тільки не забувайте про обмеження щодо розміру відрахувань, установлені КЗпП.
Документи і скорочення статті
ККУ — Кримінальний кодекс України від 05.04.01 р. № 2341-III.
КПК — Кримінальний процесуальний кодекс України від 13.04.12 р. № 4651-VI.
Закон № 2658 — Закон України «Про оцінку майна, майнових прав та професійну оціночну діяльність в Україні» від 12.07.01 р. № 2658-III.
Закон № 85 — Закон України «Про страхування» від 07.03.96 р. № 85/96-ВР.
Закон № 217 — Закон України «Про визначення розміру збитків, заподіяних підприємству, установі, організації розкраданням, знищенням (псуванням) нестачею або втратою дорогоцінних металів, дорогоцінного каміння та валютних цінностей» від 06.06.95 р. № 217/95-ВР.
Інструкція № 1050 — Інструкція про порядок ведення єдиного обліку в органах і підрозділах внутрішніх справ України заяв і повідомлень про вчинені кримінальні правопорушення та інші випадки та положень про комісії, затверджена наказом МВС від 19.11.12 р. № 1050.
Інструкція № 69 — Інструкція з інвентаризації основних засобів, нематеріальних активів, товарно-матеріальних цінностей, грошових коштів і документів та розрахунків, затверджена наказом МФУ від 11.08.94 р. № 69.
Положення № 69 — Положення про порядок ведення Єдиного реєстру досудових розслідувань, затверджене наказом Генпрокуратури від 17.08.12 р. № 69.
Порядок № 116 — Порядок визначення розміру збитку від розкрадання, нестачі, знищення (псування) матеріальних цінностей, затверджений постановою КМУ від 22.01.96 р. № 116.
Положення № 8 — Типове положення про організацію діяльності аварійних комісарів, затверджене постановою КМУ від 05.01.98 р. № 8.
ТМЦ — товарно-матеріальні цінності.
ПСП — податкова соціальна пільга.
ЄРДР — Єдиний реєстр досудових розслідувань.
