Закон, що коментується, спрямований на активну підтримку внутрішньо переміщених осіб (ВПО), вони ж є вимушеними переселенцями з Криму та зони АТО.
Так, внутрішньо переміщеним особам тепер також видаватимуть ваучери на підтримку конкурентоспроможності, шляхом перепідготовки, підвищення кваліфікації за професіями пріоритетних видів діяльності.
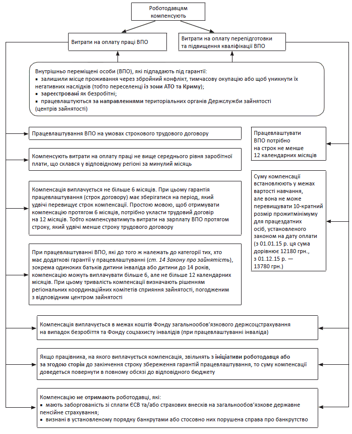
Крім того, ВПО допоможуть у працевлаштуванні. Для цього роботодавців, які нададуть роботу таким особам, заохотять компенсацією. Компенсуватимуть витрати роботодавців на оплату праці ВПО (при цьому працівник повинен пропрацювати вдвічі довше, ніж виплачуватиметься компенсація), перепідготовку та підвищення кваліфікації* (прийняти на роботу ВПО потрібно мінімум на рік). Звісно, сума компенсації є обмеженою.
* Відповіді на запитання щодо навчання працівника за рахунок роботодавця ви знайдете у «БТ», 2014, № 37, с. 35.
Тих, хто вирішить схитрувати та звільнити працівника після отримання компенсації, але до закінчення зазначених мінімальних строків «відпрацювання», суворо покарають: їм доведеться повернути всю суму отриманої компенсації.
Детальніше про те, кому та скільки перепаде, ви можете дізнатися зі схеми на с. 6.
Офіційний порядок виплати компенсації повинен визначити Кабмін. На це йому відведений місяць.
Однак ми з вами вже навчені «завтраками» КМУ: до появи порядку роботодавцям не бачити компенсації. Крім того, компенсацію проводитимуть у межах коштів Фонду загальнообов’язкового держсоцстрахування на випадок безробіття і Фонду соцзахисту інваліда. Отже, шикувати особливо не доведеться.
Закон діє з 27.03.15 р.
Компенсація роботодавцям за працевлаштування переселенців із зони АТО та Криму

